| Citation: | 
										Jinbo Pan, Qimin Yan. Data-driven material discovery for photocatalysis: a short review[J]. Journal of Semiconductors, 2018, 39(7): 071001. doi: 10.1088/1674-4926/39/7/071001					 
							****
				 
											J B Pan, Q M Yan, Data-driven material discovery for photocatalysis: a short review[J]. J. Semicond., 2018, 39(7): 071001. doi:  10.1088/1674-4926/39/7/071001.
								 | 
Data-driven material discovery for photocatalysis: a short review
DOI: 10.1088/1674-4926/39/7/071001
More Information
- 
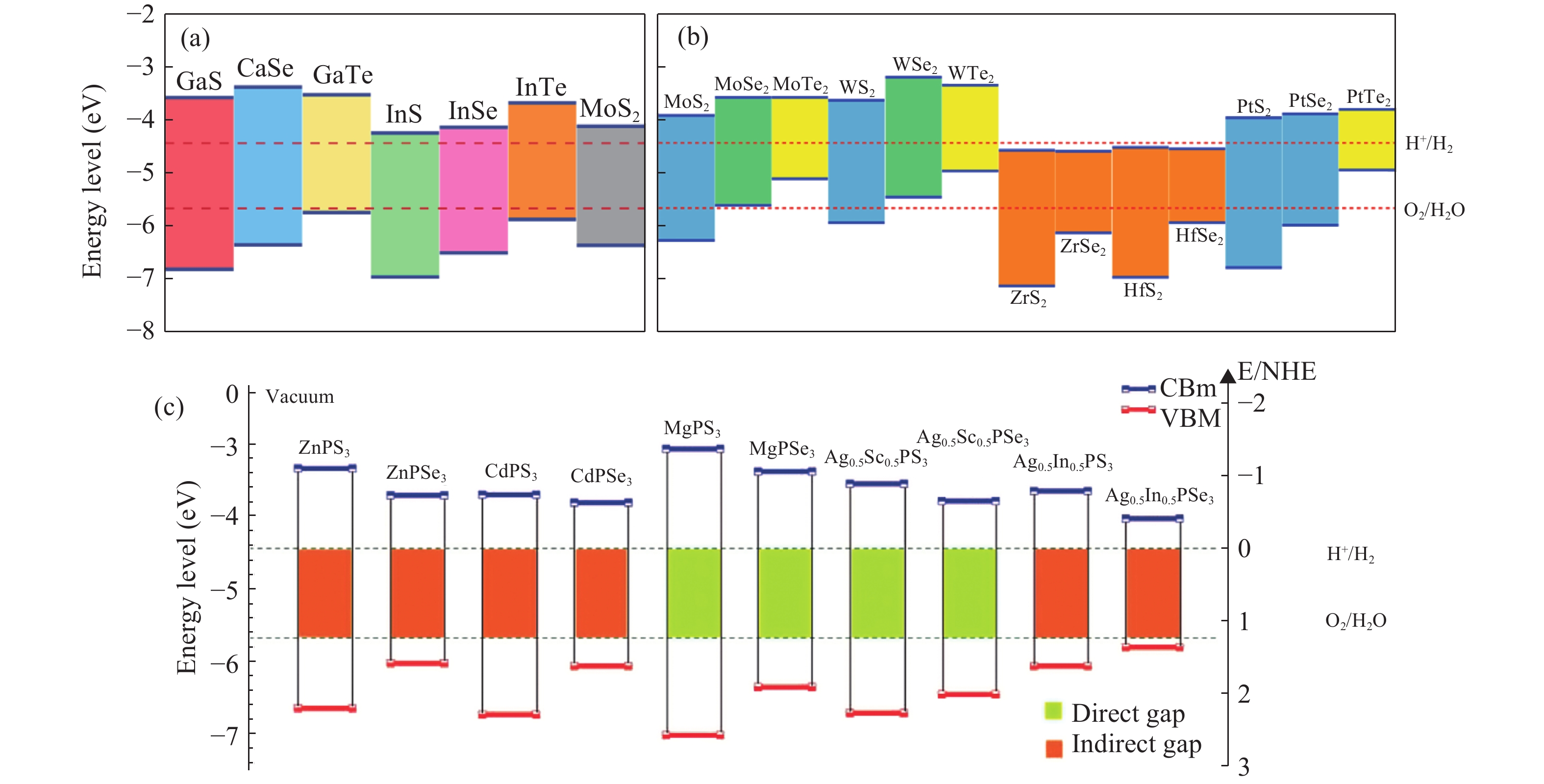
             AbstractIn this short review, we introduce recent progress in the research field of data-driven material discovery and design for solar fuel generation. Construction of material databases under the materials genome initiative provides a great platform for material discovery and design by creating computational screening pipelines based on the materials’ descriptors. In the field of solar water splitting, data-driven computational discovery approach has been effective in making material predictions. When combined with synergistic and complimentary experimental efforts, high-throughput computations based on density functional theory showed great predictive power for accelerated discovery of inorganic compounds as functional materials for solar fuel generation. As an example, we introduce the theory–experiment joint discovery of a large set of metal oxide photoanode materials that have been theoretically predicted to be efficient candidates and soon verified by synergistic experimental fabrication and characterization processes. In the field of two-dimensional materials, the application of data-driven approach has realized the prediction of many promising candidates with suitable direct band gaps and optimal band edges for the generation of chemical fuels from sunlight, greatly expanding the number of theoretically predicted 2D photoelectrocatalysts that are awaiting experimental verification. We discuss the challenges for the continued discovery and design of novel bulk and 2D compounds for photocatalysis via a data-driven approach. At the end of this review, we provide a brief outlook for future material discoveries in the field of solar fuel generation.
- 
	                    References[1] Holdren J P. Materials genome initiative for global competitiveness. National Science and Technology Council OSTP. Washington, USA, 2011[2] Scheffler M, Draxl C. The NoMaD repository. Computer Center of the Max-Planck Society, 2014[3] Jain A, Ong S P, Hautier G, et al. Commentary: the materials project: a materials genome approach to accelerating materials innovation. APL Mater, 2013, 1: 011002 doi: 10.1063/1.4812323[4] Saal J E, Kirklin S, Aykol M, et al. Materials design and discovery with high-throughput density functional theory: the open quantum materials database (OQMD). Jom-Us, 2013, 65: 1501 doi: 10.1007/s11837-013-0755-4[5] Curtarolo S, Setyawan W, Wang S, et al. AFLOWLIB.ORG: A distributed materials properties repository from high-throughput ab initio calculations. Comput Mater Sci, 2012, 58: 227 doi: 10.1016/j.commatsci.2012.02.002[6] Curtarolo S, Hart G L W, Nardelli M B, et al. The high-throughput highway to computational materials design. Nat Mater, 2013, 12: 191 doi: 10.1038/nmat3568[7] Hautier G, Miglio A, Ceder G, et al. Identification and design principles of low hole effective mass p-type transparent conducting oxides. Nat Commun, 2013, 4: 2292 doi: 10.1038/ncomms3292[8] Wu Y B, Lazic P, Hautier G, et al. First principles high throughput screening of oxynitrides for water-splitting photocatalysts. Energy Environ Sci, 2013, 6: 157 doi: 10.1039/C2EE23482C[9] Castelli I E, Olsen T, Datta S, et al. Computational screening of perovskite metal oxides for optimal solar light capture. Energy Environ Sci, 2012, 5: 5814 doi: 10.1039/C1EE02717D[10] Jain A, Shin Y, Persson K A. Computational predictions of energy materials using density functional theory. Nat Rev Mater, 2016, 1: 15004 doi: 10.1038/natrevmats.2015.4[11] Sendek A D, Yang Q, Cubuk E D, et al. Holistic computational structure screening of more than 12 000 candidates for solid lithium-ion conductor materials. Energ Environ Sci, 2017, 10: 306 doi: 10.1039/C6EE02697D[12] Woodhouse M, Parkinson B A. Combinatorial discovery and optimization of a complex oxide with water photoelectrolysis activity. Chem Mater, 2008, 20: 2495 doi: 10.1021/cm703099j[13] Fujishima A, Honda K. Electrochemical photolysis of water at a semiconductor electrode. Nature, 1972, 238: 37 doi: 10.1038/238037a0[14] Osterloh F E. Inorganic materials as catalysts for photochemical splitting of water. Chem Mater, 2008, 20: 35 doi: 10.1021/cm7024203[15] Yan Q, Yu J, Suram S K, et al. Solar fuels photoanode materials discovery by integrating high-throughput theory and experiment. Proceedings of the National Academy of Sciences, 2017, 114: 3040 doi: 10.1073/pnas.1619940114[16] Shinde A, Suram S K, Yan Q, et al. Discovery of manganese-based solar fuel photoanodes via integration of electronic structure calculations, pourbaix stability modeling, and high-throughput experiments. ACS Energy Lett, 2017, 2: 2307 doi: 10.1021/acsenergylett.7b00607[17] Persson K A, Waldwick B, Lazic P, et al. Prediction of solid-aqueous equilibria: Scheme to combine first-principles calculations of solids with experimental aqueous states. Phys Rev B, 2012, 85: 235438 doi: 10.1103/PhysRevB.85.235438[18] Chen S Y, Wang L W. Thermodynamic oxidation and reduction potentials of photocatalytic semiconductors in aqueous solution. Chem Mater, 2012, 24: 3659 doi: 10.1021/cm302533s[19] Maeda K, Domen K. New non-oxide photocatalysts designed for overall water splitting under visible light. J Phys Chem C, 2007, 111: 7851 doi: 10.1021/jp070911w[20] Maeda K. Photocatalytic water splitting using semiconductor particles: history and recent developments. J Photoch Photobio C, 2011, 12: 237 doi: 10.1016/j.jphotochemrev.2011.07.001[21] Sayama K, Nomura A, Zou Z, et al. Photoelectrochemical decomposition of water on nanocrystalline BiVO4 film electrodes under visible light. Chem Commun, 2003, 23: 2908 doi: 10.1039/B310428A[22] Walsh A, Yan Y, Huda M N, et al. Band edge electronic structure of BiVO4: elucidating the role of the Bi s and V d orbitals. Chem Mater, 2009, 21: 547 doi: 10.1021/cm802894z[23] Castelli I E, Olsen T, Datta S, et al. Computational screening of perovskite metal oxides for optimal solar light capture. Energ Environ Sci, 2012, 5: 5814 doi: 10.1039/C1EE02717D[24] Castelli I E, Landis D D, Thygesen K S, et al. New cubic perovskites for one- and two-photon water splitting using the computational materials repository. Energ Environ Sci, 2012, 5: 9034 doi: 10.1039/c2ee22341d[25] Castelli I E, Landis D D, Thygesen K S, et al. New cubic perovskites for one- and two-photon water splitting using the computational materials repository. Energy Environ Sci, 2012, 5: 9034 doi: 10.1039/c2ee22341d[26] Butler M A, Ginley D S. Prediction of flatband potentials at semiconductor-electrolyte interfaces from atomic electronegativities. J Electrochem Soc, 1978, 125: 228 doi: 10.1149/1.2131419[27] Chan M K Y, Ceder G. Efficient band gap prediction for solids. Phys Rev Lett, 2010, 105: 196403 doi: 10.1103/PhysRevLett.105.196403[28] Yan Q, Li G, Newhouse P F, et al. Mn2V2O7: an earth abundant light absorber for solar water splitting. Adv Energy Mater, 2015, 5: 1401840 doi: 10.1002/aenm.201401840[29] Yan Q, Li G, Newhouse P F, et al. Mn2V2O7: an earth abundant light absorber for solar water splitting. Adv Energy Mater, 2015, 5: 1401840 doi: 10.1002/aenm.201401840[30] Chemelewski W D, Mabayoje O, Mullins C B. SILAR growth of Ag3VO4 and characterization for photoelectrochemical water oxidation. J Phys Chem C, 2015, 119: 26803 doi: 10.1021/acs.jpcc.5b06658[31] Mandal H, Shyamal S, Hajra P, et al. Development of ternary iron vanadium oxide semiconductors for applications in photoelectrochemical water oxidation. RSC Adv, 2016, 6: 4992 doi: 10.1039/C5RA22586H[32] Morton C D, Slipper I J, Thomas M J K, et al. Synthesis and characterisation of Fe–V–O thin film photoanodes. J Photochem Photobiol A, 2010, 216: 209 doi: 10.1016/j.jphotochem.2010.08.010[33] Seabold J A, Neale N R. All 1st row transition metal oxide photoanode for water splitting based on Cu3V2O8. Chem Mater, 2015, 27: 1005 doi: 10.1021/cm504327f[34] Zhou L, Yan Q, Shinde A, et al. High throughput discovery of solar fuels photoanodes in the CuO–V2O5 system. Adv Energy Mater, 2015, 5: 1500968 doi: 10.1002/aenm.201500968[35] Vi A, Aryasetiawan F, Lichtenstein A I. First-principles calculations of the electronic structure and spectra of strongly correlated systems: the LDA+U method. J Phys Condens Matter, 1997, 9: 767 doi: 10.1088/0953-8984/9/4/002[36] Kresse G, Furthmuller J. Efficiency of ab-initio total energy calculations for metals and semiconductors using a plane-wave basis set. Comput Mater Sci, 1996, 6: 15 doi: 10.1016/0927-0256(96)00008-0[37] Heyd J, Scuseria G E, Ernzerhof M. Hybrid functionals based on a screened Coulomb potential. J Chem Phys, 2006, 124: 219906 doi: 10.1063/1.2204597[38] Moses P G, Miao M S, Yan Q M, et al. Hybrid functional investigations of band gaps and band alignments for AlN, GaN, InN, and InGaN. J Chem Phys, 2011, 134: 084703 doi: 10.1063/1.3548872[39] Stevanovic V, Lany S, Ginley D S, et al. Assessing capability of semiconductors to split water using ionization potentials and electron affinities only. Phys Chem Chem Phys, 2014, 16: 3706 doi: 10.1039/c3cp54589j[40] Hu S, Shaner M R, Beardslee J A, et al. Amorphous TiO2 coatings stabilize Si, GaAs, and GaP photoanodes for efficient water oxidation. Science, 2014, 344: 1005 doi: 10.1126/science.1251428[41] Lichterman M F, Sun K, Hu S, et al. Protection of inorganic semiconductors for sustained, efficient photoelectrochemical water oxidation. Catalysis Today, 2016, 262: 11 doi: 10.1016/j.cattod.2015.08.017[42] Guevarra D, Shinde A, Suram S K, et al. Development of solar fuels photoanodes through combinatorial integration of Ni–La–Co–Ce oxide catalysts on BiVO4. Energy Environ Sci, 2016, 9: 565 doi: 10.1039/C5EE03488D[43] Zachaus C, Abdi F F, Peter L M, et al. Photocurrent of BiVO4 is limited by surface recombination, not surface catalysis. Chem Sci, 2017, 8: 3712 doi: 10.1039/C7SC00363C[44] Hardee K L, Bard A J. Semiconductor electrodes: V . The application of chemically vapor deposited iron oxide films to photosensitized electrolysis. J Electrocheml Soc, 1976, 123: 1024 doi: 10.1149/1.2132984[45] Valenzuela M A, Bosch P, Jiménez-Becerrill J, et al. Preparation, characterization and photocatalytic activity of ZnO, Fe2O3 and ZnFe2O4. J Photochem Photobiol A, 2002, 148: 177 doi: 10.1016/S1010-6030(02)00040-0[46] De Haart L G J, Blasse G. Photoelectrochemical properties of ferrites with the spinel structure. Solid State Ionics, 1985, 16: 137 doi: 10.1016/0167-2738(85)90035-9[47] Tang D, Mabayoje O, Lai Y, et al. Enhanced photoelectrochemical performance of porous Bi2MoO6 photoanode by an electrochemical treatment. J Electrocheml Soc, 2017, 164: H299 doi: 10.1149/2.0271706jes[48] Jain A, Ong S P, Hautier G, et al. Commentary: the materials project: a materials genome approach to accelerating materials innovation. Appl Mater, 2013, 1: 011002 doi: 10.1063/1.4812323[49] Pourbaix M. Atlas of electrochemical equilibria in aqueous solutions. National Association of Corrosion Engineers, Houston, TX, 1974[50] Kharche N, Muckerman J T, Hybertsen M S. First-principles approach to calculating energy level alignment at aqueous semiconductor interfaces. Phys Rev Lett, 2014, 113: 176802 doi: 10.1103/PhysRevLett.113.176802[51] Pham T A, Ping Y, Galli G. Modelling heterogeneous interfaces for solar water splitting. Nat Mater, 2017, 16: 401 doi: 10.1038/nmat4803[52] Di J, Xia J, Li H, et al. Freestanding atomically-thin two-dimensional materials beyond graphene meeting photocatalysis: Opportunities and challenges. Nano Energy, 2017, 35: 79 doi: 10.1016/j.nanoen.2017.03.030[53] Ida S, Ishihara T. Recent progress in two-dimensional oxide photocatalysts for water splitting. J Phys Chem Lett, 2014, 5: 2533 doi: 10.1021/jz5010957[54] Luo B, Liu G, Wang L. Recent advances in 2D materials for photocatalysis. Nanoscale, 2016, 8: 6904 doi: 10.1039/C6NR00546B[55] Li Y, Li Y L, Sa B, et al. Review of two-dimensional materials for photocatalytic water splitting from a theoretical perspective. Catal Sci Technol, 2017, 7: 545 doi: 10.1039/C6CY02178F[56] Zhou M, Lou X W D, Xie Y. Two-dimensional nanosheets for photoelectrochemical water splitting: Possibilities and opportunities. Nano Today, 2013, 8: 598 doi: 10.1016/j.nantod.2013.12.002[57] Sun Y, Cheng H, Gao S, et al. Freestanding tin disulfide single-layers realizing efficient visible-light water splitting. Angewandte Chemie International Edition, 2012, 51: 8727 doi: 10.1002/anie.v51.35[58] Maitra U, Gupta U, De M, et al. Highly effective visible-light-induced H2 generation by single-layer 1T-MoS2 and a nanocomposite of few-layer 2H-MoS2 with heavily nitrogenated graphene. Angewandte Chemie International Edition, 2013, 52: 13057 doi: 10.1002/anie.201306918[59] Singh A K, Mathew K, Zhuang H L, et al. Computational screening of 2D materials for photocatalysis. J Phys Chem Lett, 2015, 6: 1087 doi: 10.1021/jz502646d[60] Liu J, Li X B, Wang D, et al. Diverse and tunable electronic structures of single-layer metal phosphorus trichalcogenides for photocatalytic water splitting. J Chem Phys, 2014, 140: 054707 doi: 10.1063/1.4863695[61] Ji Y, Yang M, Dong H, et al. Two-dimensional germanium monochalcogenide photocatalyst for water splitting under ultraviolet, visible to near-infrared light. Nanoscale, 2017, 9: 8608 doi: 10.1039/C7NR00688H[62] Lv X, Wei W, Sun Q, et al. Two-dimensional germanium monochalcogenides for photocatalytic water splitting with high carrier mobility. Appl Catal B, 2017, 217: 275 doi: 10.1016/j.apcatb.2017.05.087[63] Rahman M Z, Kwong C W, Davey K, et al. 2D phosphorene as a water splitting photocatalyst: fundamentals to applications. Energy Environ Sci, 2016, 9: 709 doi: 10.1039/C5EE03732H[64] Wang J, Meng J, Li Q, et al. Single-layer cadmium chalcogenides: promising visible-light driven photocatalysts for water splitting. Phys Chem Chem Phys, 2016, 18: 17029 doi: 10.1039/C6CP01001F[65] Xiong R, Yang H, Peng Q, et al. First-principle investigation of TcSe2 monolayer as an efficient visible light photocatalyst for water splitting hydrogen production. Res Chem Intermed, 2017, 43: 5271 doi: 10.1007/s11164-017-3035-z[66] Zhou M, Lou X W, Xie Y. Two-dimensional nanosheets for photoelectrochemical water splitting: Possibilities and opportunities. Nano Today, 2013, 8: 598 doi: 10.1016/j.nantod.2013.12.002[67] Zhang X, Zhao X, Wu D, et al. MnPSe3 monolayer: a promising 2D visible-light photohydrolytic catalyst with high carrier mobility. Adv Sci, 2016, 3: 1600062 doi: 10.1002/advs.201600062[68] Singh A K, Mathew K, Zhuang H L, et al. Computational screening of 2D materials for photocatalysis. J Phys Chem Lett, 2015, 6: 1087 doi: 10.1021/jz502646d[69] Cheon G, Duerloo K A N, Sendek A D, et al. Data mining for new two- and one-dimensional weakly bonded solids and lattice-commensurate heterostructures. Nano Lett, 2017, 17: 1915 doi: 10.1021/acs.nanolett.6b05229[70] Ashton M, Paul J, Sinnott S B, et al. Topology-scaling identification of layered solids and stable exfoliated 2D materials. Phys Rev Lett, 2017, 118: 106101 doi: 10.1103/PhysRevLett.118.106101[71] Rasmussen F A, Thygesen K S. Computational 2D materials database: electronic structure of transition-metal dichalcogenides and oxides. J Phys Chem C, 2015, 119: 13169 doi: 10.1021/acs.jpcc.5b02950[72] Meng F, Hong Z, Arndt J, et al. Visible light photocatalytic activity of nitrogen-doped La2Ti2O7 nanosheets originating from band gap narrowing. Nano Res, 2012, 5: 213 doi: 10.1007/s12274-012-0201-x[73] Xiang Q, Yu J, Jaroniec M. Nitrogen and sulfur co-doped TiO2 nanosheets with exposed {001} facets: synthesis, characterization and visible-light photocatalytic activity. Phys Chem Chem Phys, 2011, 13: 4853 doi: 10.1039/C0CP01459A[74] Chhowalla M, Shin H S, Eda G, et al. The chemistry of two-dimensional layered transition metal dichalcogenide nanosheets. Nat Chem, 2013, 5: 263 doi: 10.1038/nchem.1589[75] Chen J, Wu X J, Yin L, et al. One-pot synthesis of CdS nanocrystals hybridized with single-layer transition-metal dichalcogenide nanosheets for efficient photocatalytic hydrogen evolution. Angewandte Chemie International Edition, 2015, 54: 1210 doi: 10.1002/anie.201410172[76] Liu G, Wang L, Yang H G, et al. Titania-based photocatalysts—crystal growth, doping and heterostructuring. J Mater Chemi, 2010, 20: 831 doi: 10.1039/B909930A[77] Choi J H, Cui P, Lan H, et al. Linear scaling of the exciton binding energy versus the band gap of two-dimensional materials. Phys Rev Lett, 2015, 115: 066403 doi: 10.1103/PhysRevLett.115.066403[78] Olsen T, Latini S, Rasmussen F, et al. Simple screened hydrogen model of excitons in two-dimensional materials. Phys Rev Lett, 2016, 116: 056401 doi: 10.1103/PhysRevLett.116.056401[79] Jiang Z, Liu Z, Li Y, et al. Scaling universality between band gap and exciton binding energy of two-dimensional semiconductors. Phys Rev Lett, 2017, 118: 266401 doi: 10.1103/PhysRevLett.118.266401[80] Zhou L, Yan Q M, Shinde A, et al. High throughput discovery of solar fuels photoanodes in the CuO–V2O5 system. Adv Energy Mater, 2015, 5: 1500968 doi: 10.1002/aenm.201500968[81] Khader M M, Saleh M M, El-Naggar E M. Photoelectrochemical characteristics of ferric tungstate. J Solid State Electrochem, 1998, 2: 170 doi: 10.1007/s100080050083[82] Mandal H, Shyamal S, Hajra P, et al. Development of ternary iron vanadium oxide semiconductors for applications in photoelectrochemical water oxidation. RSC Adv, 2016, 6: 4992 doi: 10.1039/C5RA22586H[83] Arai T, Konishi Y, Iwasaki Y, et al. High-throughput screening using porous photoelectrode for the development of visible-light-responsive semiconductors. J Combinat Chem, 2007, 9: 574 doi: 10.1021/cc0700142[84] Morton C D, Slipper I J, Thomas M J K, et al. Synthesis and characterisation of Fe–V–O thin film photoanodes. J Photochem Photobiol, A, 2010, 216: 209 doi: 10.1016/j.jphotochem.2010.08.010[85] Guo W, Chemelewski W D, Mabayoje O, et al. Synthesis and characterization of CuV2O6 and Cu2V2O7: two photoanode candidates for photoelectrochemical water oxidation. J Phys Chem C, 2015, 119: 27220 doi: 10.1021/acs.jpcc.5b07219[86] Chen X Y, Yu T, Gao F, et al. Application of weak ferromagnetic BiFeO3 films as the photoelectrode material under visible-light irradiation. Appl Phys Lett, 2007, 91: 022114 doi: 10.1063/1.2757132[87] Jiang Z, Liu Y, Li M, et al. One-pot solvothermal synthesis of Bi4V2O11 as a new solar water oxidation photocatalyst. Sci Rep, 2016, 6: 22727 doi: 10.1038/srep22727[88] Dang H X, Rettie A J E, Mullins C B. Visible-light-active NiV2O6 films for photoelectrochemical water oxidation. J Phys Chem C, 2015, 119: 14524 doi: 10.1021/jp508349g[89] Courtin E, Baldinozzi G, Sougrati M T, et al. New Fe2TiO5-based nanoheterostructured mesoporous photoanodes with improved visible light photoresponses. J Mater Chem A, 2014, 2: 6567 doi: 10.1039/C4TA00102H[90] Chemelewski W D, Mabayoje O, Mullins C B. SILAR Growth of Ag3VO4 and characterization for photoelectrochemical water oxidation. J Phys Chem C, 2015, 119: 26803 doi: 10.1021/acs.jpcc.5b06658[91] Tang D, Rettie A J E, Mabayoje O, et al. Facile growth of porous Fe2V4O13 films for photoelectrochemical water oxidation. J Mater Chem A, 2015, 0: 1[92] Doumerc J P, Hejtmanek J, Chaminade J P, et al. A photoelectrochemical study of CuWO4 single crystals. Phys Status Solidi A, 1984, 82: 285 doi: 10.1002/(ISSN)1521-396X[93] Wang X, Maeda K, Thomas A, et al. A metal-free polymeric photocatalyst for hydrogen production from water under visible light. Nat Mater, 2009, 8: 76 doi: 10.1038/nmat2317[94] Liu X, Pan L, Lv T, et al. Microwave-assisted synthesis of CdS–reduced graphene oxide composites for photocatalytic reduction of Cr (VI). Chem Commun, 2011, 47: 11984 doi: 10.1039/c1cc14875c[95] Gupta U, Naidu B, Maitra U, et al. Characterization of few-layer 1T-MoSe2 and its superior performance in the visible-light induced hydrogen evolution reaction. APL Mater, 2014, 2: 092802 doi: 10.1063/1.4892976[96] Mahler B, Hoepfner V, Liao K, et al. Colloidal synthesis of 1T-WS2 and 2H-WS2 nanosheets: applications for photocatalytic hydrogen evolution. J Am Chem Soc, 2014, 136: 14121 doi: 10.1021/ja506261t[97] Yu J, Xu C Y, Ma F X, et al. Monodisperse SnS2 nanosheets for high-performance photocatalytic hydrogen generation. ACS Appl Mater Interfaces, 2014, 6: 22370 doi: 10.1021/am506396z[98] Zhong H, Yang G, Song H, et al. Vertically aligned graphene-like SnS2 ultrathin nanosheet arrays: excellent energy storage, catalysis, photoconduction, and field-emitting performances. J Phys Chem C, 2012, 116: 9319 doi: 10.1021/jp301024d[99] Lei Z, You W, Liu M, et al. Photocatalytic water reduction under visible light on a novel ZnIn2S4 catalyst synthesized by hydrothermal method. Chem Commun, 2003, 17: 2142 doi: 10.1039/B306813G[100] Xu Z, Li Y, Peng S, et al. NaCl-assisted low temperature synthesis of layered Zn–In–S photocatalyst with high visible-light activity for hydrogen evolution. RSC Adv, 2012, 2: 3458 doi: 10.1039/c2ra01159j[101] Xu X, Bao Z, Tang W, et al. Surface states engineering carbon dots as multi-band light active sensitizers for ZnO nanowire array photoanode to boost solar water splitting. Carbon, 2017, 121: 201 doi: 10.1016/j.carbon.2017.05.095[102] Yu J, Qi L, Jaroniec M. Hydrogen production by photocatalytic water splitting over Pt/TiO2 nanosheets with exposed (001) facets. J Phys Chem C, 2010, 114: 13118 doi: 10.1021/jp104488b
- 
            Proportional views  
 
                


 
							 DownLoad:
DownLoad: 
							 
							 
							







 
					 
           	
			
			
         
				 
				 
				