| Citation: |
Siwen Zhao, Gonglei Shao, Zheng Vitto Han, Song Liu, Tongyao Zhang. Gate tunable spatial accumulation of valley-spin in chemical vapor deposition grown 40°-twisted bilayer WS2[J]. Journal of Semiconductors, 2023, 44(1): 012001. doi: 10.1088/1674-4926/44/1/012001
****
S W Zhao, G L Shao, Z V Han, S Liu, T Y Zhang. Gate tunable spatial accumulation of valley-spin in chemical vapor deposition grown 40°-twisted bilayer WS2[J]. J. Semicond, 2023, 44(1): 012001. doi: 10.1088/1674-4926/44/1/012001
|
Gate tunable spatial accumulation of valley-spin in chemical vapor deposition grown 40°-twisted bilayer WS2
DOI: 10.1088/1674-4926/44/1/012001
More Information
-
Abstract
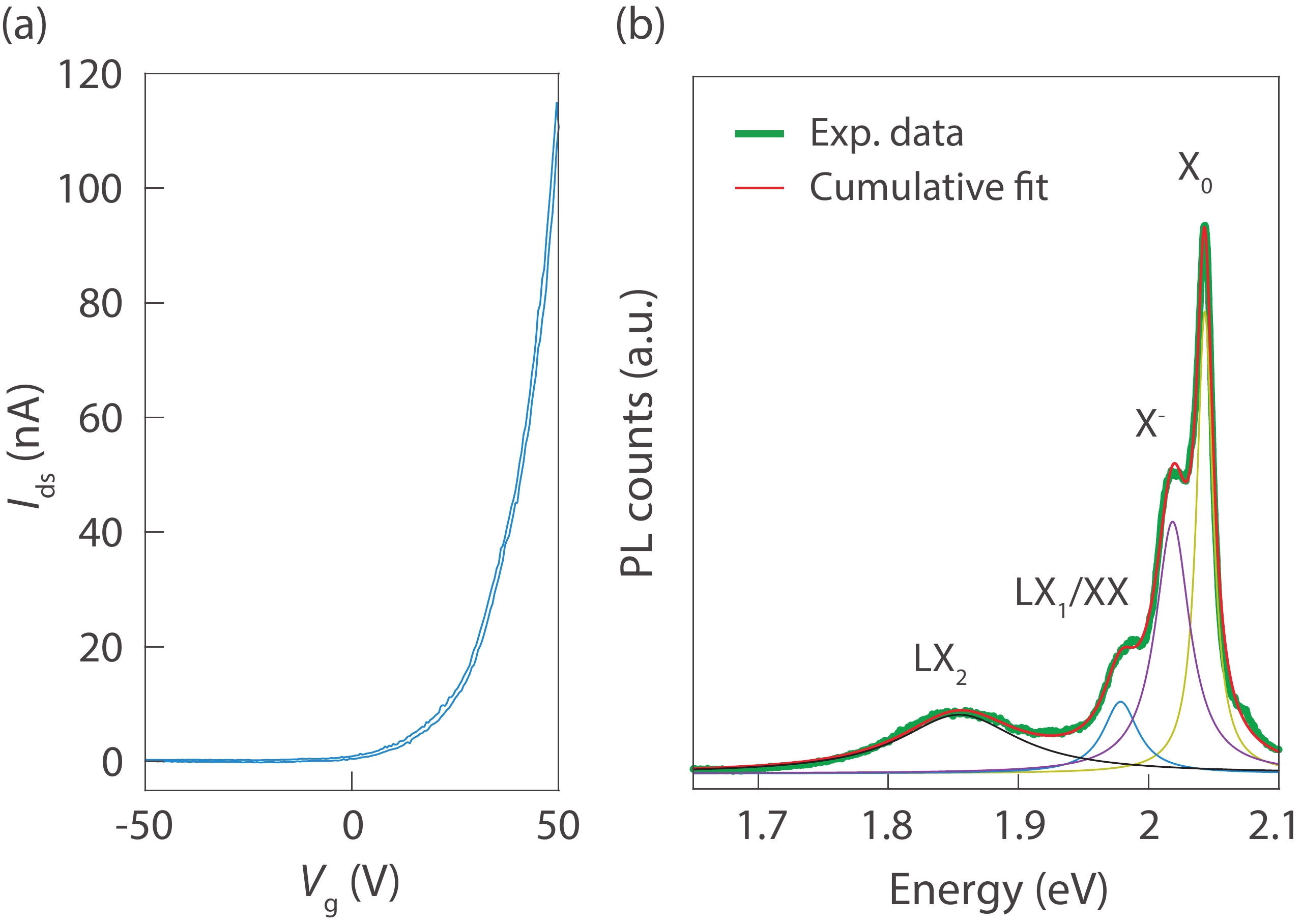
The emerging two-dimensional materials, particularly transition metal dichalcogenides (TMDs), are known to exhibit valley degree of freedom with long valley lifetime, which hold great promises in the implementation of valleytronic devices. Especially, light–valley interactions have attracted attentions in these systems, as the electrical generation of valley magnetization can be readily achieved — a rather different route toward magnetoelectric (ME) effect as compared to that from conventional electron spins. However, so far, the moiré patterns constructed with twisted bilayer TMDs remain largely unexplored in regard of their valley spin polarizations, even though the symmetry might be distinct from the AB stacked bilayer TMDs. Here, we study the valley Hall effect (VHE) in 40°-twisted chemical vapor deposition (CVD) grown WS2 moiré transistors, using optical Kerr rotation measurements at 20 K. We observe a clear gate tunable spatial distribution of the valley carrier imbalance induced by the VHE when a current is exerted in the system. -
References
[1] Zhao S W, Li X X, Dong B J, et al. Valley manipulation in monolayer transition metal dichalcogenides and their hybrid systems: Status and challenges. Rep Prog Phys, 2021, 84, 026401 doi: 10.1088/1361-6633/abdb98[2] Mak K F, Xiao D, Shan J. Light–valley interactions in 2D semiconductors. Nat Photonics, 2018, 12, 451 doi: 10.1038/s41566-018-0204-6[3] Seyler K L, Zhong D, Huang B, et al. Valley manipulation by optically tuning the magnetic proximity effect in WSe2/CrI3 heterostructures. Nano Lett, 2018, 18, 3823 doi: 10.1021/acs.nanolett.8b01105[4] Ciarrocchi A, Unuchek D, Avsar A, et al. Polarization switching and electrical control of interlayer excitons in two-dimensional van der Waals heterostructures. Nat Photonics, 2019, 13, 131 doi: 10.1038/s41566-018-0325-y[5] Li L F, Shao L, Liu X W, et al. Room-temperature valleytronic transistor. Nat Nanotechnol, 2020, 15, 743 doi: 10.1038/s41565-020-0727-0[6] Lee J, Mak K F, Shan J. Electrical control of the valley Hall effect in bilayer MoS2 transistors. Nat Nanotechnol, 2016, 11, 421 doi: 10.1038/nnano.2015.337[7] Wu Z F, Zhou B T, Cai X B, et al. Intrinsic valley Hall transport in atomically thin MoS2. Nat Commun, 2019, 10, 611 doi: 10.1038/s41467-019-08629-9[8] Barré E, Incorvia J A C, Kim S H, et al. Spatial separation of carrier spin by the valley Hall effect in monolayer WSe2 transistors. Nano Lett, 2019, 19, 770 doi: 10.1021/acs.nanolett.8b03838[9] Lee J, Wang Z F, Xie H C, et al. Valley magnetoelectricity in single-layer MoS2. Nat Mater, 2017, 16, 887 doi: 10.1038/nmat4931[10] Vitale S A, Nezich D, Varghese J O, et al. Valleytronics: Valleytronics: Opportunities, challenges, and paths forward (Small 38/2018). Small, 2018, 14, 1870172 doi: 10.1002/smll.201870172[11] Chen X Z, Shi S Y, Shi G Y, et al. Observation of the antiferromagnetic spin Hall effect. Nat Mater, 2021, 20, 800 doi: 10.1038/s41563-021-00946-z[12] Jungwirth T, Wunderlich J, Olejník K. Spin Hall effect devices. Nat Mater, 2012, 11, 382 doi: 10.1038/nmat3279[13] Wang L, Shih E M, Ghiotto A, et al. Correlated electronic phases in twisted bilayer transition metal dichalcogenides. Nat Mater, 2020, 19, 861 doi: 10.1038/s41563-020-0708-6[14] Li E, Hu J X, Feng X M, et al. Lattice reconstruction induced multiple ultra-flat bands in twisted bilayer WSe2. Nat Commun, 2021, 12, 5601 doi: 10.1038/s41467-021-25924-6[15] Pacchioni G. Valleytronics with a twist. Nat Rev Mater, 2020, 5, 480 doi: 10.1038/s41578-020-0220-2[16] Shao G L, Xue X X, Liu X, et al. Twist angle-dependent optical responses in controllably grown WS2 vertical homojunctions. Chem Mater, 2020, 32, 9721 doi: 10.1021/acs.chemmater.0c03413[17] Cao T, Wang G, Han W P, et al. Valley-selective circular dichroism of monolayer molybdenum disulphide. Nat Commun, 2012, 3, 887 doi: 10.1038/ncomms1882[18] Zhang T Y, Zhao S W, Wang A R, et al. Electrically and magnetically tunable valley polarization in monolayer MoSe2 proximitized by a 2D ferromagnetic semiconductor. Adv Funct Mater, 2022, 32, 2204779 doi: 10.1002/adfm.202204779[19] Li X T, Liu Z D, Liu Y H, et al. All-electrical control and temperature dependence of the spin and valley Hall effect in monolayer WSe2 transistors. ACS Appl Electron Mater, 2022, 4, 3930 doi: 10.1021/acsaelm.2c00599[20] Plechinger G, Nagler P, Kraus J, et al. Identification of excitons, trions and biexcitons in single-layer WS2. Phys Status Solidi RRL, 2015, 9, 457 doi: 10.1002/pssr.201510224[21] Gong Y Y, Carozo V, Li H Y, et al. High flex cycle testing of CVD monolayer WS2 TFTs on thin flexible polyimide. 2D Mater, 2016, 3, 021008 doi: 10.1088/2053-1583/3/2/021008[22] Wu K, Zhong H X, Guo Q B, et al. Revealing the competition between defect-trapped exciton and band-edge exciton photoluminescence in monolayer hexagonal WS2. Adv Opt Mater, 2022, 10, 2101971 doi: 10.1002/adom.202101971[23] Hu Z L, Avila J, Wang X Y, et al. The role of oxygen atoms on excitons at the edges of monolayer WS2. Nano Lett, 2019, 19, 4641 doi: 10.1021/acs.nanolett.9b01670[24] Kim M S, Yun S J, Lee Y J, et al. Biexciton emission from edges and grain boundaries of triangular WS2 monolayers. ACS Nano, 2016, 10, 2399 doi: 10.1021/acsnano.5b07214[25] Chow P K, Jacobs-Gedrim R B, Gao J, et al. Defect-induced photoluminescence in monolayer semiconducting transition metal dichalcogenides. ACS Nano, 2015, 9, 1520 doi: 10.1021/nn5073495 -
Supplements
22110004suppl.pdf
-
Proportional views



DownLoad:








Siwen Zhao:received his BS degree from Shandong University and then finished his Ph.D. degree from the Department of Physics in the University of Science and Technology of China. He held a position of postdoctoral fellow in Shenzhen University from 2019 to 2022. Currently, he is working as a Research Associate in the Institute of metal research, Chinese Academy of Sciences. His recent research interests focus on the electronic transport properties and potential applications of nanometer-scale devices based on novel 2D materials and their heterostructures
Song Liu:is a full Professor at the College of Chemistry and Chemical Engineering, Hunan University. He received his BS degree from Nankai University and then finished his Ph.D. degree from Peking University. After that he worked at Case Western Reserve University and National University of Singapore as postdoctoral fellow. His research interests focus on the low dimensional materials and functional devices, as well as the applications in energy and biosensors
Tongyao Zhang:is a lecturer at the Institute of opto-electronics, Shanxi University. He received his BS degree and Ph.D. degree from Shanxi University. He mainly focuses on low-temperature microscopic spectroscopy of atomically thin van der Waals heterostructures by optical probe and optical manipulation