| Citation: |
Yi Huang, Qiurui Chen, Rongyao Ma, Kaifeng Tang, Qi Wang, Hongsheng Zhang, Ji Ding, Dandan Xu, Sheng Gao, Genquan Han. Short-circuit failure modes and mechanism investigation of 1200 V planar SiC MOSFETs[J]. Journal of Semiconductors, 2024, 45(12): 122501. doi: 10.1088/1674-4926/24060009
****
Y Huang, Q R Chen, R Y Ma, K F Tang, Q Wang, H S Zhang, J Ding, D D Xu, S Gao, and G Q Han, Short-circuit failure modes and mechanism investigation of 1200 V planar SiC MOSFETs[J]. J. Semicond., 2024, 45(12), 122501 doi: 10.1088/1674-4926/24060009
|
Short-circuit failure modes and mechanism investigation of 1200 V planar SiC MOSFETs
DOI: 10.1088/1674-4926/24060009
More Information
-
Abstract
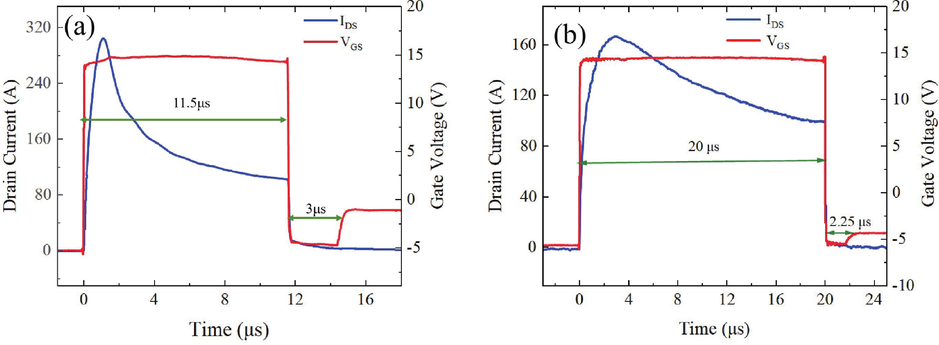
This paper presents a comprehensive analysis of the short-circuit failure mechanisms in commercial 1.2 kV planar silicon carbide (SiC) metal–oxide–semiconductor field-effect transistors (MOSFETs) under 400 and 800 V bus voltage conditions. The study compares two products with varying short-circuit tolerances, scrutinizing their external characteristics and intrinsic factors that influence their short-circuit endurance. Experimental and numerical analyses reveal that at 400 V, the differential thermal expansion between the source metal and the dielectric leads to cracking, which in turn facilitates the infiltration of liquid metal and results in a gate–source short circuit. At 800 V, the failure mechanism is markedly different, attributed to the thermal carrier effect leading to the degradation of the gate oxide, which impedes the device's capacity to switch off, thereby triggering thermal runaway. The paper proposes strategies to augment the short-circuit robustness of SiC MOSFETs at both voltage levels, with the objective of fortifying the device's resistance to such failures.-
Keywords:
- SiC MOSFETs,
- short-circuit failure mode,
- mechanical stresses,
- cracks,
- hot spot
-
References
[1] Yuan X B, Laird I, Walder S. Opportunities, challenges, and potential solutions in the application of fast-switching SiC power devices and converters. IEEE Trans Power Electron, 2021, 36(4), 3925 doi: 10.1109/TPEL.2020.3024862[2] He J B, Zhao T F, Jing X, et al. Application of wide bandgap devices in renewable energy systems-Benefits and challenges. 2014 International Conference on Renewable Energy Research and Application (ICRERA), 2014, 749 doi: 10.1109/ICRERA.2014.7016485[3] Ceccarelli L, Reigosa P D, Iannuzzo F, et al. A survey of SiC power MOSFETs short-circuit robustness and failure mode analysis. Microelectron Reliab, 2017, 76/77, 272 doi: 10.1016/j.microrel.2017.06.093[4] Pérez-Tomás A, Brosselard P, Godignon P, et al. Field-effect mobility temperature modeling of 4H-SiC metal-oxide-semiconductor transistors. J Appl Phys, 2006, 100, 114508 doi: 10.1063/1.2395597[5] Rodríguez-Blanco M A, Vázquez-Pérez A, Hernández-González L, et al. Fault detection for IGBT using adaptive thresholds during the turn-on transient. IEEE Trans Ind Electron, 2015, 62(3), 1975 doi: 10.1109/TIE.2014.2364154[6] Fayyaz A, Yang L, Castellazzi A. Transient robustness testing of silicon carbide (SiC) power MOSFETs. 2013 15th European Conference on Power Electronics and Applications (EPE), 2013, 1 doi: 10.1109/EPE.2013.6634645[7] Lefebvre S, Khatir Z, Saint-Eve F. Experimental behavior of single-chip IGBT and COOLMOS devices under repetitive short-circuit conditions. IEEE Trans Electron Devices, 2005, 52(2), 276 doi: 10.1109/TED.2004.842714[8] Romano G, Maresca L, Riccio M, et al. Short-circuit failure mechanism of SiC power MOSFETs. 2015 IEEE 27th International Symposium on Power Semiconductor Devices & IC’s (ISPSD), 2015, 345[9] Lin C B, Wu J P, Xu H Y, et al. Comparison and analysis of short circuit performance of 1200V SiC MOSFETs. 2020 17th China International Forum on Solid State Lighting & 2020 International Forum on Wide Bandgap Semiconductors China (SSLChina: IFWS), 2020, 81 doi: 10.1109/SSLChinaIFWS51786.2020.9308698[10] Zhou X T, Su H Y, Wang Y, et al. Investigations on the degradation of 1.2-kV 4H-SiC MOSFETs under repetitive short-circuit tests. IEEE Trans Electron Devices, 2016, 63(11), 4346 doi: 10.1109/TED.2016.2606882[11] Du H, Diaz Reigosa P, Ceccarelli L, et al. Impact of repetitive short-circuit tests on the normal operation of SiC MOSFETs considering case temperature influence. IEEE J Emerg Sel Top Power Electron, 2020, 8(1), 195 doi: 10.1109/JESTPE.2019.2942364[12] Awwad A E, Dieckerhoff S. Short-circuit evaluation and overcurrent protection for SiC power MOSFETs. 2015 17th European Conference on Power Electronics and Applications (EPE'15 ECCE-Europe), 2015, 1 doi: 10.1109/EPE.2015.7311701[13] Deng X C, Zhu H, Li X, et al. Investigation and failure mode of asymmetric and double trench SiC mosfets under avalanche conditions. IEEE Trans Power Electron, 2020, 35(8), 8524 doi: 10.1109/TPEL.2020.2967497[14] Tsibizov A, Kovačević-Badstübner I, Kakarla B, et al. Accurate temperature estimation of SiC power mosfets under extreme operating conditions. IEEE Trans Power Electron, 2020, 35(2), 1855 doi: 10.1109/TPEL.2019.2917221[15] An J J, Namai M, Yano H, et al. Methodology for enhanced short-circuit capability of SiC MOSFETs. 2018 IEEE 30th International Symposium on Power Semiconductor Devices and ICs (ISPSD), 2018, 391 doi: 10.1109/ISPSD.2018.8393685[16] Wang Z Q, Shi X J, Tolbert L M, et al. Temperature-dependent short-circuit capability of silicon carbide power MOSFETs. IEEE Trans Power Electron, 2016, 31(2), 1555 doi: 10.1109/TPEL.2015.2416358 -
Proportional views



Yi Huang got his Ph.D. degree in 2012 at Nanjing University. He is currently a professor at the School of Optoelectronic Engineering, Chongqing University of Posts and Telecommunications, Chongqing, China. His main research interests include power chip design, third-generation semiconductor GaN, SiC devices, semiconductor optoelectronic display materials, and semiconductor nanomaterials.
Sheng Gao got the Ph.D. degree in 2022 at South China University of Technology. Then he joined Chongqing University of Posts and Telecommunications as a lecturer. He is currently serving as a postdoctoral fellow at China Resources Microelectronics (Chongqing) Co., LTD. His current research interests include the Ⅲ−Ⅴ nitride semiconductors and devices.
Genquan Han got the BS degree at Tsinghua University, and Ph.D. degree at Institute of Semiconductors. He is currently a doctoral supervisor at Xidian University, a national-level talent, a national-level young talent, and a chief scientist of a national key research and development program project. His current research interests include advanced CMOS devices, the Ⅲ−Ⅴ nitride semiconductors and devices.
DownLoad:







