| Citation: |
Jiayi Wang, Haoyang Li, Weixiao Wang, Tianying Fang, Jiaqing Li, Yuxuan Luo, Bo Zhao. A battery-free wireless temperature sensing chipset implemented by 55 and 65 nm CMOS process[J]. Journal of Semiconductors, 2025, 46(6): 062202. doi: 10.1088/1674-4926/25010028
****
J Y Wang, H Y Li, W X Wang, T Y Fang, J Q Li, Y X Luo, and B Zhao, A battery-free wireless temperature sensing chipset implemented by 55 and 65 nm CMOS process[J]. J. Semicond., 2025, 46(6), 062202 doi: 10.1088/1674-4926/25010028
|
A battery-free wireless temperature sensing chipset implemented by 55 and 65 nm CMOS process
DOI: 10.1088/1674-4926/25010028
CSTR: 32376.14.1674-4926.25010028
More Information-
Abstract
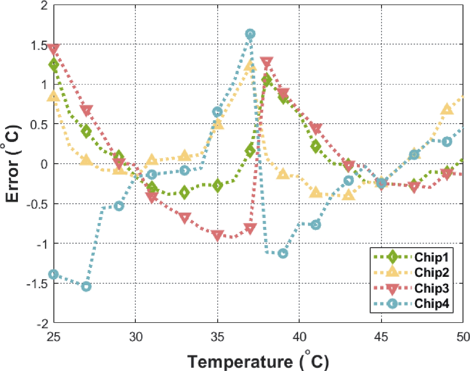
In the applications such as food production, the environmental temperature should be measured continuously during the entire process, which requires an ultra-low-power temperature sensor for long-termly monitoring. Conventional temperature sensors trade the measurement accuracy with power consumption. In this work, we present a battery-free wireless temperature sensing chip for long-termly monitoring during food production. A calibrated oscillator-based CMOS temperature sensor is proposed instead of the ADC-based power-hungry circuits in conventional works. In addition, the sensor chip can harvest the power transferred by a remote reader to eliminate the use of battery. Meanwhile, the system conducts wireless bidirectional communication between the sensor chip and reader. In this way, the temperature sensor can realize both a high precision and battery-free operation. The temperature sensing chip is fabricated in 55 nm CMOS process, and the reader chip is implemented in 65 nm CMOS technology. Experimental results show that the temperature measurement error achieves ±1.6 °C from 25 to 50 °C, with battery-free readout by a remote reader. -
References
[1] Pour F L, Ha D S. 2.4 GHz ultra-low power direct digital-to-RF CMOS transmitter for biosensing applications. 2023 IEEE Biomedical Circuits and Systems Conference (BioCAS), 2023, 1 doi: 10.1109/BioCAS58349.2023.10388855[2] Padmal M, Rohner C, Augustine R, et al. RFID tags as passive temperature sensor. 2023 IEEE International Conference on RFID (RFID), 2023, 48 doi: 10.1109/RFID58307.2023.10178523[3] Ranasinghe D C, Falkner N J G, Chao P, et al. Wireless sensing platform for remote monitoring and control of wine fermentation. 2013 IEEE Eighth International Conference on Intelligent Sensors, Sensor Networks and Information Processing, 2013, 503 doi: 10.1109/ISSNIP.2013.6529841[4] Jeong S, Foo Z, Lee Y, et al. A fully-integrated 71 nW CMOS temperature sensor for low power wireless sensor nodes. IEEE J Solid State Circuits, 2014, 49(8), 1682 doi: 10.1109/JSSC.2014.2325574[5] Permana A F, Kuncoro C B D. Autonomous temperature and humidity wireless sensor node for indoor air quality monitoring application. 2021 5th International Conference on Informatics and Computational Sciences (ICICoS), 2021, 272 doi: 10.1109/ICICoS53627.2021.9651750[6] Zhang Y, Yang C, Chang Z, et al. An 8-shaped antenna-based battery-free neural-recording system featuring 3 cm reading range and 140 pJ/bit energy efficiency. IEEE J Solid State Circuits, 2023, 58(11), 3194 doi: 10.1109/JSSC.2023.3276174[7] Chen W, Gao C, Zhu Y, et al. Intra-body wireless power and data links for biomedical microsystems. 2023 IEEE Biomedical Circuits and Systems Conference (BioCAS), 2023, 1 doi: 10.1109/BioCAS58349.2023.10388442[8] Popov G, Dualibe F C, Moeyaert V, et al. A 65-nm CMOS battery-less temperature sensor node for RF-powered wireless sensor networks. 2016 IEEE Wireless Power Transfer Conference (WPTC), 2016, 1 doi: 10.1109/WPT.2016.7498806[9] Lu S Y, Wu F, Liao C Y, et al. Wirelessly-powered printed temperature sensor with an ultra-low-power and high-sensitivity CMOS readout IC. 2019 17th IEEE International New Circuits and Systems Conference (NEWCAS), 2019, 1 doi: 10.1109/NEWCAS44328.2019.8961258[10] Chang Z, Yang C, Zhang Y, et al. A self-adaptive dual-ILRO clock-recovery technique for two-tone battery-free crystal-free neural-recording SoC. IEEE Trans Biomed circuits Syst, 2024, 18(1), 39 doi: 10.1109/TBCAS.2023.3302654[11] Rigi A, Mugisha A J, Arefian A, et al. Wireless battery-free body temperature sensing device for key workers. IEEE Sens Lett, 2022, 6(2), 5500304 doi: 10.1109/LSENS.2021.3131243[12] Wang Z, Zhang Y, Wang W, et al. An energy-efficient all-dynamic multiparameter sensor for battery-less smart nodes in agricultural Internet-of-things. IEEE Sens J, 2024, 24(13), 21426 doi: 10.1109/JSEN.2024.3396842[13] Zambrano B, Garzón E, Strangio S, et al. A 0.05 mm2, 350 mV, 14 nW fully-integrated temperature sensor in 180-nm CMOS. IEEE Trans on Circuits Syst II Express Briefs, 2022, 69(3), 749 doi: 10.1109/TCSII.2021.3112812[14] Li Y W, Lakdawala H, Raychowdhury A, et al. A 1.05 V 1.6 mW 0.45°C 3σ-resolution ΔΣ-based temperature sensor with parasitic-resistance compensation in 32nm CMOS. 2009 IEEE International Solid-State Circuits Conference-Digest of Technical Papers, 2009, 340 doi: 10.1109/ISSCC.2009.4977447[15] van Vroonhoven C, D’Aquino D, Makinwa K. A ±0.4°C (3σ) −70 to 200°C time-domain temperature sensor based on heat diffusion in Si and SiO2. 2012 IEEE International Solid-State Circuits Conference, 2012, 206 doi: 10.1109/ISSCC.2012.6176976[16] Peng K, Xu Y, Sun M. Ultra-low-power CMOS temperature sensor for UHF RFID systems. 2019 IEEE 13th International Conference on ASIC(ASICON), 2019, 1 doi: 10.1109/ASICON47005.2019.8983674[17] Jayaram C, Rao P S. A sub-μW fully integrated compact CMOS temperature sensor for passive RFID applications. 2024 37th International Conference on VLSI Design and 2024 23rd International Conference on Embedded Systems (VLSID), 2024, 101 doi: 10.1109/VLSID60093.2024.00022[18] Lee J, Kwak S S, Im Y C, et al. A BJT/resistor hybrid CMOS temperature sensor with low 3σ-inaccuracy at 0-pt trim. IEEE Trans Instrum Meas, 2025, 74, 9500808 doi: 10.1109/TIM.2024.3502763[19] Jain A, Jiang H, Pochet C, et al. A 310 nW temperature sensor achieving 9.8 mK resolution using a DFLL-based readout circuit. IEEE Trans Circuits Syst II Express Briefs, 2022, 69(3), 704 doi: 10.1109/TCSII.2021.3106265[20] Yu S M, Feng P, Wu N J. Passive and semi-passive wireless temperature and humidity sensor based on EPC generation-2 UHF protocol. IEEE Sens J, 2015, 15(4), 2043 doi: 10.1109/JSEN.2014.2375180[21] Kobayashi A, Ikeda K, Ogawa Y, et al. Design and experimental verification of a 0.19 V 53 μW 65nm CMOS integrated supply-sensing sensor with a supply-insensitive temperature sensor and an inductive-coupling transmitter for a self-powered bio-sensing system using a biofuel cell. IEEE Trans Biomed Circuits Syst, 2017, 11(6), 1313 doi: 10.1109/TBCAS.2017.2735447[22] Shi D, Lei K M, Martins R P, et al. A 0.4-V 0.0294-mm2 resistor-based temperature sensor achieving ±0.24 °C p2p inaccuracy from 40 °C to 125 °C and 385 fJ·K2 resolution FoM in 65-nm CMOS. IEEE J Solid State Circuits, 2023, 58(8), 2543 doi: 10.1109/JSSC.2023.3269077[23] van Staveren J, Padalia P M, Charbon E, et al. Cryo-CMOS voltage references for the ultrawide temperature range grom 300 K down to 4.2 K. IEEE J Solid State Circuits, 2024, 59(9), 2884 doi: 10.1109/JSSC.2024.3378768 -
Proportional views



Jiayi Wang (Student Member, IEEE) received the B.S. degree in electronic information engineering from the Chongqing University, Chongqing, China, in 2022. She is currently pursuing the M.Sc. degree in electronic science and technology with the College of Integrated Circuits, Zhejiang University, Hangzhou, China. Her research interests include analog/mixed-signal IC design and wireless power/data transmission circuit design for IoT devices.
Bo Zhao (Senior Member, IEEE) received the Ph.D. degree from the Department of Electronic Engineering, Tsinghua University, Beijing, China, in 2011. From 2013 to 2015, he was a Research Fellow with the National University of Singapore, Singapore. From 2015 to 2018, he was an Assistant Project Scientist with Berkeley Wireless Research Center, Department of Electrical Engineering and Computer Sciences, University of California at Berkeley, Berkeley, CA, USA. Since 2018, he has been a Professor with the Institute of VLSI Design, Zhejiang University, Hangzhou, China. His research interests include IoT radios, wireless power transfer, and wearable/implantable radios.
DownLoad:







