| Citation: |
Qiang Li, Ji-Yang Zhou, Zheng-Hao Liu, Jin-Shi Xu, Chuan-Feng Li, Guang-Can Guo. Stable single photon sources in the near C-band range above 400 K[J]. Journal of Semiconductors, 2019, 40(7): 072902. doi: 10.1088/1674-4926/40/7/072902
****
Q Li, J Y Zhou, Z H Liu, J S Xu, C F Li, G C Guo. Stable single photon sources in the near C-band range above 400 K[J]. J. Semicond, 2019, 40(7): 072902. doi: 10.1088/1674-4926/40/7/072902
|
Stable single photon sources in the near C-band range above 400 K
DOI: 10.1088/1674-4926/40/7/072902
More Information
-
Abstract
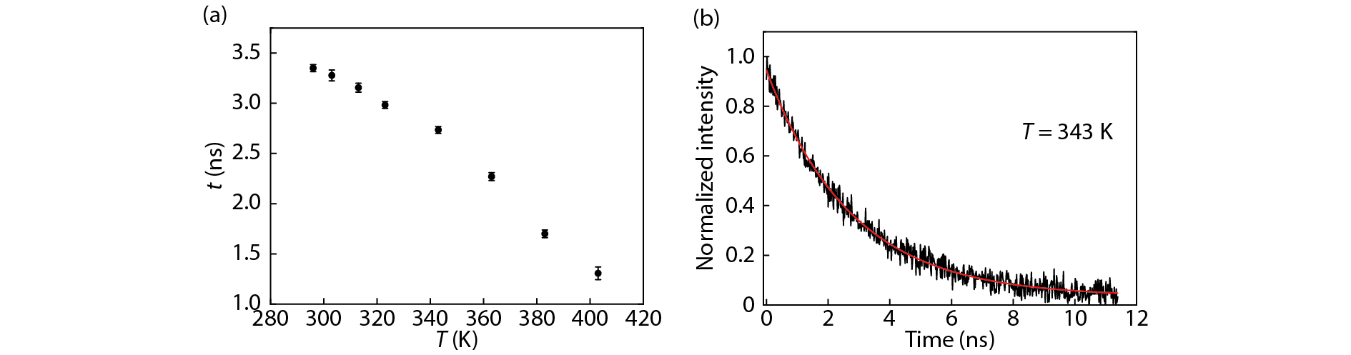
The intrinsic characteristics of single photons became critical issues since the early development of quantum mechanics. Nowadays, acting as flying qubits, single photons are shown to play important roles in the quantum key distribution and quantum networks. Many different single photon sources (SPSs) have been developed. Point defects in silicon carbide (SiC) have been shown to be promising SPS candidates in the telecom range. In this work, we demonstrate a stable SPS in an epitaxial 3C-SiC with the wavelength in the near C-band range, which is very suitable for fiber communications. The observed SPSs show high single photon purity and stable fluorescence at even above 400 K. The lifetimes of the SPSs are found to be almost linearly decreased with the increase of temperature. Since the epitaxial 3C-SiC can be conveniently nanofabricated, these stable near C-band SPSs would find important applications in the integrated photonic devices. -
References
[1] Wootters W K, Zurek W H. A single quantum cannot be cloned. Nature, 1982, 299(5886), 802 doi: 10.1038/299802a0[2] Scarani V, Bechmann-Pasquinucci H, Cerf N J, et al. The security of practical quantum key distribution. Rev Mod Phys, 2009, 81(3), 1301 doi: 10.1103/RevModPhys.81.1301[3] Aspuru-Guzik A, Waither P. Photonic quantum simulators. Nat Phys, 2012, 8(4), 285 doi: 10.1038/nphys2253[4] Kok P, Munro W J, Nemoto K, et al. Linear optical quantum computing with photonic qubits. Rev Mod Phys, 2007, 79(1), 135 doi: 10.1103/RevModPhys.79.135[5] Preskill J. Quantum computing and the entanglement frontier. arXiv: 1203.5813v3, 2012[6] Aaronson S, Arkhipov A. The computational complexity of linear optics. Proceedings of the ACM Symposium on Theory of Computing, ACM, New York, 2011, 333[7] Lund A P, Bremner M J, Ralph T C. Quantum sampling problems, Boson sampling and quantum supremacy. npj Quantum Inform, 2017, 3, 15 doi: 10.1038/s41534-017-0018-2[8] Lapkiewicz R, Li P, Schaeff C, et al. Experimetnal non-classicality of an indivisible quantum system. Nature, 2011, 474(7352), 490 doi: 10.1038/nature10119[9] Xiao Y, Xu Z P, Li Q, et al. Experimental observation of quantum state-independent contextuality under no-signaling conditions. Opt Express, 2018, 26(1), 32 doi: 10.1364/OE.26.000032[10] Xiao Y, Xu Z P, Li Q, et al. Experimental test of quantum correlations from platonic graphs. Optica, 2018, 5(6), 718 doi: 10.1364/OPTICA.5.000718[11] Kwiat P G, Mattle K, Weinfurter H, et al. New high-intensity source of polarization- entangled photon pairs. Phys Rev Lett, 1995, 75(24), 4337 doi: 10.1103/PhysRevLett.75.4337[12] Gazzano O, Michaelis de Vasconecellos S, Arnold C, et al. Bright solid-state sources of indistinguishable single photons. Nat Commun, 2013, 4, 1425 doi: 10.1038/ncomms2434[13] He Y M, He Y, Wei Y J, et al. On-demand semiconductor single-photon source with near-unity indistinguishability. Nat Nanotechnol, 2013, 8(3), 213 doi: 10.1038/nnano.2012.262[14] Santori C, Fattal D, Vuckovic J, et al. Indistinguishable photons from a single-photon device. Nature, 2002, 419(6907), 594 doi: 10.1038/nature01086[15] Wang H, He Y, Li Y H, et al. High-efficiency multiphoton boson sampling. Nat Photon, 2017, 11(6), 361 doi: 10.1038/nphoton.2017.63[16] Loredo J C, Broome M A, Hilaire P, et al. Boson sampling with single-photon fock states from a bright solid-state source. Phys Rev Lett, 2017, 118(13), 130503 doi: 10.1103/PhysRevLett.118.130503[17] Jelezko F, Wrachtrup J. Single defect centres in diamond: A review. Phys Status Solidi A, 2006, 203(13), 3207 doi: 10.1002/pssa.v203:13[18] Morfa A J, Gibson B C, Karg M, et al. Single-photon emission and quantum characterization of zinc oxide defects. Nano Lett, 2012, 12(2), 949 doi: 10.1021/nl204010e[19] Lohrmann A, Johnson B C, McCallum J C, et al. A review on single photon sources in silicon carbide. Rep Prog Phys, 2017, 80(3), 034502 doi: 10.1088/1361-6633/aa5171[20] Wang J, Zhou Y, Zhang, X, et al. Efficient generation of an array of single silicon-vacancy defects in silicon carbide. Phys Rev Appl, 2017, 7(6), 064021 doi: 10.1103/PhysRevApplied.7.064021[21] Widmann M, Lee S Y, Rendler T, et al. Coherent control of single spins in silicon carbide at room temperature. Nat Mater, 2015, 14(2), 164 doi: 10.1038/nmat4145[22] Fuchs F, Stender B, Trupke M, et al. Engineering near-infrared single-photon emitters with optically active spins in ultrapure silicon carbide. Nat Commun, 2015, 6, 7578 doi: 10.1038/ncomms8578[23] Lienhard B, Schröder T, Mouradian S, et al. Bright and photostable single-photon emitter in silicon carbide. Optica, 2016, 3(7), 768 doi: 10.1364/OPTICA.3.000768[24] Radulaski M, Widmann M, Niethammer M, et al. Scalable quantum photonics with single color centers in silicon carbide. Nano Lett, 2017, 17(3), 1782 doi: 10.1021/acs.nanolett.6b05102[25] Christle D J, Falk A L, Andrich P, et al. Isolated electron spins in silicon carbide with millisecond coherence times. Nat Mater, 2015, 14(2), 160 doi: 10.1038/nmat4144[26] Falk A L, Buckley B B, Calusine G, et al. Polytype control of spin qubits in silicon carbide. Nat Commun, 2013, 4, 1819 doi: 10.1038/ncomms2854[27] Christle D J, Klimov P V, Charles F, et al. Isolated spin qubits in SiC with a high-fidelity infrared spin-to-photon interface. Phys Rev X, 2017, 7(2), 021046 doi: 10.1103/PhysRevX.7.021046[28] Castelletto S, Johnson B C, Zachreson C, et al. Room temperature quantum emission from cubic silicon carbide nanoparticles. ACS Nano, 2014, 8(8), 7938 doi: 10.1021/nn502719y[29] Castelletto S, Johnson B, Ivády V, et al. A silicon carbide room-temperature single-photon source. Nat Mater, 2014, 13(2), 151 doi: 10.1038/nmat3806[30] Wang J, Zhou Y, Wang Z, et al. Bright room temperature single photon source at telecom range in cubic silicon carbide. Nat Commun, 2018, 9, 4106 doi: 10.1038/s41467-018-06605-3[31] Neu E, Steinmetz D, Riedrich-Möller J, et al. Single photon emission from silicon-vacancy colour centres in chemical vapour deposition nano-diamonds on iridium. New J Phys, 2011, 13, 025012 doi: 10.1088/1367-2630/13/2/025012[32] Kianinia M, Regan B, Abdulkader S, et al. Robust solid-state quantum system operating at 800 K. ACS Photon, 2017, 4(4), 768 doi: 10.1021/acsphotonics.7b00086[33] Radulaski M, Babinec T M, Mueller K, et al. Visible photoluminescence from cubic (3C) silicon carbide microdisks coupled to high quality whispering gallery modes. ACS Photon, 2015, 2(1), 14 doi: 10.1021/ph500384p[34] Schell A W, Neumer T, Shi Q, et al. Laser-written parabolic micro-antennas for efficient photon collection. Appl Phys Lett, 2014, 105(23), 231117 doi: 10.1063/1.4903804[35] Wan N H, Shields B J, Kim D, et al. Efficient extraction of light from a nitrogen-vacancy center in a diamond parabolic reflector. Nano Lett, 2018, 18(5), 2787 doi: 10.1021/acs.nanolett.7b04684[36] Choy J T, Bulu I, Hausmann B J, et al. Spontaneous emission and collection efficiency enhancement of single emitters in diamond via plasmonic cavities and gratings. Appl Phys Lett, 2013, 103(16), 161101 doi: 10.1063/1.4817397[37] Li L, Chen E H, Zheng J, et al. Efficient photon collection from a nitrogen vacancy center in a circular bullseye grating. Nano Lett, 2015, 15(3), 1493 doi: 10.1021/nl503451j[38] Livneh N, Harats M G, Yochelis S, et al. Efficient collection of light from colloidal quantum dots with a hybrid metal–dielectric nanoantenna. ACS Photon, 2015, 2(12), 1669 doi: 10.1021/acsphotonics.5b00433[39] Lohrmann A, Iwamoto N, Bodrog Z, et al. Single-photon emitting diode in silicon carbide. Nat Commun, 2015, 6, 7783 doi: 10.1038/ncomms8783[40] Sato S, Honda T, Makino T, et al. Room temperature electrical control of single photon sources at 4H-SiC surface. ACS Photon, 2018, 5(8), 3159 doi: 10.1021/acsphotonics.8b00375 -
Proportional views



DownLoad:







