英文注解
| Citation: |
Guanhaojie Zheng, Liang Li, Ligang Wang, Xingyu Gao, Huanping Zhou. The investigation of an amidine-based additive in the perovskite films and solar cells[J]. Journal of Semiconductors, 2017, 38(1): 014001. doi: 10.1088/1674-4926/38/1/014001
****
G H J Zheng, L Li, L G Wang, X Y Gao, H P Zhou. The investigation of an amidine-based additive in the perovskite films and solar cells[J]. J. Semicond., 2017, 38(1): 014001. doi: 10.1088/1674-4926/38/1/014001.
|
The investigation of an amidine-based additive in the perovskite films and solar cells
DOI: 10.1088/1674-4926/38/1/014001
More Information
-
Abstract
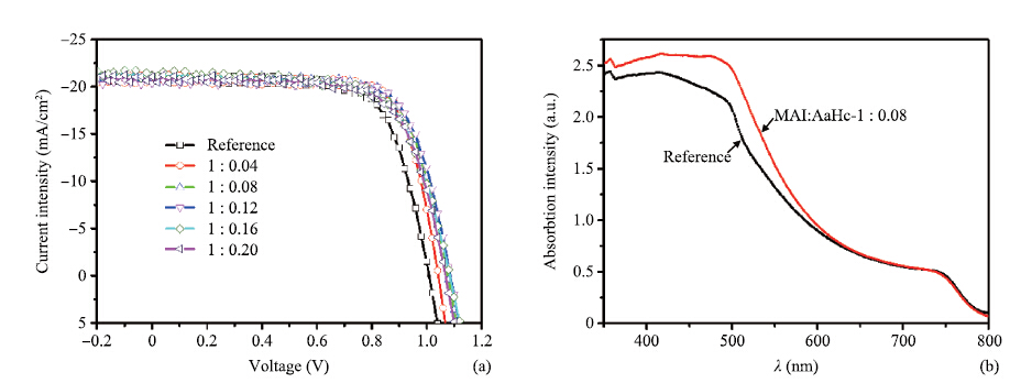
Here, we introduced acetamidine (C2H3N2H3, Aa)-based salt as an additive in the fabrication of perovskite (CH3NH3PbI3) layer for perovskite solar cells. It was found that as an amidine-based salt, this additive successfully enhanced the crystallinity of CH3NH3PbI3 and helped to form smooth and uniform films with comparable grain size and full coverage. Besides, perovskite film with additive showed a much longer carrier lifetime and an obviously enhanced open-circuit voltage in the corresponding devices, indicating that the acetamidine-based salt can reduce the carrier recombination in both the film and device. We further demonstrate a promising perovskite device based on acetamidine salt by using a configuration of ITO/TiO2/Perovskite/Spiro-OMeTAD/Au under < 150℃ fabrication condition. A power conversion efficiency (PCE) of 16.54% was achieved, which is much higher than the control device without acetamidine salt. These results present a simple method for film quality optimization of perovskite to further improve photovoltaic performances of perovskite solar cells, which may also benefit the exploration of A cation in perovskite materials.-
Keywords:
- acetamidine,
- crystallinity,
- open-circuit voltage,
- perovskite,
- solar cell
-
References
[1] Kojima A, Teshima K, Shirai Y, et al. Organometal halide perovskites as visible-light sensitizers for photovoltaic cells. J Am Chem Soc, 2009, 131(17):6050 doi: 10.1021/ja809598r[2] Im J H, Lee C R, Lee J W, et al. 6.5% efficient perovskite quantum-dot-sensitized solar cell. Nanoscale, 2011, 3(10):4088 doi: 10.1039/c1nr10867k[3] Kim H S, Lee C R, Im J H, et al. Lead iodide perovskite sensitized all-solid-state submicron thin film mesoscopic solar cell with efficiency exceeding 9%. Sci Rep, 2012, 2:591 https://www.researchgate.net/profile/Jacques-E_Moser/publication/230716542_Lead_iodide_perovskite_sensitized_all-solid-state_submicron_thin_film_mesoscopic_solar_cell_with_efficiency_exceeding_9/links/09e41506f09cb81b07000000.pdf[4] Liu M, Johnston M B, Snaith, H J. Efficient planar heterojunction perovskite solar cells by vapour deposition. Nature, 2013, 501(7467):395 doi: 10.1038/nature12509[5] Jeon N J, Noh J H, Yang W S, et al. Compositional engineering of perovskite materials for high-performance solar cells. Nature Nanotech, 2015, 517:5 http://cn.bing.com/academic/profile?id=98204aa2bfecff0b2e4f4ed0e84db3d8&encoded=0&v=paper_preview&mkt=zh-cn[6] Stamplecoskie K G, Manser J S, Kamat P V. Dual nature of the excited state in organic-inorganic lead halide perovskites. Energy Environ Sci, 2015, 8(1):208 doi: 10.1039/C4EE02988G[7] Chiang C H, Wu C G. Bulk heterojunction perovskite-PCBM solar cells with high fill factor. Nature Photon, 2016, 10:196 doi: 10.1038/nphoton.2016.3[8] Li Y, Meng L, Yang Y M, et al. High-efficiency robust perovskite solar cells on ultrathin flexible substrates. Nat Commun, 2016, 7:10214 doi: 10.1038/ncomms10214[9] Qin P, Paulose M, Dar M I, et al. Stable and efficient perovskite solar cells based on titania nanotube arrays. Small, 2015, 11(41):5533 doi: 10.1002/smll.v11.41[10] Fan R, Huang Y, Wang L, et al. The progress of interface design in perovskite-based solar cells. Adv Energy Mater, 2016, 6:1600460 doi: 10.1002/aenm.v6.17[11] Zhou H, Chen Q, Li G, et al. Interface engineering of highly efficient perovskite solar cells. Science, 2014, 345(6196):542 doi: 10.1126/science.1254050[12] Lee M M, Teuscher J, Miyasaka T, et al. Efficient hybrid solar cells based on meso-superstructured organometal halide perovskites. Science, 2012, 338(6107):643 doi: 10.1126/science.1228604[13] Eperon G E, Stranks S D, Menelaou C, et al. Formamidinium lead trihalide:a broadly tunable perovskite for efficient planar heterojunction solar cells. Energy Environ Sci, 2014, 7(3):982 doi: 10.1039/c3ee43822h[14] Giorgi G, Fujisawa J, Segawa H, et al. Small photocarrier effective masses featuring ambipolar transport in methylammonium lead iodide perovskite:a density functional analysis. J Phys Chem Lett, 2013, 4(24):4213 doi: 10.1021/jz4023865[15] Heo J H, Han H J, Kim D, et al. Hysteresis-less inverted CH3NH3PbI3 planar perovskite hybrid solar cells with 18.1% power conversion efficiency. Energy Environ Sci, 2015, 8(5):1602 doi: 10.1039/C5EE00120J[16] Burschka J, Pellet N, Moon S J, et al. Sequential deposition as a route to high-performance perovskite-sensitized solar cells. Nature, 2013, 499(7458):316 doi: 10.1038/nature12340[17] Xiao Z, Bi C, Shao Y, et al. Efficient, high yield perovskite photovoltaic devices grown by interdiffusion of solution-processed precursor stacking layers. Energy Environ Sci, 2014, 7(8):2619 doi: 10.1039/C4EE01138D[18] Jeon N J, Noh J H, Kim Y C, et al. Solvent engineering for highperformance inorganic-organic hybrid perovskite solar cells. Nat Mater, 2014, 13(9):897 doi: 10.1038/nmat4014[19] Ahn N, Son D Y, Jang I H, et al. Highly reproducible perovskite solar cells with average efficiency of 18.3% and best efficiency of 19.7% fabricated via Lewis base adduct of lead (II) iodide. J Am Chem Soc, 2015, 137(27):8696 doi: 10.1021/jacs.5b04930[20] Sharenko A, Toney M F. Relationships between lead halide perovskite thin-film fabrication, morphology, and performance in solar cells. J Am Chem Soc, 2015, 138(2):463 https://www.researchgate.net/publication/284278020_Relationships_between_Lead_Halide_Perovskite_Thin-Film_Fabrication_Morphology_and_Performance_in_Solar_Cells[21] Saliba M, Matsui T, Seo J Y, et al. Cesium-containing triple cation perovskite solar cells:improved stability, reproducibility and high efficiency. Energy Environ Sci, 2016, 9(6):1989 doi: 10.1039/C5EE03874J[22] Boopathi K M, Mohan R, Huang T Y, et al. Synergistic improvements in stability and performance of lead iodide perovskite solar cells incorporating salt additives. J Mater Chem A, 2016, 4(5):1591 doi: 10.1039/C5TA10288J[23] McMeekin D P, Sadoughi G, Rehman W, et al. A mixed-cation lead mixed-halide perovskite absorber for tandem solar cells. Science, 2016, 351(6269):151 doi: 10.1126/science.aad5845[24] Zuo C, Ding L. An 80.11% FF record achieved for perovskite solar cells by using the NH4Cl additive. Nanoscale, 2014, 6(17):9935 doi: 10.1039/C4NR02425G[25] Wang F, Yu H, Xu H, et al. HPbI3:a new precursor compound for highly efficient solution-processed perovskite solar cells. Adv Funct Mater, 2015, 25(7):1120 doi: 10.1002/adfm.v25.7[26] Wang Z K, Li M, Yang Y G, et al. High efficiency Pb-In binary metal perovskite solar cells. Adv Mater, 2016, 28(31):6695 doi: 10.1002/adma.201600626[27] Li X, Dar M I, Yi C, et al. Improved performance and stability of perovskite solar cells by crystal crosslinking with alkylphosphonic acid omega-ammonium chlorides. Nat Chem, 2015, 7(9):703 doi: 10.1038/nchem.2324[28] Liang P W, Liao C Y, Chueh C C, et al. Additive enhanced crystallization of solution-processed perovskite for highly efficient planar-heterojunction solar cells. Adv Mater, 2014, 26(22):3748 doi: 10.1002/adma.v26.22[29] Yang S, Wang Y, Liu P, et al. Functionalization of perovskite thin films with moisture-tolerant molecules. Nat Energy, 2016, 1:15016 doi: 10.1038/nenergy.2015.16[30] De Marco N, Zhou H, Chen Q, et al. Guanidinium:a route to enhanced carrier lifetime and open-circuit voltage in hybrid perovskite solar cells. Nano Lett, 2016, 16(2):1009 doi: 10.1021/acs.nanolett.5b04060[31] Son D Y, Lee J W, Choi Y J, et al. Self-formed grain boundary healing layer for highly efficient CH3NH3PbI3 perovskite solar cells. Nat Energy, 2016, 1(7):16081 doi: 10.1038/nenergy.2016.81[32] Yang L, Wang J, Leung W W. Lead iodide thin film crystallization control for high-performance and stable solution-processed perovskite solar cells. ACS Appl Mater Interfaces, 2015, 7(27):14614 doi: 10.1021/acsami.5b01049[33] Bryant D, Aristidou N, Pont S, et al. Light and oxygen induced degradation limits the operational stability of methylammonium lead triiodide perovskite solar cells. Energy Environ Sci, 2016, 9(5):1655 doi: 10.1039/C6EE00409A -
Proportional views



DownLoad:







