J. Semicond. > 2020, Volume 41 > Issue 1 > 011901

REVIEWS

Strain tunable quantum dot based non-classical photon sources

Jingzhong Yang1, Michael Zopf1 and Fei Ding1,

+ Author Affiliations

 Corresponding author: Fei Ding, Email: f.ding@fkp.uni-hannover.de

DOI: 10.1088/1674-4926/41/1/011901

PDF

Turn off MathJax

Abstract: Semiconductor quantum dots are leading candidates for the on-demand generation of single photons and entangled photon pairs. High photon quality and indistinguishability of photons from different sources are critical for quantum information applications. The inability to grow perfectly identical quantum dots with ideal optical properties necessitates the application of post-growth tuning techniques via e.g. temperature, electric, magnetic or strain fields. In this review, we summarize the state-of-the-art and highlight the advantages of strain tunable non-classical photon sources based on epitaxial quantum dots. Using piezoelectric crystals like PMN-PT, the wavelength of single photons and entangled photon pairs emitted by InGaAs/GaAs quantum dots can be tuned reversibly. Combining with quantum light-emitting diodes simultaneously allows for electrical triggering and the tuning of wavelength or exciton fine structure. Emission from light hole exciton can be tuned, and quantum dot containing nanostructure such as nanowires have been piezo-integrated. To ensure the indistinguishability of photons from distant emitters, the wavelength drift caused by piezo creep can be compensated by frequency feedback, which is verified by two-photon interference with photons from two stabilized sources. Therefore, strain tuning proves to be a flexible and reliable tool for the development of scalable quantum dots-based non-classical photon sources.

Key words: quantum dotentangled photonsstrain tuningpiezoelectric crystalfine structure splittingon-chip



[1]
Briegel H J, Dür W, Cirac J I, et al. Quantum repeaters: The role of imperfect local operations in quantum communication. Phys Rev Lett, 1998, 81(26), 5932 doi: 10.1103/PhysRevLett.81.5932
[2]
Simon C, de Riedmatten H, Afzelius M, et al. Quantum repeaters with photon pair sources and multimode memories. Phys Rev Lett, 2007, 98(19), 190503 doi: 10.1103/PhysRevLett.98.190503
[3]
Sangouard N, Simon C, de Riedmatten H, et al. Quantum repeaters based on atomic ensembles and linear optics. Rev Mod Phys, 2011, 83(1), 33 doi: 10.1103/RevModPhys.83.33
[4]
Kok P, Munro W J, Nemoto K, et al. Linear optical quantum computing with photonic qubits. Rev Mod Phys, 2007, 79(1), 135 doi: 10.1103/RevModPhys.79.135
[5]
Knill E, Laflamme R, Milburn G J. A scheme for efficient quantum computation with linear optics. Nature, 2001, 409(6816), 46 doi: 10.1038/35051009
[6]
Gisin N, Ribordy G, Tittel W, et al. Quantum cryptography. Rev Mod Phys, 2002, 74(1), 145 doi: 10.1103/RevModPhys.74.145
[7]
Ekert A K. Quantum cryptography based on Bell’s theorem. Phys Rev Lett, 1991, 67(6), 661 doi: 10.1103/PhysRevLett.67.661
[8]
Dowling J P, Seshadreesan K P. Quantum optical technologies for metrology, sensing, and imaging. J Lightwave Technol, 2015, 33(12), 2359 doi: 10.1109/JLT.2014.2386795
[9]
Giovannetti V, Lloyd S, Maccone L. Quantum metrology. Phys Rev Lett, 2006, 96(1), 010401 doi: 10.1103/PhysRevLett.96.010401
[10]
Afek I, Ambar O, Silberberg Y. High-NOON states by mixing quantum and classical light. Science, 2010, 328(5980), 879 doi: 10.1126/science.1188172
[11]
Schumacher B. Quantum coding. Phys Rev A, 1995, 51(4), 2738 doi: 10.1103/PhysRevA.51.2738
[12]
Bennett C H, Brassard G, Popescu S, et al. Purification of noisy entanglement and faithful teleportation via noisy channels. Phys Rev Lett, 1996, 76(5), 722 doi: 10.1103/PhysRevLett.76.722
[13]
Deutsch D, Ekert A, Jozsa R, et al. Quantum privacy amplification and the security of quantum cryptography over noisy channels. Phys Rev Lett, 1996, 77(1), 2818 doi: 10.1103/PhysRevLett.77.2818
[14]
Burnham D C, Weinberg D L. Observation of simultaneity in parametric production of optical photon pairs. Phys Rev Lett, 1970, 25(2), 84 doi: 10.1103/PhysRevLett.25.84
[15]
Shih Y H, Alley C O. New type of Einstein-Podolsky-Rosen-Bohm experiment using pairs of light quanta produced by optical parametric down conversion. Phys Rev Lett, 1988, 61(26), 2921 doi: 10.1103/PhysRevLett.61.2921
[16]
Kwiat P G, Mattle K, Weinfurter H, et al. New high-intensity source of polarization-entangled photon pairs. Phys Rev Lett, 1995, 75(24), 4337 doi: 10.1103/PhysRevLett.75.4337
[17]
Bennett C H, Brassard G, Crépeau C, et al. Teleporting an unknown quantum state via dual classical and Einstein-Podolsky-Rosen channels. Phys Rev Lett, 1993, 70(13), 1895 doi: 10.1103/PhysRevLett.70.1895
[18]
Vaidman L. Teleportation of quantum states. Phys Rev A, 1994, 49(2), 1473 doi: 10.1103/PhysRevA.49.1473
[19]
Bouwmeester D, Pan J W, Mattle K, et al. Experimental quantum teleportation. Nature, 1997, 390(6660), 575 doi: 10.1038/37539
[20]
Boschi D, Branca S, De Martini F, et al. Experimental realization of teleporting an unknown pure quantum state via dual classical and Einstein-Podolsky-Rosen channels. Phys Rev Lett, 1998, 80(6), 1121 doi: 10.1103/PhysRevLett.80.1121
[21]
Nilsson J, Stevenson R M, Chan M H A, et al. Quantum teleportation using a light-emitting diode. Nat Photonics, 2013, 7(4), 311 doi: 10.1038/nphoton.2013.10
[22]
Huwer J, Stevenson R M, Skiba-Szymanska J, et al. Quantum-dot-based telecommunication-wavelength quantum relay. Phys Rev Appl, 2017, 8(2), 1 doi: 10.1103/PhysRevApplied.8.024007
[23]
Żukowski M, Zeilinger A, Horne M A, et al. " Event-ready-detectors” bell experiment via entanglement swapping. Phys Rev Lett, 1993, 71(26), 4287 doi: 10.1103/PhysRevLett.71.4287
[24]
Pan J W, Bouwmeester D, Weinfurter H, et al. Experimental entanglement swapping: entangling photons that never interacted. Phys Rev Lett, 1998, 80(18), 3891 doi: 10.1103/PhysRevLett.80.3891
[25]
Sun Q C, Mao Y L, Jiang Y F, et al. Entanglement swapping with independent sources over an optical-fiber network. Phys Rev A, 2017, 95(3), 32306 doi: 10.1103/PhysRevA.95.032306
[26]
Zhang Y, Agnew M, Roger T, et al. Simultaneous entanglement swapping of multiple orbital angular momentum states of light. Nat Commun, 2017, 8(1), 1 doi: 10.1038/s41467-016-0009-6
[27]
Pan J W, Simon C, Brukner Č, et al. Entanglement purification for quantum communication. Nature, 2001, 410(6832), 1067 doi: 10.1038/35074041
[28]
Bouwmeester D, Pan J W, Bongaerts M, et al. Observation of three-photon greenberger-horne-zeilinger entanglement. Phys Rev Lett, 1999, 82(7), 1345 doi: 10.1103/PhysRevLett.82.1345
[29]
Zhang C, Huang Y F, Liu B H, et al. Experimental generation of a high-fidelity four-photon linear cluster state. Phys Rev A, 2016, 93(6), 062329 doi: 10.1103/PhysRevA.93.062329
[30]
Pan J W, Daniell M, Gasparoni S, et al. Experimental demonstration of four-photon entanglement and high-fidelity teleportation. Phys Rev Lett, 2001, 86(20), 4435 doi: 10.1103/PhysRevLett.86.4435
[31]
Lu C Y, Zhou X Q, Gühne O, et al. Experimental entanglement of six photons in graph states. Nat Phys, 2007, 3(2), 91 doi: 10.1038/nphys507
[32]
Michler P, Kiraz A, Becher C, et al. A quantum dot single-photon turnstile device. Science, 2000, 290(5500), 2282 doi: 10.1126/science.290.5500.2282
[33]
Michler P, Imamoğlu A, Mason M D, et al. Quantum correlation among photons from a single quantum dot at room temperature. Nature, 2000, 406(6799), 968 doi: 10.1038/35023100
[34]
Radnaev A G, Dudin Y O, Zhao R, et al. A quantum memory with telecom-wavelength conversion. Nat Phys, 2010, 6(11), 894 doi: 10.1038/nphys1773
[35]
Chanelière T, Matsukevich D N, Jenkins S D, et al. Quantum telecommunication based on atomic cascade transitions. Phys Rev Lett, 2006, 96(9), 093604 doi: 10.1103/PhysRevLett.96.093604
[36]
Stevenson R M, Young R J, Atkinson P, et al. A semiconductor source of triggered entangled photon pairs. Nature, 2006, 439(7073), 179 doi: 10.1038/nature04446
[37]
Bennett A J, Pooley M A, Stevenson R M, et al. Electric-field-induced coherent coupling of the exciton states in a single quantum dot. Nat Phys, 2010, 6(12), 947 doi: 10.1038/nphys1780
[38]
Salter C L, Stevenson R M, Farrer I, et al. An entangled-light-emitting diode. Nature, 2010, 465(7298), 594 doi: 10.1038/nature09078
[39]
Chen Y, Zhang J, Zopf M, et al. Wavelength-tunable entangled photons from silicon-integrated III–V quantum dots. Nat Commun, 2016, 7, 10387 doi: 10.1038/ncomms10387
[40]
Harris N C, Grassani D, Simbula A, et al. Integrated source of spectrally filtered correlated photons for large-scale quantum photonic systems. Phys Rev X, 2014, 4(4), 041047 doi: 10.1103/PhysRevX.4.041047
[41]
Zopf M, Keil R, Chen Y, et al. Entanglement swapping with semiconductor-generated photons. Phys Rev Lett, 2001, 9, 123 doi: 10.1103/PhysRevLett.123.160502
[42]
Rogers L J, Jahnke K D, Teraji T, et al. Multiple intrinsically identical single-photon emitters in the solid state. Nat Commun, 2014, 5(1), 4379 doi: 10.1038/ncomms5739
[43]
Morfa A J, Gibson B C, Karg M, et al. Single-photon emission and quantum characterization of zinc oxide defects. Nano Lett, 2012, 12(2), 949 doi: 10.1021/nl204010e
[44]
Kurtsiefer C, Mayer S, Zarda P, et al. Stable solid-state source of single photons. Phys Rev Lett, 2000, 85(2), 290 doi: 10.1103/physrevlett.85.290
[45]
Simpson D A, Ampem-Lassen E, Gibson B C, et al. A highly efficient two level diamond based single photon source. App Phys Lett, 2009, 94(20), 203107 doi: 10.1063/1.3141450
[46]
Aharonovich I, Englund D, Toth M. Solid-state single-photon emitters. Nat Photon, 2016, 10(10), 631 doi: 10.1038/nphoton.2016.186
[47]
Boyd R W, Lukishova S G, Zadkov V N. Quantum photonics: pioneering advances and emerging applications. Springer, 2019
[48]
Michler P. Single semiconductor quantum dots. Berlin Heidelberg: Springer-Verlag, 2009
[49]
Dupertuis M A, Karlsson K F, Oberli D Y, et al. Symmetries and the polarized optical spectra of exciton complexes in quantum dots. Phys Rev Lett, 2011, 107(12), 127403 doi: 10.1103/PhysRevLett.107.127403
[50]
Bayer M, Ortner G, Stern O, et al. Fine structure of neutral and charged excitons in self-assembled In(Ga)As/(Al)GaAs quantum dots. Phys Rev B, 2002, 65(19), 195315 doi: 10.1103/PhysRevB.65.195315
[51]
Stevenson R M, Hudson A J, Bennett A J, et al. Evolution of entanglement between distinguishable light states. Phys Rev Lett, 2008, 101(17), 170501 doi: 10.1103/PhysRevLett.101.170501
[52]
Trotta R, Wildmann J S, Zallo E, et al. Highly entangled photons from hybrid piezoelectric-semiconductor quantum dot devices. Nano Lett, 2014, 14(6), 3439 doi: 10.1021/nl500968k
[53]
Hudson A J, Stevenson R M, Bennett A J, et al. Coherence of an entangled exciton-photon state. Phys Rev Lett, 2007, 99(26), 266802 doi: 10.1103/PhysRevLett.99.266802
[54]
Keil R, Zopf M, Chen Y, et al. Solid-state ensemble of highly entangled photon sources at rubidium atomic transitions. Nat Commun, 2017, 8, 15501 doi: 10.1038/ncomms15501
[55]
Kiravittaya S, Lee H S, Balet L, et al. Tuning optical modes in slab photonic crystal by atomic layer deposition and laser-assisted oxidation. J Appl Phys, 2011, 109(5), 053115 doi: 10.1063/1.3559269
[56]
Ellis D J P, Stevenson R M, Young R J, et al. Control of fine-structure splitting of individual InAs quantum dots by rapid thermal annealing. Appl Phys Lett, 2007, 90(1), 011907 doi: 10.1063/1.2430489
[57]
Pooley M A, Bennett A J, Stevenson R M, et al. Energy-tunable quantum dot with minimal fine structure created by using simultaneous electric and magnetic fields. Phys Rev Appl, 2014, 1(2), 024002 doi: 10.1103/PhysRevApplied.1.024002
[58]
Ghali M, Ohtani K, Ohno Y, et al. Generation and control of polarization-entangled photons from GaAs island quantum dots by an electric field. Nat Commun, 2012, 3, 661 doi: 10.1038/ncomms1657
[59]
Muller A, Fang W, Lawall J, et al. Creating polarization-entangled photon pairs from a semiconductor quantum dot using the optical stark effect. Phys Rev Lett, 2009, 103(21), 217402 doi: 10.1103/PhysRevLett.103.217402
[60]
Ding F, Singh R, Plumhof J D, et al. Tuning the exciton binding energies in single self-assembled InGaAs/GaAs quantum dots by piezoelectric-induced biaxial stress. Phys Rev Lett, 2010, 104(6), 2 doi: 10.1103/PhysRevLett.104.067405
[61]
Zhang J, Ding F, Zallo E, et al. A nanomembrane-based wavelength-tunable high-speed single-photon-emitting diode. Nano Lett, 2013, 13(12), 5808 doi: 10.1021/nl402307q
[62]
Zhang J, Zallo E, Höfer B, et al. Electric-field-induced energy tuning of on-demand entangled-photon emission from self-assembled quantum dots. Nano Lett, 2017, 17(1), 501 doi: 10.1021/acs.nanolett.6b04539
[63]
Zhang J, Huo Y, Ding F, et al. Energy-tunable single-photon light-emitting diode by strain fields. Appl Phys B, 2016, 122(1), 1 doi: 10.1007/s00340-015-6287-6
[64]
Höfer B, Zhang J, Wildmann J, et al. Independent tuning of excitonic emission energy and decay time in single semiconductor quantum dots. Appl Phys Lett, 2017, 110(15), 151102 doi: 10.1063/1.4979481
[65]
Zhang J, Wildmann J S, Ding F, et al. High yield and ultrafast sources of electrically triggered entangled-photon pairs based on strain-tunable quantum dots. Nat Commun, 2015, 6, 10067 doi: 10.1038/ncomms10067
[66]
Huo Y H, Witek B J, Kumar S, et al. A light-hole exciton in a quantum dot. Nat Phys, 2013, 10(1), 46 doi: 10.1038/nphys2799
[67]
Zhang J, Huo Y, Rastelli A, et al. Single photons on-demand from light-hole excitons in strain-engineered quantum dots. Nano Lett, 2015, 15(1), 422 doi: 10.1021/nl5037512
[68]
Wang J, Gong M, Guo G C, et al. Towards scalable entangled photon sources with self-assembled InAs/GaAs quantum dots. Phys Rev Lett, 2015, 115(6), 067401 doi: 10.1103/PhysRevLett.115.067401
[69]
Trotta R, Martín-Sánchez J, Daruka I, et al. Energy-tunable sources of entangled photons: a viable concept for solid-state-based quantum relays. Phys Rev Lett, 2015, 114(15), 150502 doi: 10.1103/PhysRevLett.114.150502
[70]
Chen Y, Zadeh I E, Jöns K D, et al. Controlling the exciton energy of a nanowire quantum dot by strain fields. Appl Phys Lett, 2016, 108(18), 182103 doi: 10.1063/1.4948762
[71]
Versteegh M A M, Reimer M E, Jöns K D, et al. Observation of strongly entangled photon pairs from a nanowire quantum dot. Nat Commun, 2014, 5, 5298 doi: 10.1038/ncomms6298
[72]
Bulgarini G, Reimer M E, Bavinck M B, et al. Nanowire waveguides launching single photons in a Gaussian mode for ideal fiber coupling. Nano Lett, 2014, 14, 1428 doi: 10.1021/nl501648f
[73]
Davanço M, Rakher M T, Schuh D, et al. A circular dielectric grating for vertical extraction of single quantum dot emission. Appl Phys Lett, 2011, 99(4), 041102 doi: 10.1063/1.3615051
[74]
Liu J, Su R, Wei Y, et al. A solid-state source of strongly entangled photon pairs with high brightness and indistinguishability. Nat Nanotechnol, 2019, 14(6), 586 doi: 10.1038/s41565-019-0435-9
[75]
Wang H, Hu H, Chung T H, et al. On-demand semiconductor source of entangled photons which simultaneously has high fidelity, efficiency, and indistinguishability. Phys Rev Lett, 2019, 122(11), 113602 doi: 10.1103/PhysRevLett.122.113602
[76]
Moczała-Dusanowska M, Dusanowski Ł, Gerhardt S, et al. Strain-tunable single-photon source based on a quantum dot–micropillar system. ACS Photonics, 2019, 6(8), 2025 doi: 10.1021/acsphotonics.9b00481
[77]
Jung H, Gweon D G. Creep characteristics of piezoelectric actuators. Rev Sci Instrum, 2000, 71(4), 1896 doi: 10.1063/1.1150559
[78]
Zopf M, Macha T, Keil R, et al. Frequency feedback for two-photon interference from separate quantum dots. Phys Rev B, 2018, 98(16), 161302 doi: 10.1103/PhysRevB.98.161302
[79]
Chuang S L. Physics of photonic devices. Hoboken, NJ: Wiley, 2009
[80]
Pikus G E. Effect of deformation on the hole energy spectrum of germanium and silicon. Sov Phys-Solid State, 1960, 11502
[81]
Bir G L, Pikus G E. Symmetry and strain-induced effects in semiconductors. New York: Wiley, 1974
[82]
Trotta R, Atkinson P, Plumhof J D, et al. Nanomembrane quantum-light-emitting diodes integrated onto piezoelectric actuators. Adv Mater, 2012, 24(20), 2668 doi: 10.1002/adma.201200537
[83]
Kumar S, Trotta R, Zallo E, et al. Strain-induced tuning of the emission wavelength of high quality GaAs/AlGaAs quantum dots in the spectral range of the 87Rb D2 lines. Appl Phys Lett, 2011, 99(16), 161118 doi: 10.1063/1.3653804
[84]
Plumhof J D, Trotta R, Křápek V, et al. Tuning of the valence band mixing of excitons confined in GaAs/AlGaAs quantum dots via piezoelectric-induced anisotropic strain. Phys Rev B, 2013, 87(7), 075311 doi: 10.1103/PhysRevB.87.075311
[85]
Benson O, Santori C, Pelton M, et al. Regulated and entangled photons from a single quantum dot. Phys Rev Lett, 2000, 84(11), 2513 doi: 10.1103/PhysRevLett.84.2513
[86]
Ward M B, Dean M C, Stevenson R M, et al. Coherent dynamics of a telecom-wavelength entangled photon source. Nat Commun, 2014, 5(1), 3316 doi: 10.1038/ncomms4316
[87]
Santori C, Fattal D, Pelton M, et al. Polarization-correlated photon pairs from a single quantum dot. Phys Rev B, 2002, 66(4), 045308 doi: 10.1103/PhysRevB.66.045308
[88]
Stevenson R M, Thompson R M, Shields A J, et al. Quantum dots as a photon source for passive quantum key encoding. Phys Rev B, 2002, 66(8), 081302 doi: 10.1103/PhysRevB.66.081302
[89]
Bester G. Electronic excitations in nanostructures: an empirical pseudopotential based approach. J Phys: Condens Matter, 2008, 21(2), 023202 doi: 10.1088/0953-8984/21/2/023202
[90]
Ding F, Ji H, Chen Y, et al. Stretchable graphene: a close look at fundamental parameters through biaxial straining. Nano Lett, 2010, 10(9), 3453 doi: 10.1021/nl101533x
[91]
Zallo E, Trotta R, Křápek V, et al. Strain-induced active tuning of the coherent tunneling in quantum dot molecules. Phys Rev B, 2014, 89(24), 241303 doi: 10.1103/PhysRevB.89.241303
[92]
Meesala S, Sohn Y I, Pingault B, et al. Strain engineering of the silicon-vacancy center in diamond. Phys Rev B, 2018, 97(20), 205444 doi: 10.1103/PhysRevB.97.205444
[93]
Kiršanskė G, Thyrrestrup H, Daveau R S, et al. Indistinguishable and efficient single photons from a quantum dot in a planar nanobeam waveguide. Phys Rev B, 2017, 96(16), 165306 doi: 10.1103/PhysRevB.96.165306
[94]
Lodahl P. Quantum-dot based photonic quantum networks. Quantum Sci Technol, 2017, 3(1), 013001 doi: 10.1088/2058-9565/aa91bb
[95]
Daveau R S, Balram K C, Pregnolato T, et al. Efficient fiber-coupled single-photon source based on quantum dots in a photonic-crystal waveguide. Optica, 2017, 4(2), 178 doi: 10.1364/OPTICA.4.000178
[96]
Pan J W, Gasparoni S, Ursin R. Experimental entanglement purification of arbitrary unknown states. Nature, 2003, 423, 417 doi: 10.1038/nature01623
[97]
Chen L K, Yong H L, Xu P, et al. Experimental nested purification for a linear optical quantum repeater. Nat Photon, 2017, 11(11), 695 doi: 10.1038/s41566-017-0010-6
[98]
Sheng Y B, Zhou L, Long G L. Hybrid entanglement purification for quantum repeaters. Phys Rev A, 2013, 88(2), 022302 doi: 10.1103/PhysRevA.88.022302
[99]
de Riedmatten H, Marcikic I, Tittel W, et al. Long distance quantum teleportation in a quantum relay configuration. Phys Rev Lett, 2004, 92(4), 047904 doi: 10.1103/PhysRevLett.92.047904
[100]
Bennett A J, Unitt D C, See P, et al. Electrical control of the uncertainty in the time of single photon emission events. Phys Rev B, 2005, 72(3), 033316 doi: 10.1103/PhysRevB.72.033316
[101]
Reischle M, Kessler C, Schulz W M, et al. Triggered single-photon emission from electrically excited quantum dots in the red spectral range. Appl Phys Lett, 2010, 97(14), 143513 doi: 10.1063/1.3497016
[102]
Hargart F, Kessler C A, Schwarzbäck T, et al. Electrically driven quantum dot single-photon source at 2 GHz excitation repetition rate with ultra-low emission time jitter. Appl Phys Lett, 2013, 102(1), 011126 doi: 10.1063/1.4774392
[103]
Troncale V, Karlsson K F, Pelucchi E, et al. Control of valence band states in pyramidal quantum dot-in-dot semiconductor heterostructures. Appl Phys Lett, 2007, 91(24), 241909 doi: 10.1063/1.2820693
[104]
Karlsson K F, Dupertuis M A, Oberli D Y, et al. Fine structure of exciton complexes in high-symmetry quantum dots: Effects of symmetry breaking and symmetry elevation. Phys Rev B, 2010, 81(16), 161307 doi: 10.1103/PhysRevB.81.161307
[105]
Vrijen R, Yablonovitch E. A spin-coherent semiconductor photo-detector for quantum communication. Physica E, 2001, 10(4), 569 doi: 10.1016/S1386-9477(00)00296-4
[106]
Sleiter D, Brinkman W F. Using holes in GaAs as qubits: An estimate of the Rabi frequency in the presence of an external RF field. Phys Rev B, 2006, 74(15), 153312 doi: 10.1103/PhysRevB.74.153312
[107]
Kosaka H, Inagaki T, Rikitake Y, et al. Spin state tomography of optically injected electrons in a semiconductor. Nature, 2009, 457(7230), 702 doi: 10.1038/nature07729
[108]
L Besombes L, K Kheng K, Martrou D. Exciton and biexciton fine structure in single elongated islands grown on a vicinal surface. Phys Rev Lett, 2000, 85(2), 425 doi: 10.1103/PhysRevLett.85.425
[109]
Belhadj T, Amand T, Kunold A, et al. Impact of heavy hole-light hole coupling on optical selection rules in GaAs quantum dots. Appl Phys Lett, 2010, 97(5), 051111 doi: 10.1063/1.3473824
[110]
Zhou W, Shen H, Pamulapati J, et al. Heavy- and light-hole band crossing in a variable-strain quantum-well heterostructure. Phys Rev B, 1995, 51(8), 5461 doi: 10.1103/PhysRevB.51.5461
[111]
Zhou W, Shen H, J Pamulapati J, et al. Simultaneous blue- and red-shift of light-hole and heavy-hole band in a novel variable-strain quantum well heterostructure. Appl Phys Lett, 1995, 66(5), 607 doi: 10.1063/1.114028
[112]
Huo Y H, Rastelli A, Schmidt O G. Ultra-small excitonic fine structure splitting in highly symmetric quantum dots on GaAs (001) substrate. Appl Phys Lett, 2013, 102(15), 152105 doi: 10.1063/1.4802088
[113]
Witek B J, Heeres R W, Perinetti U, et al. Measurement of the g-factor tensor in a quantum dot and disentanglement of exciton spins. Phys Rev B, 2011, 84(19), 195305 doi: 10.1103/PhysRevB.84.195305
[114]
Wang X L, Chen L K, W Li W, et al. Experimental ten-photon entanglement. Phys Rev Lett, 2016, 117(21), 210502 doi: 10.1103/PhysRevLett.117.210502
[115]
Scarani V, de Riedmatten H, Marcikic I, et al. Four-photon correction in two-photon Bell experiments. Eur Phys J D, 2005, 32(1), 129 doi: 10.1140/epjd/e2004-00170-7
[116]
Seidl S, Högele A, Kroner M, et al. Tuning the cross-gap transition energy of a quantum dot by uniaxial stress. Physica E, 2006, 32(1), 14 doi: 10.1016/j.physe.2005.12.069
[117]
Bryant G W, Zieliński M, N Malkova N, et al. Effect of mechanical strain on the optical properties of quantum dots: controlling exciton shape, orientation, and phase with a mechanical strain. Phys Rev Lett, 2010, 105(6), 067404 doi: 10.1103/PhysRevLett.105.067404
[118]
Michler P. Quantum dots for quantum information technologies. Springer International Publishing, 2017
[119]
Creative Commons Attribution 4.0 International License. http://creativecommons.org/licenses/by/4.0/.
[120]
Gong M, Zhang W, Guo G C, et al. Exciton polarization, fine-structure splitting, and the asymmetry of quantum dots under uniaxial stress. Phys Rev Lett, 2011, 106(22), 227401 doi: 10.1103/PhysRevLett.106.227401
[121]
Singh R, Bester G. Lower bound for the excitonic fine structure splitting in self-assembled quantum dots. Phys Rev Lett, 2010, 104(19), 196803 doi: 10.1103/PhysRevLett.104.196803
[122]
Müller M, Bounouar S, Jöns K D, et al. On-demand generation of indistinguishable polarization-entangled photon pairs. Nat Photonics, 2014, 8(3), 224 doi: 10.1038/nphoton.2013.377
[123]
Altepeter J B, Jeffrey E R, Kwiat P G. Photonic state tomography. Adv Atom, Mol, Opt Phys, 2015, 52, 105 doi: 10.1016/S1049-250X(05)52003-2
[124]
James D F V, Kwiat P G, Munro W J, et al. Measurement of qubits. Phys Rev A, 2001, 64(5), 052312 doi: 10.1103/PhysRevA.64.052312
[125]
Dousse A, Suffczyński J, Beveratos A, et al. Ultrabright source of entangled photon pairs. Nature, 2010, 466(7303), 217 doi: 10.1038/nature09148
[126]
Chen Y, Zopf M, Keil R, et al. Highly-efficient extraction of entangled photons from quantum dots using a broadband optical antenna. Nat Commun, 2018, 9(1), 1 doi: 10.1038/s41467-017-02088-w
[127]
Kuhn A, Hennrich M, Rempe G. Deterministic single-photon source for distributed quantum networking. Phys Rev Lett, 2002, 89(6), 067901 doi: 10.1103/PhysRevLett.89.067901
[128]
Flagg E B, Muller A, Polyakov S V, et al. Interference of single photons from two separate semiconductor quantum dots. Phys Rev Lett, 2010, 104(13), 137401 doi: 10.1103/PhysRevLett.104.137401
[129]
Friedler I, Sauvan C, Hugonin J P, et al. Solid-state single photon sources: the nanowire antenna. Opt Express, 2009, 17(4), 2095 doi: 10.1364/OE.17.002095
[130]
Heindel T, Schneider C, Lermer M, et al. Electrically driven quantum dot-micropillar single photon source with 34% overall efficiency. Appl Phys Lett, 2010, 96(1), 011107 doi: 10.1063/1.3284514
[131]
Reimer M E, Bulgarini G, Akopian N, et al. Bright single-photon sources in bottom-up tailored nanowires. Nat Commun, 2012, 3, 737 doi: 10.1038/ncomms1746
[132]
Bulgarini G, D Dalacu D, P J Poole P J, et al. Far field emission profile of pure wurtzite InP nanowires. Appl Phys Lett, 2014, 105(19), 191113 doi: 10.1063/1.4901437
[133]
Gregersen N, Nielsen T R, Claudon J, et al. Controlling the emission profile of a nanowire with a conical taper. Opt Lett, OL, 2008, 33(15), 1693 doi: 10.1364/OL.33.001693
[134]
Dalacu D, Mnaymneh K, Lapointe J, et al. Ultraclean emission from InAsP quantum dots in defect-free wurtzite InP nanowires. Nano Lett, 2012, 12(11), 5919 doi: 10.1021/nl303327h
[135]
Reimer M E, Bulgarini G, Fognini A, et al. Overcoming power broadening of the quantum dot emission in a pure wurtzite nanowire. Phys Rev B, 2016, 93(19), 195316 doi: 10.1103/PhysRevB.93.195316
[136]
Signorello G, Karg S, Björk M T, et al. Tuning the light emission from GaAs nanowires over 290 meV with uniaxial strain. Nano Lett, 2013, 13(3), 917 doi: 10.1021/nl303694c
[137]
Kremer P E, Dada A C, Kumar P, et al. Strain-tunable quantum dot embedded in a nanowire antenna. Phys Rev B, 2014, 90(20), 201408 doi: 10.1103/PhysRevB.90.201408
[138]
A Politi A, Cryan M J, Rarity J G, et al. Silica-on-silicon waveguide quantum circuits. Science, 2008, 320(5876), 646 doi: 10.1126/science.1155441
[139]
Silverstone J W, Bonneau D, Ohira K, et al. On-chip quantum interference between silicon photon-pair sources. Nat Photonics, 2014, 8(2), 104 doi: 10.1038/nphoton.2013.339
[140]
Najafi N, Mower J, Harris N C, et al. On-chip detection of non-classical light by scalable integration of single-photon detectors. Nat Commun, 2015, 6, 5873 doi: 10.1038/ncomms6873
[141]
O’Brien J L, Furusawa A, Vučković J. Photonic quantum technologies. Nat Photonics, 2009, 3(12), 687 doi: 10.1038/nphoton.2009.229
[142]
Plumhof J D, Křápek V, Ding F, et al. Strain-induced anticrossing of bright exciton levels in single self-assembled GaAs/Al xGa1– xAs and In xGa1– xAs/GaAs quantum dots. Phys Rev B, 2011, 83(12), 121302 doi: 10.1103/PhysRevB.83.121302
[143]
Giesz V, Portalupi S L, Grange T, et al. Cavity-enhanced two-photon interference using remote quantum dot sources. Phys Rev B, 2015, 92(16), 161302 doi: 10.1103/PhysRevB.92.161302
[144]
Thoma A, Schnauber P, Böhm J, et al. Two-photon interference from remote deterministic quantum dot microlenses. Appl Phys Lett, 2017, 110(1), 011104 doi: 10.1063/1.4973504
[145]
Akopian N, Trotta R, Zallo E, et al. An artificial atom locked to natural atoms. ArXiv:13022005 [Cond-Mat, Physics:Physics, Physics:Quant-Ph], 2013
[146]
Prechtel J H, Kuhlmann A V, Houel J, et al. Frequency-stabilized source of single photons from a solid-state qubit. Phys Rev X, 2013, 3(4), 041006 doi: 10.1103/PhysRevX.3.041006
[147]
Metcalfe M, Muller A, Solomon G S, et al. Active feedback of a Fabry-Perot cavity to the emission of a single InAs/GaAs quantum dot. J Opt Soc Am B, 2009, 26(12), 2308 doi: 10.1364/JOSAB.26.002308
[148]
Brunner K, Abstreiter G, Böhm G, et al. Sharp-line photoluminescence and two-photon absorption of zero-dimensional biexcitons in a GaAs/AlGaAs structure. Phys Rev Lett, 1994, 73(8), 1138 doi: 10.1103/PhysRevLett.73.1138
[149]
Bylander J, Robert-Philip I, Abram I. Interference and correlation of two independent photons. Eur Phys J D, 2003, 22(2), 295 doi: 10.1140/epjd/e2002-00236-6
Fig. 1.  (Color online) (a) Scheme of the cascade emission of the XX. The solid (dashed) line represents the XX decay path by emitting H(V) polarized photons. By applying tensile or compressive strain, the EB(XX) energy of XX relative to X can be robustly adjusted. (b) Schematic of the device used for strain tuning of InGaAs/GaAs QDs, as located on the cold figure of a liquid He cryostat. Both the laser excitation and photon collection are performed by a photoluminescence setup above the device. The inset shows a 200 nm-thick QD containing nanomembrane. (c) Low-temperature PL spectrum with different EB(XX). The emission line lying on the higher energy side of X and XX in both spectra is attributed to the positive trion X+ emission. Reprinted figure with permission from Ref. [60]. Copyright 2019, the American Physical Society.

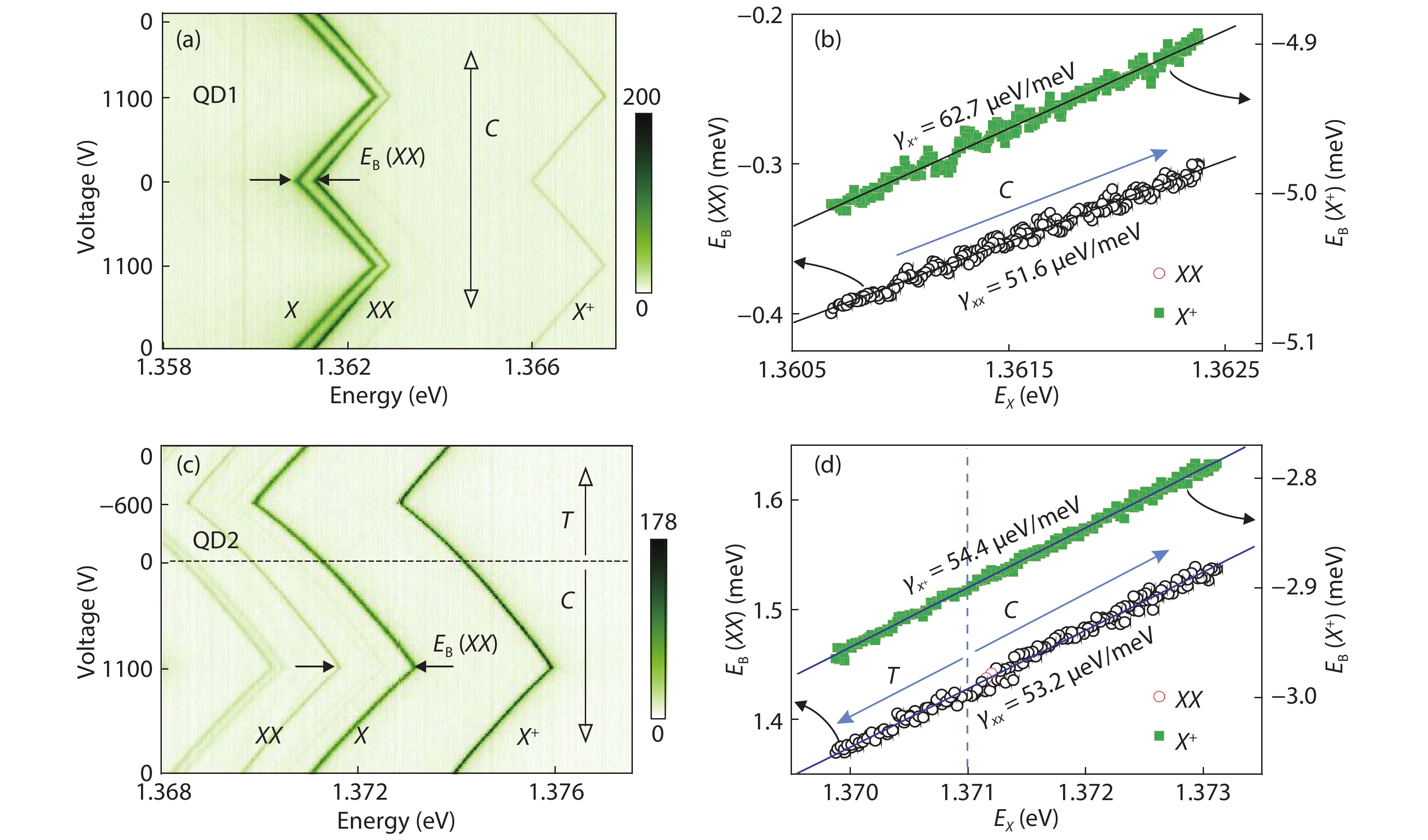
Fig. 2.  (Color online) PL spectra of (a) QD1 and (c) QD2 as a function of applied voltage on the PMN-PT actuator. The linear increase of EB(XX) and EB(X+) with EX for both QD1 and QD2 are shown in (b) and (d). Reprinted figure with permission from Ref. [60]. Copyright 2019, the American Physical Society.

Fig. 3.  (Color online) Sketch and characterization of a nanomembrane-based strain tunable single- photon-emitting diode. (a) n–i–p diode nanomembrane containing InGaAs/GaAs QDs bonded on a PMN-PT crystal via gold-to-gold thermo-compression bonding. The p-contact of the nanomembrane and the PMN-PT share a common ground. A diode voltage Vd and piezo voltage Vpp can be applied independently. (b) Microscope image of the strain tunable single-photon LED device. (c) The electric pulse applied on the nanomembrane is composed of two parts, the DC bias Vd and ultra-short pulse Vpp. (d) EL spectra from LED under different DC bias Vd. (e) Fluorescence lifetime histograms of the neutral X photon emission for different DC bias. Reprinted with permission from Ref. [61]. Copyright 2013, American Chemical Society.

Fig. 4.  (Color online) (a) Tunable X photon emission line under in-plane biaxial strain ε||. (a) ε|| < 0 (compressive) and ε|| > 0 (tensile) strain is obtained for positive and negative electric fields applied to the PMN-PT substrate, respectively. (b)–(d) Autocorrelation measurements are implemented with the X emission, and the suppression of coincidence counts at zero-time confirm the single-photon emission when varying the strain is applied to the QDs. Reprinted with permission from Ref. [61]. Copyright 2013, American Chemical Society.

Fig. 5.  (Color online) (a) Schematic of the GaAs QDs heterostructure in the GaAs substrate, the length of the arrows are indicating the magnitude of in-plane strain. (b) Atomic force microscopy (AFM) image of a droplet-etched nanohole on the AlGaAs surface before GaAs filling. (c) Schematic of the GaAs QDs heterostructure after the etching of the AlAs sacrificial layer. (d) The energy level of the dipole transition in the QDs. X represents the light hole exciton, which is composed of a dark state (D) and three bright states (B). x and y denote the in-plane crystal direction and z denotes the out-plane direction. Reprinted with permission from Ref. [66]. Copyright 2013, Springer Nature.

Fig. 6.  (Color online) PL spectra of a heavy hole and light hole exciton in GaAs/AlGaAs QDs. In (a) and (c), the open and filled circles represent the two perpendicular in-plane polarized components of light along the B1 line has the polarization close to the x-direction [110]. In (b) and (d) the light is collected from the cleaved edge of the sample, the open diamond line has the polarization close to the y-direction [1$\bar 1$0]. Besides, there is an additional emission at higher energy in (d) indicting the dominated light hole exciton emission. Reprinted with permission from Ref. [66]. Copyright 2013, Springer Nature.

Fig. 7.  (Color online) Polarization-resolved PL spectra of the light hole exciton emission independence of a magnetic field applied in the z-direction. Emission spectra are collected along z-direction (a) and x-direction (b). The dashed lines in (b) represent fits of the peak positions for the in-plane polarized B1 and B2 lines (white) and z-polarized Bz and Dz lines (green). Reprinted with permission from Ref. [66]. Copyright 2013, Springer Nature.

Fig. 8.  (Color online) (a) Autocorrelation measurement of light hole exciton emission without any strain applied by PMN-PT. (b) Light hole exciton emission wavelength as a function of applied electric field on PMN-PT. Autocorrelation measurements (c) and (d) of the light hole emission, conducted at different electric field Fp. Reprinted with permission from Ref. [67]. Copyright 2015, American Chemical Society.

Fig. 9.  (Color online) Schematic and characterization of a strain tunable entangled-light-emitting diode. (a) Sketch of the device. (b) EL emission spectra from a single QD as a function of the electric field applied to the piezoelectric actuator. (c) FSS of the exciton (X) state as a function of Fp for different QDs. The inset shows the biexciton cascade and FSS between X states. (d) X photon polarization angle relative to the nanomembrane crystal orientation [110] as a function of the electric field at the piezo. (e)–(i) represent the FSS and polarization angle of different QDs at zero electric fields Fp. Figure is taken from Ref. [65] without changes are made. CC BY[119].

Fig. 10.  (Color online) Entanglement characterization of the XX and X photons. (a) Cross-correlation measurements for co-polarized photons (blue) and cross-polarized photon (red) in different polarization projection bases H, V, D, A, R or L. (b) Real and (c) imaginary part of the two-photon density matrix, from which the degree of entanglement can is obtained. Figure is taken from Ref. [65] without changes are made. CC BY[119].

Fig. 11.  (Color online) Sketch and characterization of the device allowing for strain-tuning of QD containing nanowires. (a) Sketch of InP nanowire containing InAsP QD placed on a PMN-PT substrate, and the PL setup featuring QD excitation from the top and photon collection from the side. Inset shows the scanning electron microscopy (SEM) image of the nanowires with different taper. (b) QD exciton emission energy as a function of the voltage applied to PMN-PT. (c) PL spectra of two QDs in separate nanowires on different piezoelectric substrates. (d) and (e) show the fluorescence lifetime measurements on the excitons for nanowire 1 and 2, respectively. Red lines are the fit functions consisting of an exponential decay convoluted with the detector response function. Reprinted from Ref. [70], with the permission of AIP Publishing.

Fig. 12.  (Color online) Silicon-based wavelength-tunable entangled photon source. (a) The vision of large scale integration of wavelength-tunable sources on silicon chips. (b) Sketch of the device. Focused ion beam (FIB) is used to create trenches on the PMN-PT surface and chemical etching is performed to suspend the different parts. A nanomembrane is then transferred to the top center of the four “legs”. (c) microscope image of the device, showing the electric contacts on the legs A, B, C, and D, obtained by wire bonding. (d) Tuning of the QD emission wavelength with the applied voltage VBD on PMN-PT. (e) Sketch of the biexciton cascade and the possibility of reducing the FSS in the QDs by strain. Figure is taken from Ref. [39] without changes are made. CC BY[119].

Fig. 13.  (Color online) (a) and (b) show the strain-induced changes in FSS and polarization angle of X photons relative with the QD principal axis. The voltage is applied on legs A and C and the voltages on legs B and D are fixed at 0 and –25 V respectively. The ellipse in the inset indicates the asymmetric quantum dot confinement potential and the red solid line indicates the X photon polarization direction. (c) The X photon emission wavelength changes as a function of the voltage VAC with two different fixed voltages VBD at 0 V and –25 V. (d) The change of FSS while altering the strain in the QD along with two orthogonal directions (A–C and B–D). The dashed line indicates the track of minimal FSS with different strain combinations. Figure is taken from Ref. [39] without changes are made. CC BY[119].

Fig. 14.  (Color online) Simultaneous tuning of wavelength and fine structure splitting. (a) FSS of a single QD varies as a function of the tunable emission wavelength. A series of VBD with a step size of 25 V from 25 to –100 V are investigated, while the voltage VAC is changed at the same time to adjust the FSS. The red dashed line at FSS = 1 μeV implies the FSS limit for generating entangled photon pairs from the QD. (b) Polarization-dependent cross-correlation measurements on XX and X photons are performed and an entangle ement fidelity f+ = 0.733 ± 0.075 is obtained. Figure is taken from Ref. [39] without changes are made. CC BY[119].

Fig. 15.  (Color online) Experimental setup for Hong-Ou-Mandel interference with photons from separated and frequency stabilized quantum dots. A grating-based spectrum filter (SF) is used to filter the Ti: Sapphire excitation laser for resonant excitation of the biexciton state. The QDs containing membranes are placed on piezoelectric actuators in the 4 K environment and covered with a solid immersion lens (SIL) to enhance the brightness. The emitted photons from QD1 and QD2 are sent to a frequency discrimination setup. Parts of the photon streams from both QDs are sent to the Faraday filter setup via the half-wave plate (HWP) and the polarizing beam splitter. The faraday filter setup consists of a heated rubidium vapor cell in a longitudinal magnetic field and two crossed polarizers in front and behind the cell. Photons are then detected by single-photon counting modules 1 and 2 (SPCM1 and SPCM2). The estimated photon rates are used by a digital PI controller to apply feedback on the voltage applied to the piezoelectric actuators. Thereby the interference visibility is stabilized in the subsequent Hong-Ou-Mandel experiment. Reprinted figure with permission from Ref. [78]. Copyright (2019) by the American Physical Society.

Fig. 16.  (Color online) (a) Emission spectrum of QD1 and QD2. Two-photon resonant π pulse excitation is used and the two XX photon emissions are tuned into resonance with the rubidium D1 transitions. (b) Faraday filter transmission for a weak and narrow-band laser (black solid line) and frequency-tuned QD2 (red line). The convolution of the laser transmission and QD2 emission profile is used to model the QD transmission (black dash line). The setpoint for frequency feedback is highlighted. Reprinted figure with permission from Ref. [78]. Copyright 2019, the American Physical Society.

Fig. 17.  (Color online) Frequency feedback for stable Hong-Ou-Mandel interference. (a) Emission wavelength drifts over time for the frequency stabilized (red line) and free-running mode (blue line). (b) Estimated Hong-Ou-Mandel interference visibility over time, imagining frequency drifts as determined in (a). The red line (blue dash line) shows the estimated visibility with (without) frequency feedback. The blue solid line represents the free-running mode of the QD emission with an integration time as used in the experiment. (c) Second-order correlation measurement after Hong-Ou-Mandel interference at a beam splitter. The red (black) coincidences are obtained for parallel (orthogonal) XX photon polarizations at the beam splitter. (d) Hong-Ou-Mandel interference visibility over time with (red) and without (blue) frequency feedback. The visibility for stabilized emission is always higher than for the free-running mode. The shaded areas represent the uncertainty of visibility based on Poissonian counting statistics. Reprinted figure with permission from Ref. [78]. Copyright 2019, the American Physical Society.

[1]
Briegel H J, Dür W, Cirac J I, et al. Quantum repeaters: The role of imperfect local operations in quantum communication. Phys Rev Lett, 1998, 81(26), 5932 doi: 10.1103/PhysRevLett.81.5932
[2]
Simon C, de Riedmatten H, Afzelius M, et al. Quantum repeaters with photon pair sources and multimode memories. Phys Rev Lett, 2007, 98(19), 190503 doi: 10.1103/PhysRevLett.98.190503
[3]
Sangouard N, Simon C, de Riedmatten H, et al. Quantum repeaters based on atomic ensembles and linear optics. Rev Mod Phys, 2011, 83(1), 33 doi: 10.1103/RevModPhys.83.33
[4]
Kok P, Munro W J, Nemoto K, et al. Linear optical quantum computing with photonic qubits. Rev Mod Phys, 2007, 79(1), 135 doi: 10.1103/RevModPhys.79.135
[5]
Knill E, Laflamme R, Milburn G J. A scheme for efficient quantum computation with linear optics. Nature, 2001, 409(6816), 46 doi: 10.1038/35051009
[6]
Gisin N, Ribordy G, Tittel W, et al. Quantum cryptography. Rev Mod Phys, 2002, 74(1), 145 doi: 10.1103/RevModPhys.74.145
[7]
Ekert A K. Quantum cryptography based on Bell’s theorem. Phys Rev Lett, 1991, 67(6), 661 doi: 10.1103/PhysRevLett.67.661
[8]
Dowling J P, Seshadreesan K P. Quantum optical technologies for metrology, sensing, and imaging. J Lightwave Technol, 2015, 33(12), 2359 doi: 10.1109/JLT.2014.2386795
[9]
Giovannetti V, Lloyd S, Maccone L. Quantum metrology. Phys Rev Lett, 2006, 96(1), 010401 doi: 10.1103/PhysRevLett.96.010401
[10]
Afek I, Ambar O, Silberberg Y. High-NOON states by mixing quantum and classical light. Science, 2010, 328(5980), 879 doi: 10.1126/science.1188172
[11]
Schumacher B. Quantum coding. Phys Rev A, 1995, 51(4), 2738 doi: 10.1103/PhysRevA.51.2738
[12]
Bennett C H, Brassard G, Popescu S, et al. Purification of noisy entanglement and faithful teleportation via noisy channels. Phys Rev Lett, 1996, 76(5), 722 doi: 10.1103/PhysRevLett.76.722
[13]
Deutsch D, Ekert A, Jozsa R, et al. Quantum privacy amplification and the security of quantum cryptography over noisy channels. Phys Rev Lett, 1996, 77(1), 2818 doi: 10.1103/PhysRevLett.77.2818
[14]
Burnham D C, Weinberg D L. Observation of simultaneity in parametric production of optical photon pairs. Phys Rev Lett, 1970, 25(2), 84 doi: 10.1103/PhysRevLett.25.84
[15]
Shih Y H, Alley C O. New type of Einstein-Podolsky-Rosen-Bohm experiment using pairs of light quanta produced by optical parametric down conversion. Phys Rev Lett, 1988, 61(26), 2921 doi: 10.1103/PhysRevLett.61.2921
[16]
Kwiat P G, Mattle K, Weinfurter H, et al. New high-intensity source of polarization-entangled photon pairs. Phys Rev Lett, 1995, 75(24), 4337 doi: 10.1103/PhysRevLett.75.4337
[17]
Bennett C H, Brassard G, Crépeau C, et al. Teleporting an unknown quantum state via dual classical and Einstein-Podolsky-Rosen channels. Phys Rev Lett, 1993, 70(13), 1895 doi: 10.1103/PhysRevLett.70.1895
[18]
Vaidman L. Teleportation of quantum states. Phys Rev A, 1994, 49(2), 1473 doi: 10.1103/PhysRevA.49.1473
[19]
Bouwmeester D, Pan J W, Mattle K, et al. Experimental quantum teleportation. Nature, 1997, 390(6660), 575 doi: 10.1038/37539
[20]
Boschi D, Branca S, De Martini F, et al. Experimental realization of teleporting an unknown pure quantum state via dual classical and Einstein-Podolsky-Rosen channels. Phys Rev Lett, 1998, 80(6), 1121 doi: 10.1103/PhysRevLett.80.1121
[21]
Nilsson J, Stevenson R M, Chan M H A, et al. Quantum teleportation using a light-emitting diode. Nat Photonics, 2013, 7(4), 311 doi: 10.1038/nphoton.2013.10
[22]
Huwer J, Stevenson R M, Skiba-Szymanska J, et al. Quantum-dot-based telecommunication-wavelength quantum relay. Phys Rev Appl, 2017, 8(2), 1 doi: 10.1103/PhysRevApplied.8.024007
[23]
Żukowski M, Zeilinger A, Horne M A, et al. " Event-ready-detectors” bell experiment via entanglement swapping. Phys Rev Lett, 1993, 71(26), 4287 doi: 10.1103/PhysRevLett.71.4287
[24]
Pan J W, Bouwmeester D, Weinfurter H, et al. Experimental entanglement swapping: entangling photons that never interacted. Phys Rev Lett, 1998, 80(18), 3891 doi: 10.1103/PhysRevLett.80.3891
[25]
Sun Q C, Mao Y L, Jiang Y F, et al. Entanglement swapping with independent sources over an optical-fiber network. Phys Rev A, 2017, 95(3), 32306 doi: 10.1103/PhysRevA.95.032306
[26]
Zhang Y, Agnew M, Roger T, et al. Simultaneous entanglement swapping of multiple orbital angular momentum states of light. Nat Commun, 2017, 8(1), 1 doi: 10.1038/s41467-016-0009-6
[27]
Pan J W, Simon C, Brukner Č, et al. Entanglement purification for quantum communication. Nature, 2001, 410(6832), 1067 doi: 10.1038/35074041
[28]
Bouwmeester D, Pan J W, Bongaerts M, et al. Observation of three-photon greenberger-horne-zeilinger entanglement. Phys Rev Lett, 1999, 82(7), 1345 doi: 10.1103/PhysRevLett.82.1345
[29]
Zhang C, Huang Y F, Liu B H, et al. Experimental generation of a high-fidelity four-photon linear cluster state. Phys Rev A, 2016, 93(6), 062329 doi: 10.1103/PhysRevA.93.062329
[30]
Pan J W, Daniell M, Gasparoni S, et al. Experimental demonstration of four-photon entanglement and high-fidelity teleportation. Phys Rev Lett, 2001, 86(20), 4435 doi: 10.1103/PhysRevLett.86.4435
[31]
Lu C Y, Zhou X Q, Gühne O, et al. Experimental entanglement of six photons in graph states. Nat Phys, 2007, 3(2), 91 doi: 10.1038/nphys507
[32]
Michler P, Kiraz A, Becher C, et al. A quantum dot single-photon turnstile device. Science, 2000, 290(5500), 2282 doi: 10.1126/science.290.5500.2282
[33]
Michler P, Imamoğlu A, Mason M D, et al. Quantum correlation among photons from a single quantum dot at room temperature. Nature, 2000, 406(6799), 968 doi: 10.1038/35023100
[34]
Radnaev A G, Dudin Y O, Zhao R, et al. A quantum memory with telecom-wavelength conversion. Nat Phys, 2010, 6(11), 894 doi: 10.1038/nphys1773
[35]
Chanelière T, Matsukevich D N, Jenkins S D, et al. Quantum telecommunication based on atomic cascade transitions. Phys Rev Lett, 2006, 96(9), 093604 doi: 10.1103/PhysRevLett.96.093604
[36]
Stevenson R M, Young R J, Atkinson P, et al. A semiconductor source of triggered entangled photon pairs. Nature, 2006, 439(7073), 179 doi: 10.1038/nature04446
[37]
Bennett A J, Pooley M A, Stevenson R M, et al. Electric-field-induced coherent coupling of the exciton states in a single quantum dot. Nat Phys, 2010, 6(12), 947 doi: 10.1038/nphys1780
[38]
Salter C L, Stevenson R M, Farrer I, et al. An entangled-light-emitting diode. Nature, 2010, 465(7298), 594 doi: 10.1038/nature09078
[39]
Chen Y, Zhang J, Zopf M, et al. Wavelength-tunable entangled photons from silicon-integrated III–V quantum dots. Nat Commun, 2016, 7, 10387 doi: 10.1038/ncomms10387
[40]
Harris N C, Grassani D, Simbula A, et al. Integrated source of spectrally filtered correlated photons for large-scale quantum photonic systems. Phys Rev X, 2014, 4(4), 041047 doi: 10.1103/PhysRevX.4.041047
[41]
Zopf M, Keil R, Chen Y, et al. Entanglement swapping with semiconductor-generated photons. Phys Rev Lett, 2001, 9, 123 doi: 10.1103/PhysRevLett.123.160502
[42]
Rogers L J, Jahnke K D, Teraji T, et al. Multiple intrinsically identical single-photon emitters in the solid state. Nat Commun, 2014, 5(1), 4379 doi: 10.1038/ncomms5739
[43]
Morfa A J, Gibson B C, Karg M, et al. Single-photon emission and quantum characterization of zinc oxide defects. Nano Lett, 2012, 12(2), 949 doi: 10.1021/nl204010e
[44]
Kurtsiefer C, Mayer S, Zarda P, et al. Stable solid-state source of single photons. Phys Rev Lett, 2000, 85(2), 290 doi: 10.1103/physrevlett.85.290
[45]
Simpson D A, Ampem-Lassen E, Gibson B C, et al. A highly efficient two level diamond based single photon source. App Phys Lett, 2009, 94(20), 203107 doi: 10.1063/1.3141450
[46]
Aharonovich I, Englund D, Toth M. Solid-state single-photon emitters. Nat Photon, 2016, 10(10), 631 doi: 10.1038/nphoton.2016.186
[47]
Boyd R W, Lukishova S G, Zadkov V N. Quantum photonics: pioneering advances and emerging applications. Springer, 2019
[48]
Michler P. Single semiconductor quantum dots. Berlin Heidelberg: Springer-Verlag, 2009
[49]
Dupertuis M A, Karlsson K F, Oberli D Y, et al. Symmetries and the polarized optical spectra of exciton complexes in quantum dots. Phys Rev Lett, 2011, 107(12), 127403 doi: 10.1103/PhysRevLett.107.127403
[50]
Bayer M, Ortner G, Stern O, et al. Fine structure of neutral and charged excitons in self-assembled In(Ga)As/(Al)GaAs quantum dots. Phys Rev B, 2002, 65(19), 195315 doi: 10.1103/PhysRevB.65.195315
[51]
Stevenson R M, Hudson A J, Bennett A J, et al. Evolution of entanglement between distinguishable light states. Phys Rev Lett, 2008, 101(17), 170501 doi: 10.1103/PhysRevLett.101.170501
[52]
Trotta R, Wildmann J S, Zallo E, et al. Highly entangled photons from hybrid piezoelectric-semiconductor quantum dot devices. Nano Lett, 2014, 14(6), 3439 doi: 10.1021/nl500968k
[53]
Hudson A J, Stevenson R M, Bennett A J, et al. Coherence of an entangled exciton-photon state. Phys Rev Lett, 2007, 99(26), 266802 doi: 10.1103/PhysRevLett.99.266802
[54]
Keil R, Zopf M, Chen Y, et al. Solid-state ensemble of highly entangled photon sources at rubidium atomic transitions. Nat Commun, 2017, 8, 15501 doi: 10.1038/ncomms15501
[55]
Kiravittaya S, Lee H S, Balet L, et al. Tuning optical modes in slab photonic crystal by atomic layer deposition and laser-assisted oxidation. J Appl Phys, 2011, 109(5), 053115 doi: 10.1063/1.3559269
[56]
Ellis D J P, Stevenson R M, Young R J, et al. Control of fine-structure splitting of individual InAs quantum dots by rapid thermal annealing. Appl Phys Lett, 2007, 90(1), 011907 doi: 10.1063/1.2430489
[57]
Pooley M A, Bennett A J, Stevenson R M, et al. Energy-tunable quantum dot with minimal fine structure created by using simultaneous electric and magnetic fields. Phys Rev Appl, 2014, 1(2), 024002 doi: 10.1103/PhysRevApplied.1.024002
[58]
Ghali M, Ohtani K, Ohno Y, et al. Generation and control of polarization-entangled photons from GaAs island quantum dots by an electric field. Nat Commun, 2012, 3, 661 doi: 10.1038/ncomms1657
[59]
Muller A, Fang W, Lawall J, et al. Creating polarization-entangled photon pairs from a semiconductor quantum dot using the optical stark effect. Phys Rev Lett, 2009, 103(21), 217402 doi: 10.1103/PhysRevLett.103.217402
[60]
Ding F, Singh R, Plumhof J D, et al. Tuning the exciton binding energies in single self-assembled InGaAs/GaAs quantum dots by piezoelectric-induced biaxial stress. Phys Rev Lett, 2010, 104(6), 2 doi: 10.1103/PhysRevLett.104.067405
[61]
Zhang J, Ding F, Zallo E, et al. A nanomembrane-based wavelength-tunable high-speed single-photon-emitting diode. Nano Lett, 2013, 13(12), 5808 doi: 10.1021/nl402307q
[62]
Zhang J, Zallo E, Höfer B, et al. Electric-field-induced energy tuning of on-demand entangled-photon emission from self-assembled quantum dots. Nano Lett, 2017, 17(1), 501 doi: 10.1021/acs.nanolett.6b04539
[63]
Zhang J, Huo Y, Ding F, et al. Energy-tunable single-photon light-emitting diode by strain fields. Appl Phys B, 2016, 122(1), 1 doi: 10.1007/s00340-015-6287-6
[64]
Höfer B, Zhang J, Wildmann J, et al. Independent tuning of excitonic emission energy and decay time in single semiconductor quantum dots. Appl Phys Lett, 2017, 110(15), 151102 doi: 10.1063/1.4979481
[65]
Zhang J, Wildmann J S, Ding F, et al. High yield and ultrafast sources of electrically triggered entangled-photon pairs based on strain-tunable quantum dots. Nat Commun, 2015, 6, 10067 doi: 10.1038/ncomms10067
[66]
Huo Y H, Witek B J, Kumar S, et al. A light-hole exciton in a quantum dot. Nat Phys, 2013, 10(1), 46 doi: 10.1038/nphys2799
[67]
Zhang J, Huo Y, Rastelli A, et al. Single photons on-demand from light-hole excitons in strain-engineered quantum dots. Nano Lett, 2015, 15(1), 422 doi: 10.1021/nl5037512
[68]
Wang J, Gong M, Guo G C, et al. Towards scalable entangled photon sources with self-assembled InAs/GaAs quantum dots. Phys Rev Lett, 2015, 115(6), 067401 doi: 10.1103/PhysRevLett.115.067401
[69]
Trotta R, Martín-Sánchez J, Daruka I, et al. Energy-tunable sources of entangled photons: a viable concept for solid-state-based quantum relays. Phys Rev Lett, 2015, 114(15), 150502 doi: 10.1103/PhysRevLett.114.150502
[70]
Chen Y, Zadeh I E, Jöns K D, et al. Controlling the exciton energy of a nanowire quantum dot by strain fields. Appl Phys Lett, 2016, 108(18), 182103 doi: 10.1063/1.4948762
[71]
Versteegh M A M, Reimer M E, Jöns K D, et al. Observation of strongly entangled photon pairs from a nanowire quantum dot. Nat Commun, 2014, 5, 5298 doi: 10.1038/ncomms6298
[72]
Bulgarini G, Reimer M E, Bavinck M B, et al. Nanowire waveguides launching single photons in a Gaussian mode for ideal fiber coupling. Nano Lett, 2014, 14, 1428 doi: 10.1021/nl501648f
[73]
Davanço M, Rakher M T, Schuh D, et al. A circular dielectric grating for vertical extraction of single quantum dot emission. Appl Phys Lett, 2011, 99(4), 041102 doi: 10.1063/1.3615051
[74]
Liu J, Su R, Wei Y, et al. A solid-state source of strongly entangled photon pairs with high brightness and indistinguishability. Nat Nanotechnol, 2019, 14(6), 586 doi: 10.1038/s41565-019-0435-9
[75]
Wang H, Hu H, Chung T H, et al. On-demand semiconductor source of entangled photons which simultaneously has high fidelity, efficiency, and indistinguishability. Phys Rev Lett, 2019, 122(11), 113602 doi: 10.1103/PhysRevLett.122.113602
[76]
Moczała-Dusanowska M, Dusanowski Ł, Gerhardt S, et al. Strain-tunable single-photon source based on a quantum dot–micropillar system. ACS Photonics, 2019, 6(8), 2025 doi: 10.1021/acsphotonics.9b00481
[77]
Jung H, Gweon D G. Creep characteristics of piezoelectric actuators. Rev Sci Instrum, 2000, 71(4), 1896 doi: 10.1063/1.1150559
[78]
Zopf M, Macha T, Keil R, et al. Frequency feedback for two-photon interference from separate quantum dots. Phys Rev B, 2018, 98(16), 161302 doi: 10.1103/PhysRevB.98.161302
[79]
Chuang S L. Physics of photonic devices. Hoboken, NJ: Wiley, 2009
[80]
Pikus G E. Effect of deformation on the hole energy spectrum of germanium and silicon. Sov Phys-Solid State, 1960, 11502
[81]
Bir G L, Pikus G E. Symmetry and strain-induced effects in semiconductors. New York: Wiley, 1974
[82]
Trotta R, Atkinson P, Plumhof J D, et al. Nanomembrane quantum-light-emitting diodes integrated onto piezoelectric actuators. Adv Mater, 2012, 24(20), 2668 doi: 10.1002/adma.201200537
[83]
Kumar S, Trotta R, Zallo E, et al. Strain-induced tuning of the emission wavelength of high quality GaAs/AlGaAs quantum dots in the spectral range of the 87Rb D2 lines. Appl Phys Lett, 2011, 99(16), 161118 doi: 10.1063/1.3653804
[84]
Plumhof J D, Trotta R, Křápek V, et al. Tuning of the valence band mixing of excitons confined in GaAs/AlGaAs quantum dots via piezoelectric-induced anisotropic strain. Phys Rev B, 2013, 87(7), 075311 doi: 10.1103/PhysRevB.87.075311
[85]
Benson O, Santori C, Pelton M, et al. Regulated and entangled photons from a single quantum dot. Phys Rev Lett, 2000, 84(11), 2513 doi: 10.1103/PhysRevLett.84.2513
[86]
Ward M B, Dean M C, Stevenson R M, et al. Coherent dynamics of a telecom-wavelength entangled photon source. Nat Commun, 2014, 5(1), 3316 doi: 10.1038/ncomms4316
[87]
Santori C, Fattal D, Pelton M, et al. Polarization-correlated photon pairs from a single quantum dot. Phys Rev B, 2002, 66(4), 045308 doi: 10.1103/PhysRevB.66.045308
[88]
Stevenson R M, Thompson R M, Shields A J, et al. Quantum dots as a photon source for passive quantum key encoding. Phys Rev B, 2002, 66(8), 081302 doi: 10.1103/PhysRevB.66.081302
[89]
Bester G. Electronic excitations in nanostructures: an empirical pseudopotential based approach. J Phys: Condens Matter, 2008, 21(2), 023202 doi: 10.1088/0953-8984/21/2/023202
[90]
Ding F, Ji H, Chen Y, et al. Stretchable graphene: a close look at fundamental parameters through biaxial straining. Nano Lett, 2010, 10(9), 3453 doi: 10.1021/nl101533x
[91]
Zallo E, Trotta R, Křápek V, et al. Strain-induced active tuning of the coherent tunneling in quantum dot molecules. Phys Rev B, 2014, 89(24), 241303 doi: 10.1103/PhysRevB.89.241303
[92]
Meesala S, Sohn Y I, Pingault B, et al. Strain engineering of the silicon-vacancy center in diamond. Phys Rev B, 2018, 97(20), 205444 doi: 10.1103/PhysRevB.97.205444
[93]
Kiršanskė G, Thyrrestrup H, Daveau R S, et al. Indistinguishable and efficient single photons from a quantum dot in a planar nanobeam waveguide. Phys Rev B, 2017, 96(16), 165306 doi: 10.1103/PhysRevB.96.165306
[94]
Lodahl P. Quantum-dot based photonic quantum networks. Quantum Sci Technol, 2017, 3(1), 013001 doi: 10.1088/2058-9565/aa91bb
[95]
Daveau R S, Balram K C, Pregnolato T, et al. Efficient fiber-coupled single-photon source based on quantum dots in a photonic-crystal waveguide. Optica, 2017, 4(2), 178 doi: 10.1364/OPTICA.4.000178
[96]
Pan J W, Gasparoni S, Ursin R. Experimental entanglement purification of arbitrary unknown states. Nature, 2003, 423, 417 doi: 10.1038/nature01623
[97]
Chen L K, Yong H L, Xu P, et al. Experimental nested purification for a linear optical quantum repeater. Nat Photon, 2017, 11(11), 695 doi: 10.1038/s41566-017-0010-6
[98]
Sheng Y B, Zhou L, Long G L. Hybrid entanglement purification for quantum repeaters. Phys Rev A, 2013, 88(2), 022302 doi: 10.1103/PhysRevA.88.022302
[99]
de Riedmatten H, Marcikic I, Tittel W, et al. Long distance quantum teleportation in a quantum relay configuration. Phys Rev Lett, 2004, 92(4), 047904 doi: 10.1103/PhysRevLett.92.047904
[100]
Bennett A J, Unitt D C, See P, et al. Electrical control of the uncertainty in the time of single photon emission events. Phys Rev B, 2005, 72(3), 033316 doi: 10.1103/PhysRevB.72.033316
[101]
Reischle M, Kessler C, Schulz W M, et al. Triggered single-photon emission from electrically excited quantum dots in the red spectral range. Appl Phys Lett, 2010, 97(14), 143513 doi: 10.1063/1.3497016
[102]
Hargart F, Kessler C A, Schwarzbäck T, et al. Electrically driven quantum dot single-photon source at 2 GHz excitation repetition rate with ultra-low emission time jitter. Appl Phys Lett, 2013, 102(1), 011126 doi: 10.1063/1.4774392
[103]
Troncale V, Karlsson K F, Pelucchi E, et al. Control of valence band states in pyramidal quantum dot-in-dot semiconductor heterostructures. Appl Phys Lett, 2007, 91(24), 241909 doi: 10.1063/1.2820693
[104]
Karlsson K F, Dupertuis M A, Oberli D Y, et al. Fine structure of exciton complexes in high-symmetry quantum dots: Effects of symmetry breaking and symmetry elevation. Phys Rev B, 2010, 81(16), 161307 doi: 10.1103/PhysRevB.81.161307
[105]
Vrijen R, Yablonovitch E. A spin-coherent semiconductor photo-detector for quantum communication. Physica E, 2001, 10(4), 569 doi: 10.1016/S1386-9477(00)00296-4
[106]
Sleiter D, Brinkman W F. Using holes in GaAs as qubits: An estimate of the Rabi frequency in the presence of an external RF field. Phys Rev B, 2006, 74(15), 153312 doi: 10.1103/PhysRevB.74.153312
[107]
Kosaka H, Inagaki T, Rikitake Y, et al. Spin state tomography of optically injected electrons in a semiconductor. Nature, 2009, 457(7230), 702 doi: 10.1038/nature07729
[108]
L Besombes L, K Kheng K, Martrou D. Exciton and biexciton fine structure in single elongated islands grown on a vicinal surface. Phys Rev Lett, 2000, 85(2), 425 doi: 10.1103/PhysRevLett.85.425
[109]
Belhadj T, Amand T, Kunold A, et al. Impact of heavy hole-light hole coupling on optical selection rules in GaAs quantum dots. Appl Phys Lett, 2010, 97(5), 051111 doi: 10.1063/1.3473824
[110]
Zhou W, Shen H, Pamulapati J, et al. Heavy- and light-hole band crossing in a variable-strain quantum-well heterostructure. Phys Rev B, 1995, 51(8), 5461 doi: 10.1103/PhysRevB.51.5461
[111]
Zhou W, Shen H, J Pamulapati J, et al. Simultaneous blue- and red-shift of light-hole and heavy-hole band in a novel variable-strain quantum well heterostructure. Appl Phys Lett, 1995, 66(5), 607 doi: 10.1063/1.114028
[112]
Huo Y H, Rastelli A, Schmidt O G. Ultra-small excitonic fine structure splitting in highly symmetric quantum dots on GaAs (001) substrate. Appl Phys Lett, 2013, 102(15), 152105 doi: 10.1063/1.4802088
[113]
Witek B J, Heeres R W, Perinetti U, et al. Measurement of the g-factor tensor in a quantum dot and disentanglement of exciton spins. Phys Rev B, 2011, 84(19), 195305 doi: 10.1103/PhysRevB.84.195305
[114]
Wang X L, Chen L K, W Li W, et al. Experimental ten-photon entanglement. Phys Rev Lett, 2016, 117(21), 210502 doi: 10.1103/PhysRevLett.117.210502
[115]
Scarani V, de Riedmatten H, Marcikic I, et al. Four-photon correction in two-photon Bell experiments. Eur Phys J D, 2005, 32(1), 129 doi: 10.1140/epjd/e2004-00170-7
[116]
Seidl S, Högele A, Kroner M, et al. Tuning the cross-gap transition energy of a quantum dot by uniaxial stress. Physica E, 2006, 32(1), 14 doi: 10.1016/j.physe.2005.12.069
[117]
Bryant G W, Zieliński M, N Malkova N, et al. Effect of mechanical strain on the optical properties of quantum dots: controlling exciton shape, orientation, and phase with a mechanical strain. Phys Rev Lett, 2010, 105(6), 067404 doi: 10.1103/PhysRevLett.105.067404
[118]
Michler P. Quantum dots for quantum information technologies. Springer International Publishing, 2017
[119]
Creative Commons Attribution 4.0 International License. http://creativecommons.org/licenses/by/4.0/.
[120]
Gong M, Zhang W, Guo G C, et al. Exciton polarization, fine-structure splitting, and the asymmetry of quantum dots under uniaxial stress. Phys Rev Lett, 2011, 106(22), 227401 doi: 10.1103/PhysRevLett.106.227401
[121]
Singh R, Bester G. Lower bound for the excitonic fine structure splitting in self-assembled quantum dots. Phys Rev Lett, 2010, 104(19), 196803 doi: 10.1103/PhysRevLett.104.196803
[122]
Müller M, Bounouar S, Jöns K D, et al. On-demand generation of indistinguishable polarization-entangled photon pairs. Nat Photonics, 2014, 8(3), 224 doi: 10.1038/nphoton.2013.377
[123]
Altepeter J B, Jeffrey E R, Kwiat P G. Photonic state tomography. Adv Atom, Mol, Opt Phys, 2015, 52, 105 doi: 10.1016/S1049-250X(05)52003-2
[124]
James D F V, Kwiat P G, Munro W J, et al. Measurement of qubits. Phys Rev A, 2001, 64(5), 052312 doi: 10.1103/PhysRevA.64.052312
[125]
Dousse A, Suffczyński J, Beveratos A, et al. Ultrabright source of entangled photon pairs. Nature, 2010, 466(7303), 217 doi: 10.1038/nature09148
[126]
Chen Y, Zopf M, Keil R, et al. Highly-efficient extraction of entangled photons from quantum dots using a broadband optical antenna. Nat Commun, 2018, 9(1), 1 doi: 10.1038/s41467-017-02088-w
[127]
Kuhn A, Hennrich M, Rempe G. Deterministic single-photon source for distributed quantum networking. Phys Rev Lett, 2002, 89(6), 067901 doi: 10.1103/PhysRevLett.89.067901
[128]
Flagg E B, Muller A, Polyakov S V, et al. Interference of single photons from two separate semiconductor quantum dots. Phys Rev Lett, 2010, 104(13), 137401 doi: 10.1103/PhysRevLett.104.137401
[129]
Friedler I, Sauvan C, Hugonin J P, et al. Solid-state single photon sources: the nanowire antenna. Opt Express, 2009, 17(4), 2095 doi: 10.1364/OE.17.002095
[130]
Heindel T, Schneider C, Lermer M, et al. Electrically driven quantum dot-micropillar single photon source with 34% overall efficiency. Appl Phys Lett, 2010, 96(1), 011107 doi: 10.1063/1.3284514
[131]
Reimer M E, Bulgarini G, Akopian N, et al. Bright single-photon sources in bottom-up tailored nanowires. Nat Commun, 2012, 3, 737 doi: 10.1038/ncomms1746
[132]
Bulgarini G, D Dalacu D, P J Poole P J, et al. Far field emission profile of pure wurtzite InP nanowires. Appl Phys Lett, 2014, 105(19), 191113 doi: 10.1063/1.4901437
[133]
Gregersen N, Nielsen T R, Claudon J, et al. Controlling the emission profile of a nanowire with a conical taper. Opt Lett, OL, 2008, 33(15), 1693 doi: 10.1364/OL.33.001693
[134]
Dalacu D, Mnaymneh K, Lapointe J, et al. Ultraclean emission from InAsP quantum dots in defect-free wurtzite InP nanowires. Nano Lett, 2012, 12(11), 5919 doi: 10.1021/nl303327h
[135]
Reimer M E, Bulgarini G, Fognini A, et al. Overcoming power broadening of the quantum dot emission in a pure wurtzite nanowire. Phys Rev B, 2016, 93(19), 195316 doi: 10.1103/PhysRevB.93.195316
[136]
Signorello G, Karg S, Björk M T, et al. Tuning the light emission from GaAs nanowires over 290 meV with uniaxial strain. Nano Lett, 2013, 13(3), 917 doi: 10.1021/nl303694c
[137]
Kremer P E, Dada A C, Kumar P, et al. Strain-tunable quantum dot embedded in a nanowire antenna. Phys Rev B, 2014, 90(20), 201408 doi: 10.1103/PhysRevB.90.201408
[138]
A Politi A, Cryan M J, Rarity J G, et al. Silica-on-silicon waveguide quantum circuits. Science, 2008, 320(5876), 646 doi: 10.1126/science.1155441
[139]
Silverstone J W, Bonneau D, Ohira K, et al. On-chip quantum interference between silicon photon-pair sources. Nat Photonics, 2014, 8(2), 104 doi: 10.1038/nphoton.2013.339
[140]
Najafi N, Mower J, Harris N C, et al. On-chip detection of non-classical light by scalable integration of single-photon detectors. Nat Commun, 2015, 6, 5873 doi: 10.1038/ncomms6873
[141]
O’Brien J L, Furusawa A, Vučković J. Photonic quantum technologies. Nat Photonics, 2009, 3(12), 687 doi: 10.1038/nphoton.2009.229
[142]
Plumhof J D, Křápek V, Ding F, et al. Strain-induced anticrossing of bright exciton levels in single self-assembled GaAs/Al xGa1– xAs and In xGa1– xAs/GaAs quantum dots. Phys Rev B, 2011, 83(12), 121302 doi: 10.1103/PhysRevB.83.121302
[143]
Giesz V, Portalupi S L, Grange T, et al. Cavity-enhanced two-photon interference using remote quantum dot sources. Phys Rev B, 2015, 92(16), 161302 doi: 10.1103/PhysRevB.92.161302
[144]
Thoma A, Schnauber P, Böhm J, et al. Two-photon interference from remote deterministic quantum dot microlenses. Appl Phys Lett, 2017, 110(1), 011104 doi: 10.1063/1.4973504
[145]
Akopian N, Trotta R, Zallo E, et al. An artificial atom locked to natural atoms. ArXiv:13022005 [Cond-Mat, Physics:Physics, Physics:Quant-Ph], 2013
[146]
Prechtel J H, Kuhlmann A V, Houel J, et al. Frequency-stabilized source of single photons from a solid-state qubit. Phys Rev X, 2013, 3(4), 041006 doi: 10.1103/PhysRevX.3.041006
[147]
Metcalfe M, Muller A, Solomon G S, et al. Active feedback of a Fabry-Perot cavity to the emission of a single InAs/GaAs quantum dot. J Opt Soc Am B, 2009, 26(12), 2308 doi: 10.1364/JOSAB.26.002308
[148]
Brunner K, Abstreiter G, Böhm G, et al. Sharp-line photoluminescence and two-photon absorption of zero-dimensional biexcitons in a GaAs/AlGaAs structure. Phys Rev Lett, 1994, 73(8), 1138 doi: 10.1103/PhysRevLett.73.1138
[149]
Bylander J, Robert-Philip I, Abram I. Interference and correlation of two independent photons. Eur Phys J D, 2003, 22(2), 295 doi: 10.1140/epjd/e2002-00236-6
  • Search

    Advanced Search >>

    GET CITATION

    shu

    Export: BibTex EndNote

    Article Metrics

    Article views: 7140 Times PDF downloads: 204 Times Cited by: 0 Times

    History

    Received: 30 September 2019 Revised: Online: Accepted Manuscript: 13 November 2019Uncorrected proof: 15 November 2019Published: 02 January 2020

    Catalog

      Email This Article

      User name:
      Email:*请输入正确邮箱
      Code:*验证码错误
      Jingzhong Yang, Michael Zopf, Fei Ding. Strain tunable quantum dot based non-classical photon sources[J]. Journal of Semiconductors, 2020, 41(1): 011901. doi: 10.1088/1674-4926/41/1/011901 ****J Z Yang, M Zopf, F Ding, Strain tunable quantum dot based non-classical photon sources[J]. J. Semicond., 2020, 41(1): 011901. doi: 10.1088/1674-4926/41/1/011901.
      Citation:
      Jingzhong Yang, Michael Zopf, Fei Ding. Strain tunable quantum dot based non-classical photon sources[J]. Journal of Semiconductors, 2020, 41(1): 011901. doi: 10.1088/1674-4926/41/1/011901 ****
      J Z Yang, M Zopf, F Ding, Strain tunable quantum dot based non-classical photon sources[J]. J. Semicond., 2020, 41(1): 011901. doi: 10.1088/1674-4926/41/1/011901.

      Strain tunable quantum dot based non-classical photon sources

      DOI: 10.1088/1674-4926/41/1/011901
      More Information

      Catalog

        /

        DownLoad:  Full-Size Img  PowerPoint
        Return
        Return