| Citation: |
Junru Qu, Wentai Xia, Jifang Cao, Xueyang Li, Ran Cheng, Dong Liu, Bing Chen. Transport mechanism of oxide-based programmable diode[J]. Journal of Semiconductors, 2026, 47(4): 042101. doi: 10.1088/1674-4926/25090006
****
J R Qu, W T Xia, J F Cao, X Y Li, R Cheng, D Liu, and B Chen, Transport mechanism of oxide-based programmable diode[J]. J. Semicond., 2026, 47(4): 042101 doi: 10.1088/1674-4926/25090006
|
Transport mechanism of oxide-based programmable diode
DOI: 10.1088/1674-4926/25090006
CSTR: 32376.14.1674-4926.25090006
More Information-
Abstract
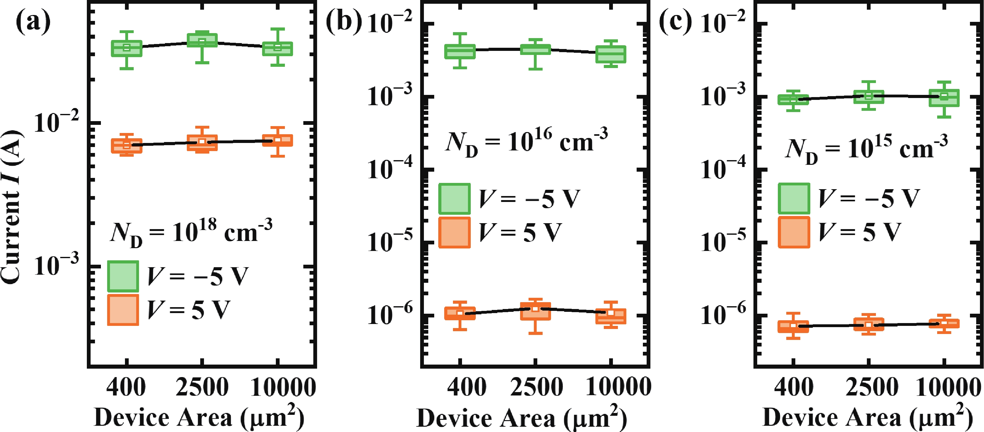
In this work, the oxide-based programmable diodes (PDs) with structure of TiN/HfO2/Si/Al are fabricated, and its electron transport mechanisms are investigated. Electrical measurements results depicted that the conduction and rectification performance of oxide-based PDs are mainly controlled by the interface between oxygen vacancies (VOs) consisted filament and semiconductor electrode. The local density of state in filament and band-bending of the PDs are calculated by first-principal simulation. The electron transport in oxide PDs is dominated by Poole−Frenkel emission under forward bias, while under negative bias, the PDs behave like a reverse Schottky-diode. These mechanisms research is necessary for device optimization and circuit design of oxide-based PDs.-
Keywords:
- diode,
- oxide,
- resistive switching
-
References
[1] Hickmott T W. Low-frequency negative resistance in thin anodic oxide films. J Appl Phys, 1962, 33(9): 2669 doi: 10.1063/1.1702530[2] Gibbons J F, Beadle W E. Switching properties of thin nio films. Solid State Electron, 1964, 7(11): 785 doi: 10.1016/0038-1101(64)90131-5[3] Beck A, Bednorz J G, Gerber C, et al. Reproducible switching effect in thin oxide films for memory applications. Appl Phys Lett, 2000, 77(1): 139 doi: 10.1063/1.126902[4] Watanabe Y, Bednorz J G, Bietsch A, et al. Current-driven insulator–conductor transition and nonvolatile memory in chromium-doped SrTiO3 single crystals. Appl Phys Lett, 2001, 78(23): 3738 doi: 10.1063/1.1377617[5] Waser R, Aono M. Nanoionics-based resistive switching memories. Nat Mater, 2007, 6(11): 833 doi: 10.1038/nmat2023[6] Strukov D B, Snider G S, Stewart D R, et al. The missing memristor found. Nature, 2008, 453(7191): 80 doi: 10.1038/nature06932[7] Borghetti J, Snider G S, Kuekes P J, et al. 'Memristive' switches enable 'stateful' logic operations via material implication. Nature, 2010, 464: 873 doi: 10.1038/nature08940[8] Chen B, Cai F X, Zhou J T, et al. Efficient in-memory computing architecture based on crossbar arrays. 2015 IEEE International Electron Devices Meeting (IEDM), 2015: 17.5.1 doi: 10.1109/IEDM.2015.7409720[9] Yao P, Wu H Q, Gao B, et al. Fully hardware-implemented memristor convolutional neural network. Nature, 2020, 577(7792): 641 doi: 10.1038/s41586-020-1942-4[10] Liu S Q, Wei S T, Yao P, et al. A 28 nm 576K rram-based computing-in-memory macro featuring hybrid programming with area efficiency of 2.82 TOPS/mm2. J Semicond, 2025, 46(6): 062304 doi: 10.1088/1674-4926/24100017[11] Feng Y, Sun Z H, Qi Y R, et al. Optimized operation scheme of flash-memory-based neural network online training with ultra-high endurance. J Semicond, 2024, 45(1): 012301 doi: 10.1088/1674-4926/45/1/012301[12] Tran X A, Zhu W G, Gao B, et al. A self-rectifying HfOx-based unipolar rram with NiSi electrode. IEEE Electron Device Lett, 2012, 33(4): 585 doi: 10.1109/LED.2011.2181971[13] Huang P, Chen S J, Zhao Y D, et al. Self-selection rram cell with Sub-μA switching current and robust reliability fabricated by high-K/metal gate CMOS compatible technology. 2016 IEEE Silicon Nanoelectronics Workshop (SNW), 2016: 38 doi: 10.1109/SNW.2016.7577974[14] Chen B, Zhang Y, Liu W, et al. Ge-based asymmetric rram enable 8F2 content addressable memory. IEEE Electron Device Lett, 2018, 39(9): 1294 doi: 10.1109/LED.2018.2856537[15] Cui X C, Liu D, Cao J F, et al. A high-density large-ratio fuse based oxide devices for one-time-programmable memory applications. 2022 IEEE International Conference on Integrated Circuits, Technologies and Applications (ICTA), 2022: 76 doi: 10.1109/ICTA56932.2022.9962988[16] Luo Q, Chen B, Cao R R, et al. Complementary memory cell based on field-programmable ferroelectric diode for ultra-low power current-SA free BNN applications. 2019 IEEE International Electron Devices Meeting (IEDM), 2019: 38.5.1 doi: 10.1109/IEDM19573.2019.8993545[17] Ye J B, Zhu J Y, Cao J F, et al. A novel parallel in-memory logic array based on programmable diodes. IEEE J Electron Devices Soc, 2024, 12: 738 doi: 10.1109/JEDS.2024.3457021[18] Janousch M, Meijer G I, Staub U, et al. Role of oxygen vacancies in Cr-doped SrTiO3 for resistance-change memory. Adv Mater, 2007, 19(17): 2232 doi: 10.1002/adma.200602915[19] Joshua Yang J, Pickett M D, Li X M, et al. Memristive switching mechanism for metal/oxide/metal nanodevices. Nat Nanotechnol, 2008, 3(7): 429 doi: 10.1038/nnano.2008.160[20] Wong H P, Lee H Y, Yu S M, et al. Metal–oxide rram. Proc IEEE, 2012, 100(6): 1951 doi: 10.1109/JPROC.2012.2190369[21] Perdew J P, Burke K, Ernzerhof M. Generalized gradient approximation made simple. Phys Rev Lett, 1996, 77(18): 3865 doi: 10.1103/PhysRevLett.77.3865[22] Duncan D, Magyari-Köpe B, Nishi Y. Hydrogen doping in HfO2 resistance change random access memory. Appl Phys Lett, 2016, 108(4): 043501 doi: 10.1063/1.4940369[23] Rudan M. Physics of semiconductor devices. New York, NY: Springer New York, 2015 doi: 10.1007/978-3-319-63154-7[24] Schroeder H. Poole-Frenkel-effect as dominating current mechanism in thin oxide films: An illusion? ! J Appl Phys, 2015, 117(21): 215103 doi: 10.1063/1.4921949[25] Wu E Y, Li B Z. The Schottky emission effect: A critical examination of a century-old model. J Appl Phys, 2022, 132(2): 025105 doi: 10.1063/5.0087909[26] Luo Q, Xu X, Gong T, Lv H, et al. 8-layers 3d vertical rram with excellent scalability towards storage class memory applications. 2017 IEEE International Electron Devices Meeting (IEDM), 2017: 2.7.1 doi: 10.1109/IEDM.2017.8268315 -
Proportional views



Junru Qu got his bachelor's degree in 2022 from Zhejiang University. Now he is a doctoral student at Zhejiang University under the supervision of Prof. Bing Chen and Prof. Ran Cheng. His research focuses on CMOS reliability and emerging nonvolatile memories.
Bing Chen (S'11–M'14) received the B.S. degree from Sichuan University, Chengdu, China, in 2008, and the Ph.D. degree from the Institute of Microelectronics, Peking University, Beijing, China, in 2014. He is currently a Professor with the Hangzhou Institute of Technology, Xidian University, Hangzhou 311231, China. His research interests mainly include emerging memories and computing-in-memory.
DownLoad:







