Significant progress has been achieved in the field of organic solar cells (OSCs). Most devices with power conversion efficiencies (PCEs) exceeding 20% rely predominantly on active materials that incorporate D18 or its derivatives as the donor. In contrast, the PCEs over 20% have been realized as well for OSCs with the non-D18-based donor materials by simultaneously optimizing material properties, active layer morphologies and interface engineering, thereby demonstrating the potential to outperform D18 counterparts. Therefore, this review summarizes an overview of recent advancements in OSCs with the PCEs over 20% utilizing the non-D18-based donor materials, and highlights three critical aspects including molecular design strategies, the active layer morphologies, and the interface optimization. Their synergistic roles are advantageous in enhancing the exciton dissociation, facilitating the charge transport, and suppressing the recombination losses, accordingly supporting the improved PCEs over 20%. Furthermore, the challenges and valuable insights are discussed, which can lead to improved efficiency, scalable fabrication, and enhanced environmental and thermal stability, potentially accelerating the commercialization of OSCs.
- • Uncorrected proofs: articles that have been copy edited and formatted, but have not been finalized yet. They still need to be proof-read and corrected by the author(s) and the text could still change before final publication.
- • Corrected proofs: articles that contain the authors' corrections. Final citation details, e.g. volume and/or issue number, publication year and page numbers, still need to be added and the text might change before final publication.
There are two types in Press articles:


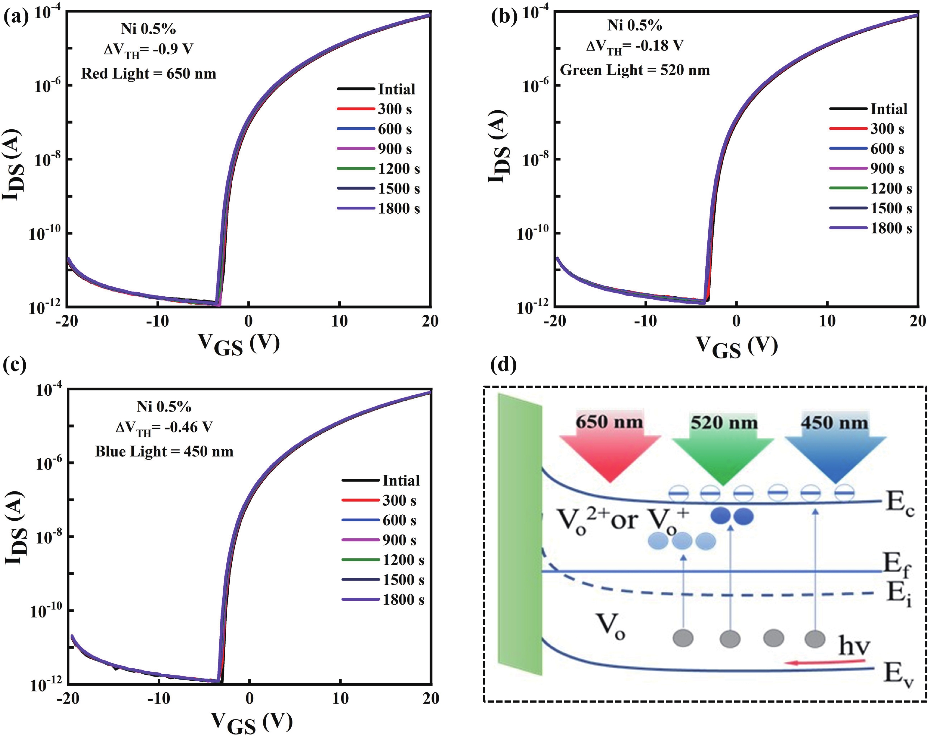
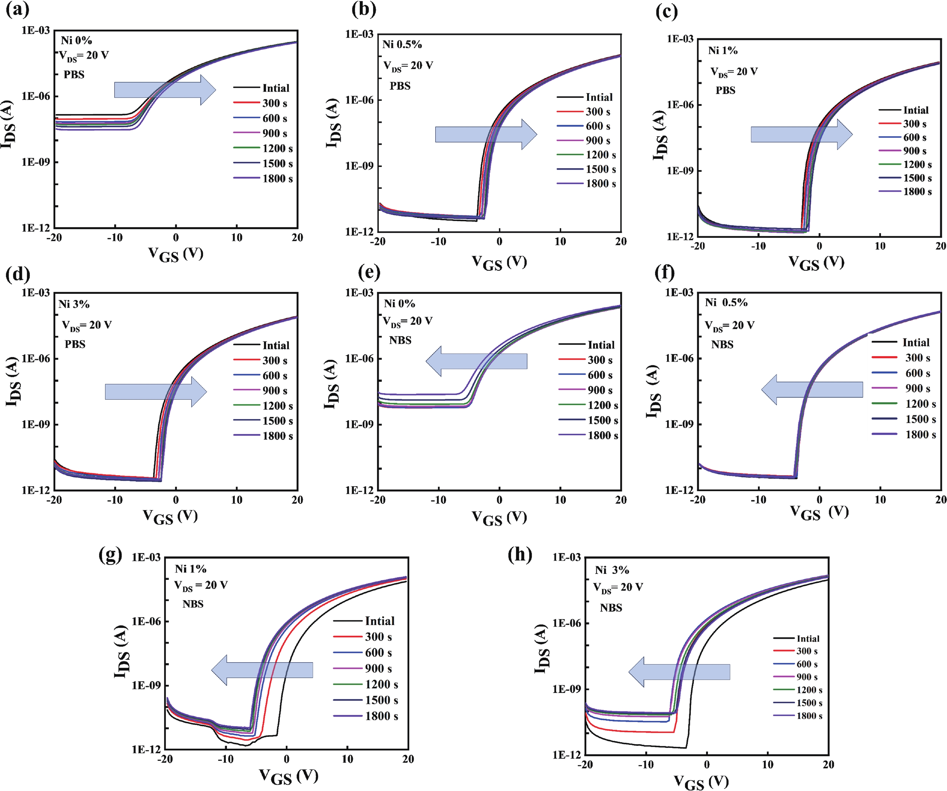
Doping in thin-film transistors (TFTs) plays a crucial role in tailoring material properties to enhance device performance, making them essential for advanced electronic applications. This study explores the synthesis and characterization of TFTs fabricated using nickel (Ni)-doped indium oxide (In2O3) via a wet-chemical approach. The presented work investigates the effect of "Ni" incorporation in In2O3 on the structural and electrical transport properties of In2O3, revealing that higher "Ni" content decreases the oxygen vacancies, leading to a reduction in leakage current and a forward shift in threshold potential (Vth). Experimental findings reveal that NiInO-based TFTs (with Ni = 0.5%) showcase enhanced electrical performance, achieving mobility of 7.54 cm2/(V∙s), an impressive ON/OFF current ratio of ~107, a Vth of 6.26 V, reduced interfacial trap states (Dit) of 8.23 × 1012 cm−2 and enhanced biased stress stability. The efficacy of "Ni" incorporation is attributed to the upgraded Lewis acidity, stable Ni−O bond strength, and small ionic radius of Ni. Negative bias illumination stability (NBIS) measurements further indicate that device stability diminishes with shorter light wavelengths, likely due to the activation of oxygen vacancies. These findings validate the solution-processed techniques' potential for future large-scale, low-cost, energy-efficient, and high-performance electronics.

Selectivity remains a significant challenge for gas sensors. In contrast to conventional gas sensors that depend solely on conductivity to detect gases, we exploited a single NiO-doped SnO2 sensor to simultaneously monitor transient changes in both sensor conductivity and temperature. The distinct response profiles of H2 and NH3 gases were attributed to differences in their redox rates and enthalpy changes during chemical reactions, which provided an opportunity for gas identification using machine learning (ML) algorithms. The test results indicate that preprocessing the extracted calorimetric and chemi-resistive parameters using the principal component analysis (PCA), followed by the application of ML classifiers for identification, enables a 100% accuracy for both target analytes. This work presents a facile gas identification method that enhances chip-level sensor applications while minimizing the need for complex sensor arrays.

β-Ga2O3 MOS inverter should play a crucial role in β-Ga2O3 electronic circuits. Enhancement-mode (E-mode) MOSFET was fabricated based on β-Ga2O3 film grown by atomic layer deposition technology, and the β-Ga2O3 inverter was further monolithically integrated on this basis. The β-Ga2O3 nMOSFET exhibits excellent electrical characteristics with an on/off current ratio reaching 105. The logic inverter shows outstanding voltage inversion characteristics under low-frequency from 1 to 400 Hz operation. As the frequency continues to increase to 10 K, the reverse characteristic becomes worse due to parasitic capacitance induced by processes, and the difference between the highest and lowest values of VOUT has an exponential decay relationship with the frequency. This paper provides the practice for the development of β-Ga2O3-based circuits.

The fabrication of a dynamic threshold-2T0C (DT-2T0C) DRAM cell incorporating a ZnO charge-trap layer in the write transistor has been successfully achieved, addressing the negative hold voltage (VHOLD) issue of conventional 2T0C DRAM cells using oxide channel layers. The proposed device facilitates dynamic modulation of turn-on voltage (VON) through an additional SET operation, allowing VON to shift above 0 V. The retention time in SET operation was extended to 104 s by optimizing the tunneling layer deposition conditions. The device characterization revealed a significant correlation between VON and both the WRITE speed and the retention properties of the DT-2T0C, verifying the trade-off between WRITE time and retention time. A long retention time over 1000 s was achieved, even under VHOLD of 0 V.

The interfacial properties of Schottky contacts crucially affect the performance of power devices. While a few studies have explored the impact of fluorine on Schottky contacts, a comprehensive theoretical explanation supported by experimental evidence remains lacking. This work investigates the effects of fluorine incorporation and electrothermal annealing (ETA) on the current transport process at Ni/β-Ga2O3 Schottky contacts. X-ray photoelectron spectroscopy and first-principles calculations confirm the presence of fluorine substitutions for oxygen and oxygen vacancies and their lowering effect on the Schottky barrier heights. Additionally, accurate electrothermal hybrid TCAD simulations validates the extremely short-duration high temperatures (683 K) induced by ETA, which facilitates lattice rearrangement and reduces interface trap states. The interface trap states are quantitatively resolved through frequency-dependent conductance technique, showing the trap density (DT) reduction from (0.88−2.48) × 1011 cm−2·eV−1 to (0.46−2.09) × 1011 cm−2·eV−1. This investigation offers critical insights into the β-Ga2O3 contacts with the collaborative treatment and solids the promotion of high-performance β-Ga2O3 power devices.

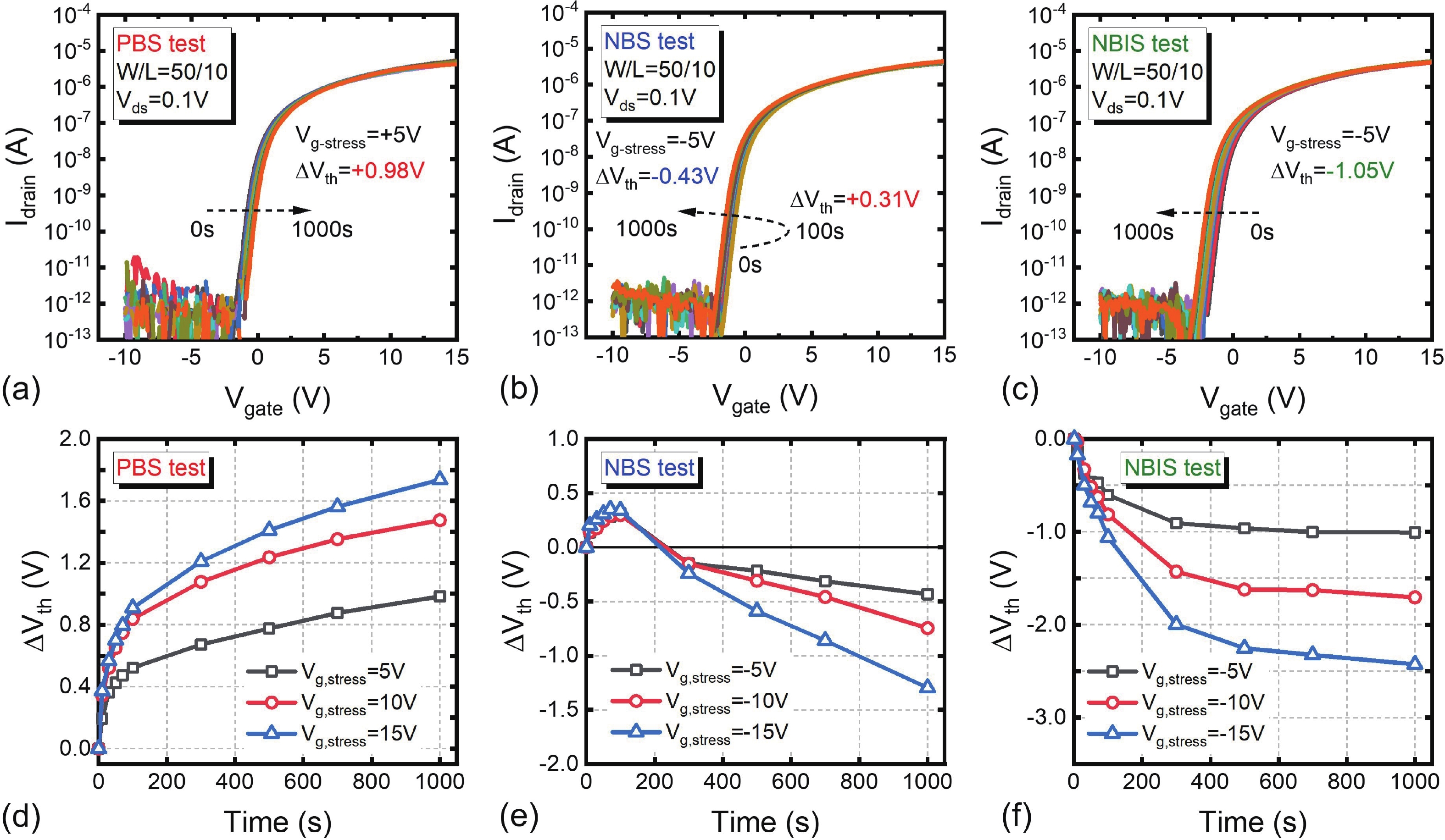
In this work, we demonstrated the InSnO (ITO) TFTs passivated with SiO2 via the PECVD process compatible with large-area production for the first time. The passivated ITO TFTs with various channel thicknesses (tch = 4, 5, 6 nm) exhibit excellent electrical performance and superior uniformity. The reliability properties of ITO TFTs were evaluated in detail under positive bias stress (PBS) conditions before and after passivation. Compared to the devices without passivation, the passivated devices have only 50% threshold voltage degradation (ΔVth) and 50% newly generated traps due to excellent isolation of the ambient atmosphere. The negligible performance degradation of ITO TFTs with passivation during negative bias stress (NBS) and negative bias temperature stress (NBTS) verifies the outstanding immunity to the water vapor of the SiO2 passivation layer. Overall, the ITO TFT with the tch of 6 nm and with SiO2 passivation exhibits the best performance in terms of electrical properties, uniformity, and reliability, which is promising in large-area production.

Soft X-ray detectors play a vital role in materials science, high-energy physics and medical imaging. Cs2AgBiBr6, a lead-free double perovskite, has gained attention for its excellent optoelectronic properties, stability, and nontoxicity. However, its fast crystallization and requirement for high-temperature annealing (>250 °C) often lead to inferior film quality, limiting its application in flexible devices. This study introduces an alloying strategy that significantly improves the quality of Cs2AgBiBr6 thin films annealed at a reduced temperature of 150 °C. Devices based on the alloyed thin films exhibit an ultra-low dark current of 0.32 nA∙cm−2 and a quantum efficiency of 725%. Furthermore, the first successful integration of Cs2AgBiBr6 with a thin-film transistor backplane demonstrates its superior imaging performance, indicating that Cs2AgBiBr6 is a promising material for next-generation soft X-ray sensors.

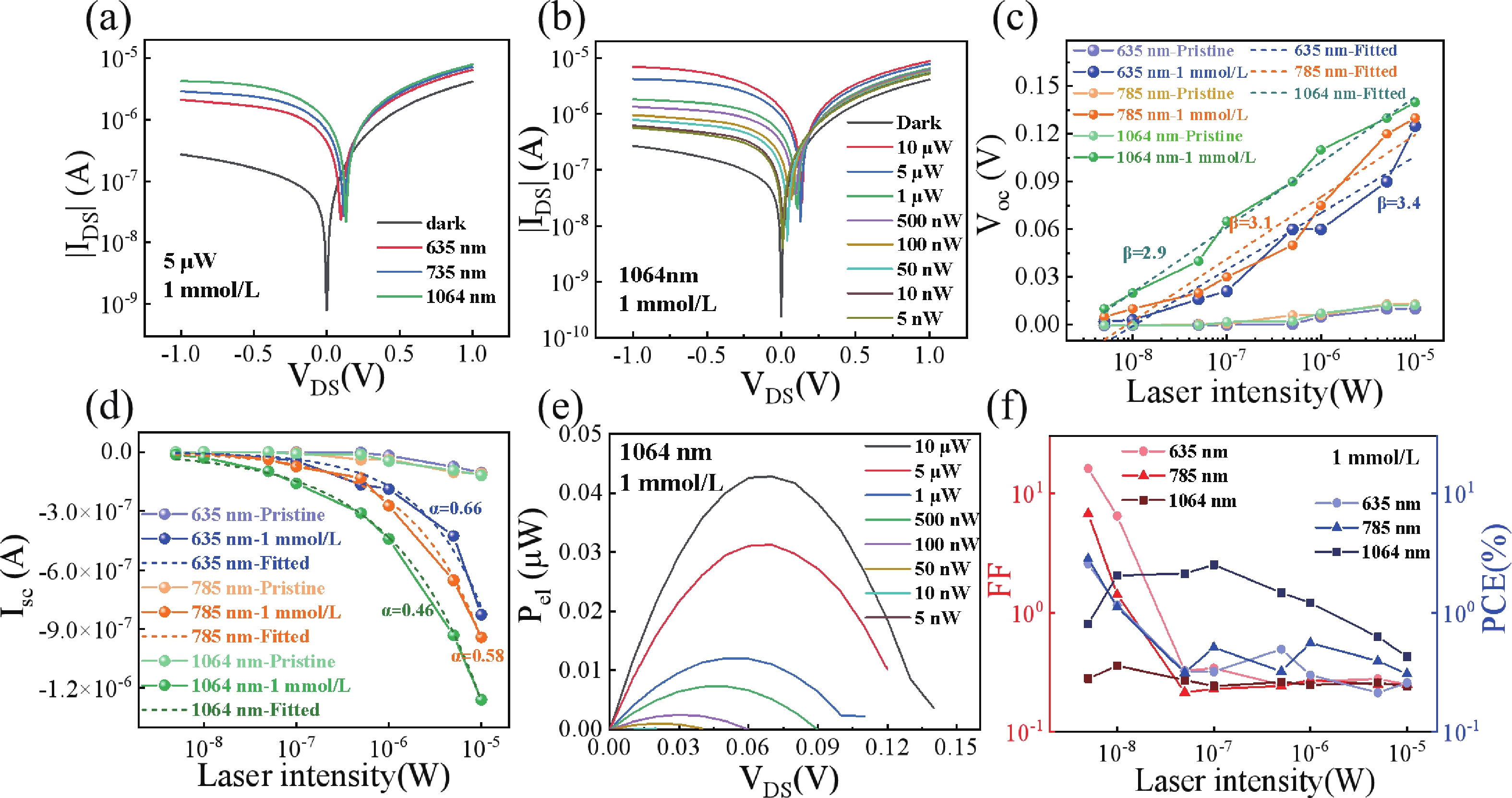
The development of optoelectronic technologies demands photodetectors with miniaturization, broadband operation, high sensitivity, and low power consumption. Although 2D van der Waals (vdW) heterostructures are promising candidates due to their built-in electric fields, ultrafast photocarrier separation, and tunable bandgaps, defect states limit their performance. Therefore, the modulation of the optoelectronic properties in such heterostructures is imperative. Surface charge transfer doping (SCTD) has emerged as a promising strategy for non-destructive modulation of electronic and optoelectronic characteristics in two-dimensional materials. In this work, we demonstrate the construction of high-performance p−i−n vertical heterojunction photodetectors through SCTD of MoTe2/ReS2 heterostructure using p-type F4-TCNQ. Systematic characterization reveals that the interfacial doping process effectively amplifies the built-in electric field, enhancing photogenerated carrier separation efficiency. Compared to the pristine heterojunction device, the doped photodetector exhibits remarkable visible to near-infrared (635−1064 nm) performance. Particularly under 1064 nm illumination at zero bias, the device achieves a responsivity of 2.86 A/W and specific detectivity of 1.41 × 1012 Jones. Notably, the external quantum efficiency reaches an exceptional value of 334% compared to the initial 11.5%, while maintaining ultrafast response characteristics with rise/fall times of 11.6/15.6 μs. This work provides new insights into interface engineering through molecular doping for developing high-performance vdW optoelectronic devices.

This work presents a systematic analysis of proton-induced total ionizing dose (TID) effects in 1.2 kV silicon carbide (SiC) power devices with various edge termination structures. Three edge terminations including ring-assisted junction termination extension (RA-JTE), multiple floating zone JTE (MFZ-JTE), and field limiting rings (FLR) were fabricated and irradiated with 45 MeV protons at fluences ranging from 1 × 1012 to 1 × 1014 cm−2. Experimental results, supported by TCAD simulations, show that the RA-JTE structure maintained stable breakdown performance with less than 1% variation due to its effective electric field redistribution by multiple P+ rings. In contrast, MFZ-JTE and FLR exhibit breakdown voltage shifts of 6.1% and 15.2%, respectively, under the highest fluence. These results demonstrate the superior radiation tolerance of the RA-JTE structure under TID conditions and provide practical design guidance for radiation-hardened SiC power devices in space and other high-radiation environments.

In recent years, optoelectronic synapses have garnered significant attention in the field of neuromorphic computing due to their integration of optical sensing and synaptic functions. In this work, we propose an optoelectronic synapse based on IGZO/Bi3.25La0.75Ti3O12 heterojunction. Under UV light stimulation, this device can simulate a range of synaptic behaviors, including paired-pulse facilitation, spike-intensity-dependent plasticity, spike-number-dependent plasticity, spike-width-dependent plasticity, and the transition from short-term memory to long-term memory. The majority of perceptible information for humans is acquired through the visual system. The 3 × 3 retinal morphology synapse arrays constructed based on plasticity behaviors not only integrates light perception and storage functions but also exhibits adaptive adjustment capabilities to address image blurring caused by object movement. At the same time, in CNN recognition training, the device successfully simulates the learning−relearning mechanism of the human brain. These findings highlight the device’s immense potential for applications in artificial vision systems.

A high-sensitivity, low-noise single photon avalanche diode (SPAD) detector was presented based on a 180 nm BCD process. The proposed device utilizes a p-implant layer/high-voltage n-well (HVNW) junction to form a deep avalanche multiplication region for near-infrared (NIR) sensitivity enhancement. By optimizing the device size and electric field of the guard ring, the fill factor (FF) is significantly improved, further increasing photon detection efficiency (PDE). To solve the dark noise caused by the increasing active diameter, a field polysilicon gate structure connected to the p+ anode was investigated, effectively suppressing dark count noise by 76.6%. It is experimentally shown that when the active diameter increases from 5 to 10 μm, the FF is significantly improved from 20.7% to 39.1%, and thus the peak PDE also rises from 13.3% to 25.8%. At an excess bias voltage of 5 V, a NIR photon detection probability (PDP) of 6.8% at 905 nm, a dark count rate (DCR) of 2.12 cps/μm2, an afterpulsing probability (AP) of 1.2%, and a timing jitter of 216 ps are achieved, demonstrating excellent single photon detection performance.

CZTS (Cu2ZnSnS4) is a quaternary semiconductor that is environmentally friendly, less expensive. In this paper, we report on the optimization and fabrication of CZTS-based heterojunction nanodevices for bifunctional applications such as solar cells and photodetectors. CZTS thin films were deposited on top of (Molybdenum) Mo-coated glass substrates via RF sputtering at 100 and 200 W. Rapid thermal processing (RTP) was used at 300, 400, and 500 °C temperatures. CdS (cadmium sulphide) was deposited on CZTS using a chemical bath deposition system with 3- and 5-min deposition times. ZnO (zinc oxide) and AZO (aluminium doped zinc oxide) layers were deposited using RF (radio frequency) sputtering to create the solar device. XRD confirms the formation of a tetragonal structure with increased crystallinity due to the use of RTP. Raman reveals the characteristic Raman shift peak associated with CZTS at 336 and 335 cm−1. The FESEM shows a relationship with RTP temperature. Surface features, including grain size, vary with RTP temperature. The ideality factor is nearly 2, indicating imperfection in the Mo/CZTS interface. Schottky barrier height estimates range from 0.6 to 0.7 eV. Absorbance and transmittance show a predictable fluctuation with RTP temperature. Photovoltaic device was built using the higher crystalline feature of CZTS in conjunction with CdS deposited at 3 and 5 min. The efficiency of CdS deposited after 3 and 5 min was 1.15 and 0.97 percent, respectively. Fabricated devices were used for wavelength-dependent photodetection. This work demonstrated self-powered photodetection.

In this study, with the aim of achieving a high signal-to-noise ratio (SNR) in an electron-bombarded complementary metal−oxide−semiconductor (EBCMOS) imaging chip, we analyzed the sources of noise using principles from low-light-level imaging and semiconductor theory, and established a physical computational model that relates the electron-multiplication layer to the noise characteristics of an EBCMOS chip in a uniformly doped structure with a P-type substrate. We conducted theoretical calculations to analyze the effects on noise characteristics of the passivation layer material and thickness, P-substrate doping concentration, P-substrate thickness, incident electron energy, and substrate temperature. By comparing the characteristics of pixel noise, dark current, multiplication electron numbers, and SNR under various structures, we simulated optimized structural parameters of the device. Our simulation results showed that the noise characteristics of the device could be optimized using an Al2O3 passivation thickness of 15 nm and substrate temperature of 260 K, and by decreasing the doping concentration and thickness of the P-type substrate and increasing the incident electron energy. The optimized SNR were 252 e/e. And the substantial impact of dark current noise, primarily governed by interfacial defects, on the overall noise characteristics of the device. This research offers theoretical support to develop EBCMOS imaging chips with high gain and SNR.

A monolithic integrated full-wave bridge rectifier consisted of horizontal Schottky-barrier diodes (SBD) is prepared based on 100 nm ultra-thin β-Ga2O3 and demonstrated the solar-blind UV (SUV) light-modulated characteristics. Under SUV light illumination, the rectifier has the excellent full-wave rectification characteristics for the AC input signals of 5, 12, and 24 V with different frequencies. Further, experimental results confirmed the feasibility of continuously tuning the rectified output through SUV light-encoding. This work provides valuable insights for the development of optically programmable Ga2O3 AC-DC converters.

Quantum control allows a wide range of quantum operations employed in molecular physics, nuclear magnetic resonance and quantum information processing. Thanks to the existing microelectronics industry, semiconducting qubits, where quantum information is encoded in spin or charge degree freedom of electrons or nuclei in semiconductor quantum dots, constitute a highly competitive candidate for scalable solid-state quantum technologies. In quantum information processing, advanced control techniques are needed to realize quantum manipulations with both high precision and noise resilience. In this review, we first introduce the basics of various widely-used control methods, including resonant excitation, adabatic passage, shortcuts to adiabaticity, composite pulses, and quantum optimal control. Then we review the practical aspects in applying these methods to realize accurate and robust quantum gates for single semiconductor qubits, such as Loss–DiVincenzo spin qubit, spinglet-triplet qubit, exchange-only qubit and charge qubit.

As the development of single-junction solar cells reaches a bottleneck, tandem solar cells have emerged as a critical pathway to further enhance power conversion efficiency. Among them, monolithic perovskite/silicon heterojunction tandem solar cells are currently the fastest-growing technology, achieving the highest efficiencies at relatively low costs. The interconnecting layer, which connects the two sub-cells, plays a crucial role in tandem cell performance. It collects electrons and holes from the respective sub-cells and facilitates recombination and tunneling at the interface. Therefore, the properties of the interconnecting layer are pivotal to the overall device performance. In this work, we applied statistical analysis and machine learning algorithms to systematically analyze the interconnecting layer. A comprehensive dataset on interconnecting layer parameters was established, and predictive modeling was performed using Lasso linear regression, random forest, and multilayer perceptron (a type of neural network). The analysis revealed key feature importance for experimental parameters, providing valuable insights into the application of interconnecting layers in perovskite/silicon heterojunction tandem solar cells. The final optimized interconnecting layer can achieve a proof-of-concept efficiency of 38.17%, providing guidance and direction for the development of monolithic perovskite/silicon tandem solar cells.

Oxide semiconductor-based neuromorphic devices hold great potential for visual information processing, yet their performance is critically limited by photolithography-induced organic residues. This work systematically investigates the effects of photoresist contaminants on In−Ga−Zn−O thin-film transistors (IGZO TFTs), revealing that these residues introduce deep-level trap states that degrade both photo-responsivity and carrier transport dynamics. Through optimized plasma-assisted surface treatments, these adverse effects would be effectively eliminated. Additionally, we show that gate−voltage modulation can precisely control the relaxation kinetics of photocarriers in these devices. By applying these strategies to IGZO-based synaptic arrays, we achieve enhanced image contrast through controlled optoelectronic response modulation. Overall, our findings highlight the critical impact of photolithography-induced organic residues in IGZO optoelectronic synaptic devices and demonstrate an effective approach for performance enhancement through surface plasma treatment and gate−voltage modulation.

Zeolite imidazolate framework (ZIF)-derived bimetallic sulfides and layered double hydroxides (LDHs) have emerged as promising electrode materials for supercapacitors, owing to their porous layered structures, high electrochemical activity, tunable molecular architectures, low cost, and high specific capacitance. In this study, a unique composite material comprising ZIF-derived ZnCo bimetallic sulfide and LDH with a honeycomb-like structure was in situ grown on nickel foil (NF) via a controlled self-sacrificial template strategy. In contrast to previous reports, the resulting ZnS@Co3S4@MXene@Ni-LDH/NF composite integrates the advantages of MXene, LDH, and sulfides, leading to significantly enhanced conductivity, structural stability, and catalytic activity. The ZnS@Co3S4@MXene@Ni-LDH/NF electrode exhibits a uniform network structure with a thickness of approximately 1 µm coated on NF, and delivers a high specific capacitance of 1356.1 F·g−1 at a current density of 2 A·g−1. Furthermore, an asymmetric supercapacitor assembled with ZnS@Co3S4@MXene@Ni-LDH/NF as the positive electrode and activated carbon as the negative electrode achieves a high energy density of 34.08 Wh·kg−1 and a power density of 742.3 W·kg−1 at 1 A·g−1. This device successfully powers LED lights for 5 min, demonstrating its practical applicability. These results underscore the outstanding electrochemical performance of the ZnS@Co3S4@MXene@Ni-LDH/NF electrode, highlighting its potential for applications in supercapacitors and related energy storage fields.

Metal halide perovskites (MHPs) have become promising optoelectronic materials due to their long carrier lifetimes and high mobility. However, the presence of defects and ion migration in MHPs results in high and unstable dark currents, which compromise the stability and detection performance of MHP-based optoelectronic devices. Interfacial engineering has proven to be an effective strategy to reduce defect density in MHPs and suppress ion migration. Given the compatibility of silicon (Si) and MHP processing technologies, coupled with the simplicity and cost-effectiveness of the approach, the integration of MHPs onto Si surfaces has become a prominent area of research. This integration not only enhances device performance but also expands their practical applications. This review provides an overview of the integration technologies for Si and single crystal MHPs, evaluates the advantages and limitations of various integration schemes (including inverse temperature crystallization, vacuum-assisted vapor deposition, and anti-solvent vapor-assisted crystallization), and explores the practical applications of Si/MHP-integrated optoelectronic devices with different structures. These optimized devices exhibit outstanding performance in X-ray detection, multi-wavelength photodetection, and circularly polarized light detection. This review provides a systematic reference for technological innovation and application expansion of Si/MHP-integrated devices.

To address the escalating demand for high-mobility transparent and conductive oxide (TCO) films in heterojunction solar cells, multiple components doped In2O3 targets were proposed. The In2O3 targets incorporating 1 wt.% CeO2, Ta2O5, and TiO2 were sintered under different sintering temperatures and times. All the targets show the cubic bixbyite phase of In2O3. The microstructure illustrates densely packed fine grains and uniform elemental distribution. Notably, increasing the sintering temperature and holding time contributes to effective pore elimination within the targets. A relative density of greater than 99.5% is obtained for the targets sintered at 1500 °C for 4 and 6 h, and the corresponding optimum resistivity decreases from 1.068 × 10−³ to 9.73 × 10−4 Ω·cm. These results provide the experimental basis of fabricating In2O3-based targets for depositing high mobility TCO films by magnetron sputtering.

Currently, the global 5G network, cloud computing, and data center industries are experiencing rapid development. The continuous growth of data center traffic has driven the vigorous progress in high-speed optical transceivers for optical interconnection within data centers. The electro-absorption modulated laser (EML), which is widely used in optical fiber communications, data centers, and high-speed data transmission systems, represents a high-performance photoelectric conversion device. Compared to traditional directly modulated lasers (DMLs), EMLs demonstrate lower frequency chirp and higher modulation bandwidth, enabling support for higher data rates and longer transmission distances. This article introduces the composition, working principles, manufacturing processes, and applications of EMLs. It reviews the progress on advanced indium phosphide (InP)-based EML devices from research institutions worldwide, while summarizing and comparing data transmission rates and key technical approaches across various studies.

This study investigates the effect of apple extract on CoFe2O4 nanoparticles synthesized via a green self-ignition method. High resolution transmission electron microscope (HRTEM) showed nanometric particles with varied shapes, while X-ray diffraction (XRD) and Rietveld refinement confirmed a facecentered cubic (Fd3̅m) structure. Mössbauer spectroscopy revealed a Zeeman sextet pattern with only Fe3+ ions. Ultra violet vissible nearinfrared (UV–Vis–NIR) spectra indicated strong absorbance in the visible and NIR regions, suggesting optoelectronic potential. The nanoparticles demonstrated high photo-Fenton catalytic efficiency, degrading 96.88% of Methylene Blue under visible light. They also exhibited 100% adsorption capacities for Cr3+ and Pb2+, making them effective for water treatment. These properties were attributed to a large surface area (347.04 m2/g), mesoporous structure, and mixed spinel phase. ANOVA and Tukey’s honestly significant difference (HSD) tests confirmed that contact time and adsorbent dosage significantly affected pollutant removal. Additionally, strong antimicrobial activity highlighted their biotechnological relevance. The inclusion of apple extract enhanced structural and functional features, expanding application prospects in spin valves, magnetic recording, refrigeration, microwave technologies (C to Ku bands), optoelectronics, and biotechnology. Future work should explore the photo-Fenton degradation mechanism and optimize synthesis for scalable production, aiming to maximize their industrial utility.

In vertical channel transistors (VCTs), source/drain ion implantation (I/I) represents a significant technical challenge due to inherent three-dimensional structural constraints, which induce complications such as difficulties in dummy gate formation and shadowing effects of I/I. This article systematically investigates the impact of different implantation conditions on the performance of VCTs with and without dummy gates through TCAD simulation. It reveals the significant role of the lightly doped regions (LDRs) naturally formed due to ion implantation in source/drain of VCTs. Furthermore, it was found that VCT without dummy gates can achieve an approximately 27% increase in on-state current (Ion) under the same implantation conditions, and can greatly simplify the process flow and reduce costs. Finally, N-type and P-type VCTs were successfully fabricated using this implantation method.

Along with NOR flash cell scaling down, dielectric burnout has gradually become one of the most important factors which affects product reliability, especially for high dropout voltage films. In this study, we demonstrate a reliability-enhanced NOR flash cell in 50 nm node technology through structural optimization of floating gate (FG) dimensions and active area profile. By synergistically increasing FG thickness, reducing FG width, and tuning cell-open depth, the control gate-to-active area corner distance expands by 22%, suppressing peak electric fields by 29% vertically and 18% horizontally. This structural innovation achieves: (1) 100× reduction in early-cycle burnout failures, (2) 7.38× time dependent dielectric breakdown lifetime improvement, while maintaining data retention and accelerating programming/erasing speeds by 15.4%/7.3%. The enhanced reliability enables 97.5% reduction in Fowler−Nordheim stress time during characterization program testing, providing a cost-effective solution for automotive-grade flash memories.

The random nanofiber distribution in traditional electrospun membranes restricts the pressure sensing sensitivity and measurement range of electronic skin. Moreover, current multimodal sensing suffers from issues like overlapping signal outputs and slow response. Herein, a novel electrospinning method is proposed to prepare double-coupled microstructured nanofibrous membranes. Through the effect of high voltage electrostatic field in the electrospinning, the positively charged nanofibers are preferentially attached to the negatively charged foam surface, forming the ordered two-dimensional honeycomb porous nanofibrous membrane with three-dimensional spinous microstructure. Compared with the conventional random porous nanofibrous membrane, the bionic two-dimensional honeycomb and three-dimensional spinous dual-coupled microstructures in the ordered porous nanofibrous membrane endows the electronic skin with significantly improved mechanical properties (maximum tensile strain increased by 77% and fatigue resistance increased by 35%), air permeability (water vapor transmission rate increased by 16%) and sensing properties (pressure sensitivity increased by 276% and detection range increased by 137%). Furthermore, the electronic skin was constructed by means of a conformal composite ionic liquid functionalized nanofibrous membrane, and the real-time and interference-free dual-signal monitoring of pressure and temperature (maximum temperature coefficient of resistance: −0.918 °C−1) was realized.

The von Neumann bottleneck in conventional computing architectures presents a significant challenge for data-intensive artificial intelligence applications. A promising approach involves designing specialized hardware with on-chip parameter tunability, which directly accelerates machine learning functions. This work demonstrates a continuously tunable mixed-kernel function physically realized within a van der Waals heterostructure. We designed and fabricated a MoTe2/MoS2 type-Ⅱ vertical heterojunction phototransistor, which exhibits a non-monotonic, Gaussian-like optoelectronic response owing to its unique interlayer charge transfer mechanism. This intrinsic physical behavior directly maps to a mixed-kernel function combining Gaussian and Sigmoid characteristics. Furthermore, the hardware kernel can be continuously modulated by in-situ tuning of external optical stimuli. The mixed-kernel exhibited exceptional performance, achieving precision, accuracy, and area under the curve (AUC) values of 95.8%, 96%, and 0.9986, respectively, significantly outperforming conventional kernels. By successfully embedding a complex, adaptable mathematical function into the intrinsic physical properties of a single device, this work pioneers a novel pathway toward next-generation, energy-efficient intelligent systems with hardware-level adaptability.

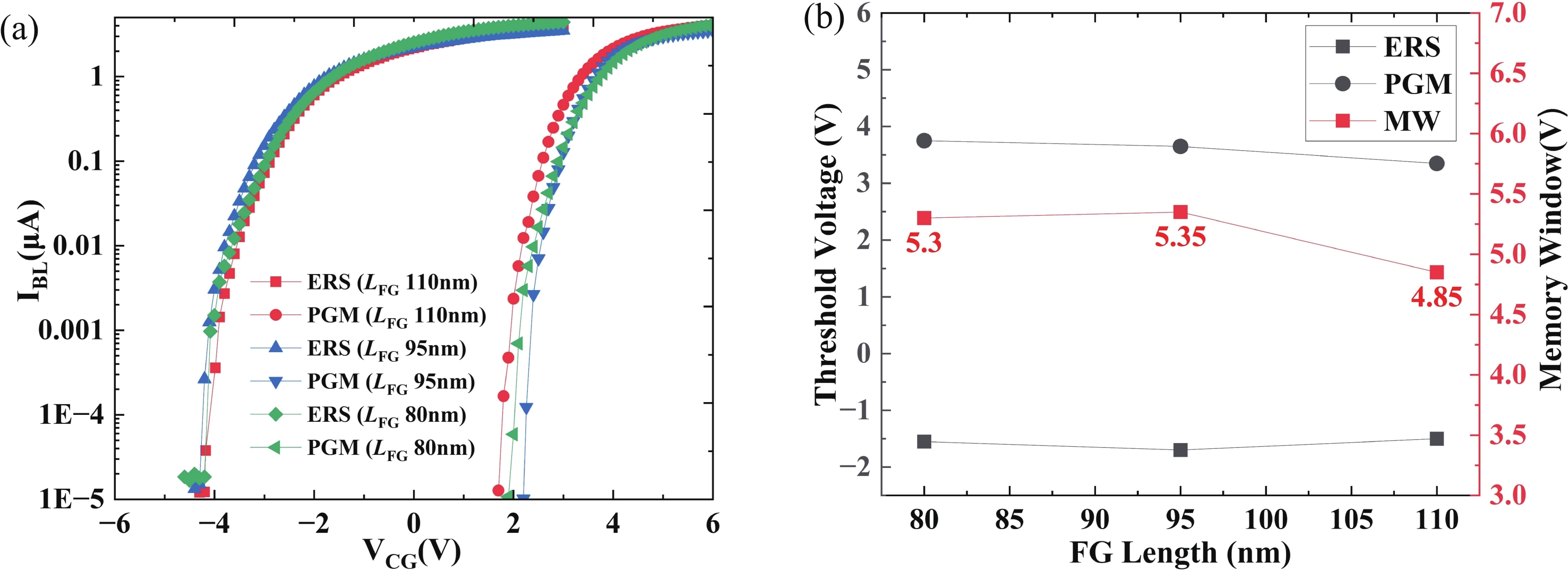
The escalating need for high-performance artificial intelligence (AI) computing intensifies the "memory bottleneck" of the von Neumann architecture, prompting extensive exploration of computation-in-memory (CIM) solutions. This study is centered on the optimization of a high-efficiency, low-power "L"-shaped split-gate floating-gate (FG) memory for CIM applications. Fabricated on a 55 nm CMOS platform, the memory devices were systematically investigated through wafer acceptance test (WAT), Sentaurus™ simulations and comprehensive evaluations with the DNN + NeuroSim Framework V2.0. Among devices with diverse FG lengths, the 95-nm FG variant exhibits outstanding performance: it achieves a 5.35 V memory window, reaches a maximum conductance of 16.7 μS with excellent linearity under the varying voltage and width pulse scheme (VWPS), realizes 32-state multi-level storage, and attains a 92% training accuracy on the CIFAR-10 dataset using the VGG8 neural network.

To optimize turn on velocity of the SiC LIMS, we proposed a new structure for the LIMS that incorporates an optimized n+ layer and a multi-light triggered electrode design for the anode. The chip size is 5.5 mm × 5.5 mm in dimension. The experiment results indicate that the saturation laser energy required to trigger the prepared SiC LIMS has been decreased from 1.8 mJ to 40 μJ, with the forward blocking voltage of the prepared SiC LIMSs capable of withstanding over 7000 V. The leakage current is about 0.3 μA at room temperature, and the output current density achieves 4.25 kA/cm2 (with di/dt larger than 20 kA/μs).

Flexible materials with perovskite quantum dots (PQDs) are widely used in the field of photonics and opto-electronics due to their unique properties. Development of new materials based on these nanoparticles, incorporated into flexible and lightweight nonwoven fabrics, demonstrated high photoconductivity and efficient light energy conversion. In this work, we propose a method for creating a stable luminescent nonwoven material using electrospinning, in which inorganic salt precursors are used without the need for additional stabilizers. Equimolar solutions of cesium and lead (Ⅱ) bromide were mixed with a fluoroplast, resulting in a series of samples. Luminescent materials were obtained containing PQDs with a composition of CsPbBr3, with emission peaks ranging from 507 to 517 nm under 365-nm excitation. We have experimentally established and theoretically confirmed that the peak position is related to the size of the particles formed in the fiber during electrospinning and depends on processing time. Developed materials exhibited stable luminescent properties for up to 2.5 years, making them a promising candidate for the development of new flexible optoelectronic devices based on PQDs.

The optical soliton characteristics of GaSb-based ~2 μm wavelength integrated optical chips have broad application prospects in optoelectronic fields such as optical communications, infrared countermeasures, and gas environment monitoring. In the research of two-section integrated optical chips, more attention is paid to their passive mode-locked characteristics. The ability of its structure to generate stable soliton transmission has not yet been studied, which will limit its further application in high-performance near-mid infrared optoelectronic technology. In this paper, we design and prepare a GaSb-based ~2 μm wavelength two-section integrated semiconductor laser chip structure, and test and analyze its related properties of soliton, including power−injection current−voltage (P−I−V), temperature and mode-locked characteristics. Experimental results show that the chip can achieve stable mode-locked operation at nearly ~2 μm wavelength and present the working characteristics of near optical soliton states and multi-peak optical soliton states. By comparing and analyzing the measured optical pulse sequence curve with the numerical fitting based on the pure fourth order soliton approximation solution, it is confirmed that the two-section integrated optical chip structure can generate stable transmission of multi-peak optical soliton. This provides a research direction for developing near-mid infrared mode-locked integrated optical chips with high-performance property of optical soliton.

In this paper, a planar junction mid-wavelength infrared (MWIR) photodetector based on an InAs/GaSb type-Ⅱ superlattices (T2SLs) is reported. The Intrinsic-πMN superlattices was grown by the molecular beam epitaxy (MBE), followed with a ZnS layer grown by the chemical vapor deposition (CVD). The p-type contact layer was constructed by thermal diffusion in the undoped superlattices. The Zinc atom was successfully realised into the superlattice and a PπMN T2SL structure was constructed. Furthermore, the effects of different diffusion temperatures on the dark current performance of the devices were researched. The 50% cut-off wavelength of the photodetector is 5.26 μm at 77 K with 0 V bias. The minimum dark current density is 8.67 × 10−5 A/cm2 and the maximum quantum efficiency of 42.5%, and the maximum detectivity reaches 3.90 × 1010 cm·Hz1/2/W at 77 K. The 640 × 512 focal plane arrays (FPA) based on the planner junction were fabricated afterwards. The FPA achieves a noise equivalent temperature difference (NETD) of 539 mK.


In this letter, we demonstrate the effect of γ irradiation on the lateral AlGaN/GaN Schottky barrier diodes (SBDs) with self-terminated recessed anode structure and low work-function metal tungsten (W) as anode. For a comprehensive evaluation of the radiation-resistance performance of the device, the total dose of γ irradiation is up to 100 kGy with irradiation time of 20 h. Attributed to the barrier lowering effect of the W/GaN interface induced by γ irradiation observed in the experiment, the extracted turn-on voltage (VON) defined at anode forward current of 1 mA decreases from 0.47 to 0.43 V. Meanwhile, benefiting from the reinforced Schottky interface treated by post-anode-annealing, a high breakdown voltage (BV) of 1.75 kV is obtained for the γ-irradiated AlGaN/GaN SBD, which shows the promising application for the deep-space radiation environment and promotes the development of radiation-resistance research for GaN SBDs.

As organic thin film transistors (OTFTs) are set to play a crucial role in flexible and cost-effective electronic applications, this paper investigates a high-mobility 6,13-bis(triisopropylsilylethynyl) Pentacene (TIPS-Pentacene) OTFT for use in flexible electronics. The development of such high-mobility devices necessitates precise device modeling to support technology optimisation and circuit design. The details of numerical simulation technique is discussed, in which, the electrical behavior of the device is well captured by fine tuning basic semiconductor equations. This technology computer-aided design (TCAD) has been validated with eprimental data. In addition, we have discussed about compact model fitting of the devices as well as parameter extraction procedure employed. This includes verification of ATLAS FEM based results against experimental data gained from fabricated OTFT devices. Simulations for p-type TFT-based inverter are also performed to assess the performance of compact model in simple circuit simulation.

Quantum key distribution (QKD) achieves information-theoretic security based on quantum mechanics principles, where single-photon detectors (SPDs) serve as critical components. This study focuses on the sinusoidal gated SPDs widely used in high-speed QKD systems. We investigate the mechanisms underlying the rising-edge jitter in detection signals, identifying contributions from factors such as the temporal width of injected optical pulses, avalanche generation processes, avalanche signal extraction, and pulse discrimination. To address the issue of excessive jitter-induced bit errors, we propose a retiming scheme that utilizes coincidence signals synchronized with the sinusoidal gating signal. This approach effectively suppresses detection signal jitter and reduces the after-pulse probability of the detector. Experimental validation using a high-precision time-to-digital converter (TDC) demonstrates a significant reduction in the rising-edge jitter distribution after applying the suppression scheme. The proposed method features clear principles and straightforward engineering implementation, avoiding direct interference with the detector’s operational processes. The designed high-speed sinusoidal gated InGaAs/InP SPD operates at 1.25 GHz, achieving a remarkable reduction in after-pulse probability from 10.7% (without jitter suppression) to 0.72%, thereby enhancing the overall performance of QKD systems.

Wavelength division multiplexing technology has been pivotal in addressing the demand for high-capacity optical communication with silicon photonics providing a promising platform. This work presents a 16-channel wavelength division multiplexing silicon photonics receiver chip composed of an arrayed waveguide grating and Ge-on-Si photodetectors. Integrated inductors are introduced to enhance the high-speed performance of photodetectors, enabling data rates up to 112 Gbps with high responsivity and low dark current. The operating wavelength range of the arrayed wavelength grating is adjusted according to the response of the Ge-on-Si photodetector. The optical insertion loss, cross talk and central wavelength of the array waveguide grating are 2.1 to 3.7 dB, −12 to −15 dB, and 1538 nm, respectively. The proposed receiver chip offers a solution to meet the challenges of modern data transmission requirements.

InAsN nanowires on InAs stems were obtained using plasma-assisted molecular beam epitaxy on a SiOx/Si (111) substrate. Also, heterostructured InAs/InAsN and InAsN/InP nanowires were grown in the core/shell geometry. In the low-temperature photoluminescence spectra of the grown structures, spectral features are observed that correspond to the polytypic structure of nanowires with a predominance of the wurtzite phase and parasitic islands of the sphalerite phase. It was shown that the interband photoluminescence spectral features of InAsN nanowires experience a red shift relative to the pristine InAs nanowires. The incorporation of nitrogen reduces the bandgap by splitting the conduction band into two subbands. The position of the spectral features in the photoluminescence spectra confirms the formation of a nitride solid solution with a polytypic hexagonal structure, having a concentration of nitrogen atoms of up to 0.7%. Additional passivation of the nanowire surface with InP leads to a decrease in the intensity of nonradiative recombination and an improvement in the photoluminescent response of the nanowires, which makes it possible to detect photoluminescence emission at room temperature. Thus, by changing the composition and morphology of nanowires, it is possible to control their electronic structure, which allows varying the operating range of detectors and mid-IR radiation sources based on them.

Avalanche photodiode (APD) is a kind of photodetector with important applications in optical communication, LIDAR and other fields. APDs fabricated using the recently developed AlGaAsSb as the multiplication material exhibit excellent noise performance. In this work, we report a low-noise separate absorption, grading, charge, and multiplication (SAGCM) InGaAs/AlGaAsSb APD operating at 1550 nm. A double-mesa structure was fabricated to reduce the dark current. Numerical simulations were conducted to compare two different mesa-structured APDs. By analyzing the electric field distribution, it was found that the electric field at the edge of the multiplication region in the double-mesa APD is nearly 100 kV/cm lower than that of the single-mesa structure. Experimental results demonstrate that after device punch-through, the double-mesa APD’s dark current can be reduced by up to four times compared to the single-mesa APD. Quantitative analysis of the dark current components in the AlGaAsSb APD further confirms that the low sidewall electric field in the double-mesa structure effectively suppresses the trap-assisted tunneling. Additionally, noise measurements indicate a k-value of approximately 0.014, which is significantly lower than that of traditional multiplication materials. This work provides preliminary validation for further performance improvements in low noise and low dark current AlGaAsSb APDs.