| Citation: |
Chongbiao Luan, Jianqiang Yuan, Hongwei Liu, Longfei Xiao, Huiru Sha, Le Xu, Yang He, Lingyun Wang, Hongtao Li, Yupeng Huang. Study of a novel SiC-based light initiated multi-gate semiconductor switch[J]. Journal of Semiconductors, 2025, 46(11): 112402. doi: 10.1088/1674-4926/25020033
****
C B Luan, J Q Yuan, H W Liu, L F Xiao, H R Sha, L Xu, Y He, L Y Wang, H T Li, and Y P Huang, Study of a novel SiC-based light initiated multi-gate semiconductor switch[J]. J. Semicond., 2025, 46(11), 112402 doi: 10.1088/1674-4926/25020033
|
Study of a novel SiC-based light initiated multi-gate semiconductor switch
DOI: 10.1088/1674-4926/25020033
CSTR: 32376.14.1674-4926.25020033
More Information-
Abstract
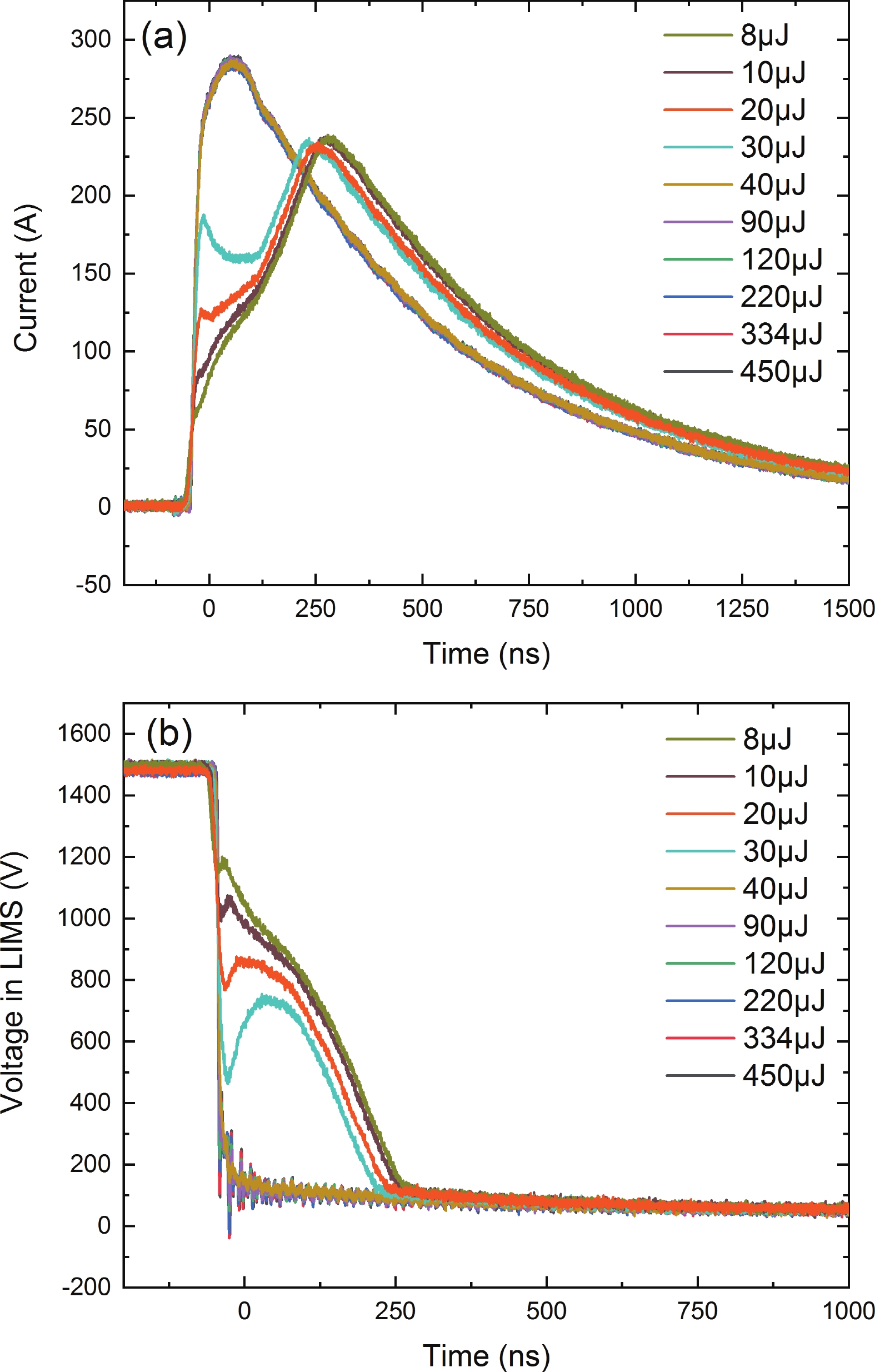
To optimize turn on velocity of the SiC LIMS, we proposed a new structure for the LIMS that incorporates an optimized n+ layer and a multi-light triggered electrode design for the anode. The chip size is 5.5 mm × 5.5 mm in dimension. The experiment results indicate that the saturation laser energy required to trigger the prepared SiC LIMS has been decreased from 1.8 mJ to 40 μJ, with the forward blocking voltage of the prepared SiC LIMSs capable of withstanding over 7000 V. The leakage current is about 0.3 μA at room temperature, and the output current density achieves 4.25 kA/cm2 (with di/dt larger than 20 kA/μs). -
References
[1] Rocabert J, Luna A, Blaabjerg F, et al. Control of power converters in AC microgrids. IEEE Trans Power Electron, 2012, 27(11), 4734 doi: 10.1109/TPEL.2012.2199334[2] Luan C B, Liu H W, Fu J B, et al. Study of a Si-based light initiated multi-gate semiconductor switch for high temperatures. Sci Rep, 2022, 12, 15508 doi: 10.1038/s41598-022-19767-4[3] Yin J C, Bai Y J, Shi K, et al. Direct triggering LTT with monolithic structure. IEEE J Electron Devices Soc, 2022, 10, 843 doi: 10.1109/JEDS.2022.3212432[4] Nakao H, Nakagoshi Y, Hatano M, et al. Test of a LTT thyristor valve for next generation 500 kV HVDC transmission system. IEEE Power Engineering Society Winter Meeting, 2000, 2932 doi: 10.1109/PESW.2000.847351[5] Rumyantsev S L, Levinshtein M E, Shur M S, et al. Optical triggering of high-voltage (18 kV-class) 4H-SiC thyristors. Semicond Sci Technol, 2014, 28(12), 125017 doi: 10.1088/0268-1242/29/11/115003[6] Mojab A, Mazumder S K, Cheng L, et al. 15-kV single-bias all-optical ETO thyristor. IEEE 26th International Symposium on Power Semiconductor Devices & IC's (ISPSD), 2014, 313 doi: 10.1109/ISPSD.2014.6856039[7] Yin J C, Bai Y J, Cao J, et al. Cathode shorts design and its effects on the device characteristics of small-size light-triggered thyristors. Semicond Sci Technol, 2023, 38(7), 75011 doi: 10.1088/1361-6641/acd951[8] Katoh S, Yamazumi S, Watanabe A. The P−layer punch-through structure with a thick, high concentration p emitter for a light-triggered thyristor. IEEE Transactions on Power Electronics, 2002, 17(6), 1067 doi: 10.1109/TPEL.2002.805596[9] Bai C S, Huo F F, Li T, et al. Study of High voltage soft start device based on light triggered thyristor. Power Electronics, 2013, 47(7), 104[10] Zhang Q, Callanan R, Das M K, et al. SiC power devices for microgrids. IEEE Transactions on Power Electronics, 2010, 25(12), 2889 doi: 10.1109/TPEL.2010.2079956[11] Dheilly N, Planson D, Pâques G, et al. Light triggered 4H–SiC thyristors with an etched guard ring assisted JTE. Solid State Electron, 2012, 73, 32 doi: 10.1016/j.sse.2012.02.007[12] Wang X, Pu H B, Liu Q, et al. Shortening turn-on delay of SiC light triggered thyristor by 7-shaped thin n-base doping profile. Chin Phys B, 2018, 27(10), 108502 doi: 10.1088/1674-1056/27/10/108502[13] Chow T P. Progress in high voltage SiC and GaN power switching devices. Mater Sci Forum, 2014, 778-780,1077 doi: 10.4028/www.scientific.net/MSF[14] Nechaev N E, Fridman B E, Khapugin A A, et al. LTT switch unit for capacitive energy storages. Defence Technology, 2018, 14(5), 616 doi: 10.1016/j.dt.2018.07.019[15] Wang X, Pu H, Liu Q, et al. Demonstration of 4H-SiC thyristor triggered by 100-mW/cm2 UV light. IEEE Electron Device Lett, 2020, 41(6), 824 doi: 10.1109/LED.2020.2988913[16] Yang T, Li X, Wang Y, et al. 12.5 kV SiC Gate Turn off thyristor with trench-modulated JTE structure. IEEE Trans Electron Devices, 2022, 69(3), 1258 doi: 10.1109/TED.2022.3146214[17] Li Z, Zhang L, Li L, et al. A SiC gate turn-off thyristor with high di/dt for fast switching-on applications. Semicond Sci Technol, 2021, 36(12), 12 doi: 10.1088/1361-6641/ac31e1[18] Mojab A, Mazumder S K. Design and characterization of high-current optical darlington transistor for pulsed-power applications. IEEE Trans Electron Devices, 2017, 64(3), 769 doi: 10.1109/TED.2016.2635632[19] O'Brien H, Shaheen W, Chiscop V, et al. Evaluation of Si and SiC SGTOs for high-action army applications. IEEE Trans Magn, 2009, 45(1), 402 doi: 10.1109/TMAG.2008.2008549[20] Dheilly N, Paques G, Scharnholz S, et al. Optical triggering of SiC thyristors using UV LEDs. Electron Lett, 2011, 47, 7 doi: 10.1049/el.2010.7337[21] Hasegawa J, Pace L, Phung L V, et al. Simulation-Based Study about the lifetime and incident light properties dependence of the optically triggered 4H-SiC thyristors operation. IEEE Trans Electron Devices, 2017, 64(3), 1203 doi: 10.1109/TED.2017.2657223 -
Proportional views



Chongbiao Luan (Member, IEEE) received the B.S. degree in physics and the Ph.D. degree in microelectronics and solid state electronics from Shandong University, Jinan, China, in 2009 and 2014, respectively. He works at pulsed power with the Institute of Fluid Physics, China Academy of Engineering Physics, Mianyang, China. His current research interest includes the solid state pulsed power technology, especially in solid state switches and storage devices.
Hongwei Liu received the B.S. degree in engineering physics from Tsinghua University, Beijing, China, in 2004 and the M.S. degree from the Graduate School of China Academy of Engineering Physics, Mianyang, China, in 2007. He is currently with the Institute of Fluid Physics, China Academy of Engineering Physics. His main research interests include photoconductive semiconductor switches and linear transformer driver.
DownLoad:







