| Citation: |
Zuoxu Yu, Yuzhen Zhang, Tingrui Huang, Wenting Xu, Mingming Liu, Di Gui, Kaizhi Sui, Guangan Yang, Weifeng Sun, Runxiao Shi, Wangran Wu. Flexible ITO TFTs with high mobility of 39.1 cm2·V−1·s−1 and excellent uniformity fabricated via mass-production compatible process[J]. Journal of Semiconductors, 2026, 47(3): 032304. doi: 10.1088/1674-4926/25060021
****
Z X Yu, Y Z Zhang, T R Huang, W T Xu, M M Liu, D Gui, K Z Sui, G G Yang, W F Sun, R X Shi, and W R Wu, Flexible ITO TFTs with high mobility of 39.1 cm2·V−1·s−1 and excellent uniformity fabricated via mass-production compatible process[J]. J. Semicond., 2026, 47(3): 032304 doi: 10.1088/1674-4926/25060021
|
Flexible ITO TFTs with high mobility of 39.1 cm2·V−1·s−1 and excellent uniformity fabricated via mass-production compatible process
DOI: 10.1088/1674-4926/25060021
CSTR: 32376.14.1674-4926.25060021
More Information-
Abstract
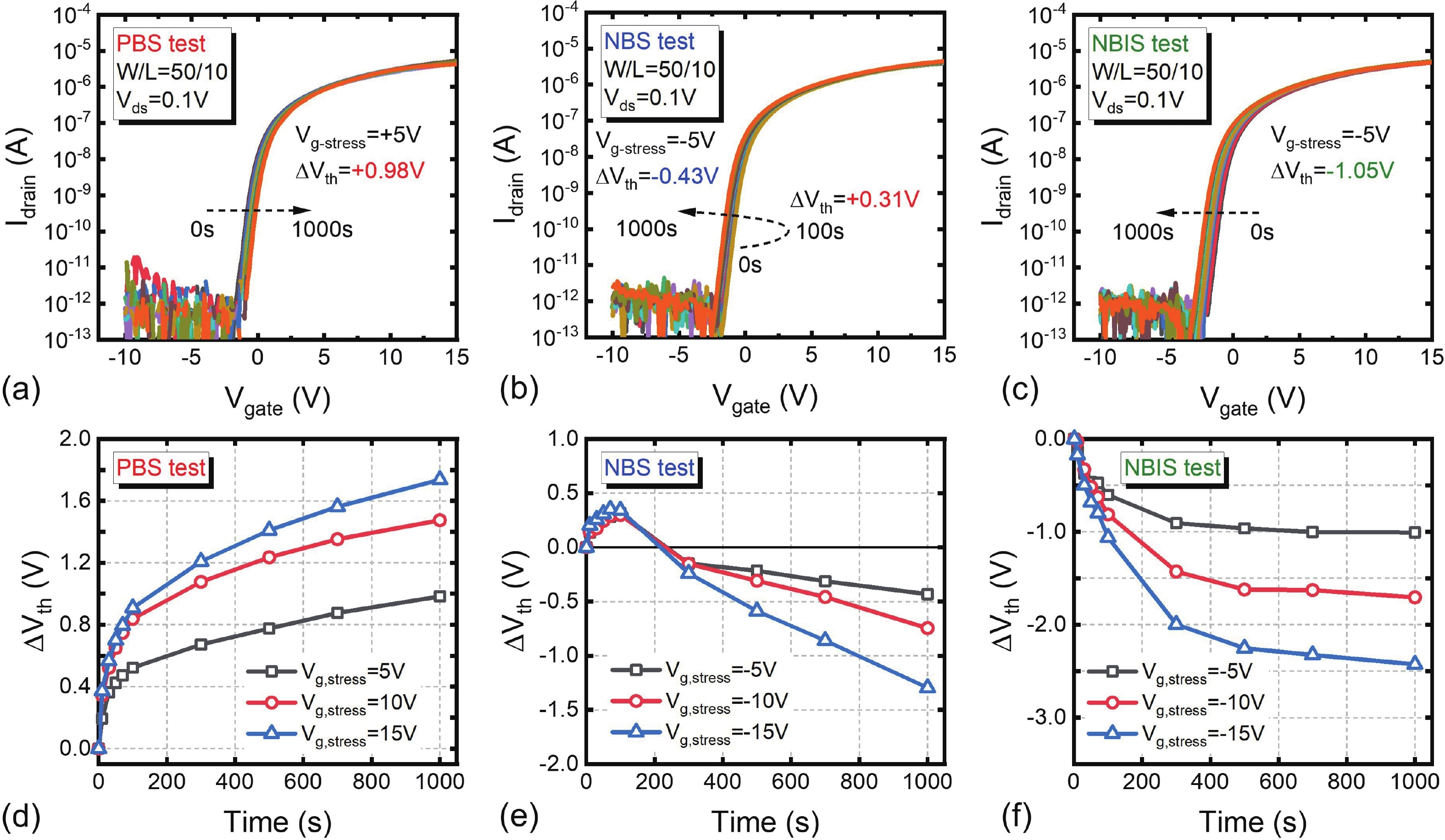
The increasing pursuit of ultra-high resolution displays has driven the demand for thin film transistors (TFTs) with higher mobility, especially on flexible substrates. In this work, we developed indium tin oxide (ITO) TFTs on flexible substrates for the first time and achieved a remarkable average mobility of 39.1 cm2·V−1·s−1, via mass-production compatible processes utilizing SiO2 gate dielectric. Benefiting from the ultra-flat surface and extremely low coefficient of thermal expansion (CTE) of our PI substrate, the ITO TFTs exhibit excellent large-scale uniformity. Additionally, the TFTs generate minor variations of −5.5% and +0.45 V in mobility and threshold voltage under a bending radius of 7 mm, respectively. They stay fully functional even after a dynamic bending test up to 13 000 cycles, observing no obvious degradation in mobility and threshold voltage. The reliable mechanical flexibility and robust bending durability demonstrate their great potential for ultra-high resolution flexible displays in the future.-
Keywords:
- InSnO,
- thin film transistor,
- large-scale uniformity,
- flexibility
-
References
[1] Hara Y, Kikuchi T, Kitagawa H, et al. IGZO-TFT technology for large-screen 8K display. J Soc Info Display, 2018, 26(3): 169 doi: 10.1002/jsid.648[2] Chen H Y, Ren J Y, Sun J T, et al. Photoresponse design in metal oxide semiconductor TFTs toward diverse applications: Display drivers, photodetectors, and optoelectronic synapses. ACS Appl Mater Interfaces, 2025, 17(5): 8727 doi: 10.1021/acsami.5c00152[3] Nag M, Bhoolokam A, Smout S, et al. Circuits and AMOLED display with self-aligned a-IGZO TFTs on polyimide foil. J Soc Info Display, 2014, 22(10): 509 doi: 10.1002/jsid.281[4] Kim C Y, Hwang Y H, Chang J, et al. High mobility, low off-current, and flexible fiber-based a-InGaZnO thin-film transistors toward wearable textile OLED displays. ACS Appl Mater Interfaces, 2024, 16(45): 62335 doi: 10.1021/acsami.4c12223[5] Myny K. The development of flexible integrated circuits based on thin-film transistors. Nat Electron, 2018, 1: 30 doi: 10.1038/s41928-017-0008-6[6] Koo J H, Kim D C, Shim H J, et al. Flexible and stretchable smart display: Materials, fabrication, device design, and system integration. Adv Funct Materials, 2018, 28(35): 1801834 doi: 10.1002/adfm.201801834[7] Chen Y F, Kim H, Lee J, et al. An 18.6-μm-pitch gate driver using a-IGZO TFTs for ultrahigh-definition AR/VR displays. IEEE Trans Electron Devices, 2020, 67(11): 4929 doi: 10.1109/TED.2020.3023069[8] Hu Y S, Xie X Y, Lei T T, et al. A sliding-kernel computation-In-memory architecture for convolutional neural network. Adv Sci, 2024, 11(46): 2407440 doi: 10.1002/advs.202407440[9] Nakata M, Motomura G, Nakajima Y, et al. Development of flexible displays using back-channel-etched In−Sn−Zn−O thin-film transistors and air-stable inverted organic light-emitting diodes. J Soc Info Display, 2016, 24(1): 3 doi: 10.1002/jsid.408.16:10.1109/TED.2021.3089562[10] Liu H C, Lai Y C, Lai C C, et al. Highly effective field-effect mobility amorphous InGaZnO TFT mediated by directional silver nanowire arrays. ACS Appl Mater Interfaces, 2015, 7(1): 232 doi: 10.1021/am5059316[11] Kim T, Seol Y, Lee S, et al. Flexible TFT backplane development for extremely small bending radius with organic ILD and novel TFT structures. J Soc Info Display, 2024, 32(5): 397 doi: 10.1002/jsid.1305[12] Magari Y, Kataoka T, Yeh W, et al. High-mobility hydrogenated polycrystalline In2O3 (In2O3: H) thin-film transistors. Nat Commun, 2022, 13(1): 1078 doi: 10.1038/s41467-022-28480-9[13] Yang H L, Kim Y S, Hwang T, et al. Sequential design of PEALD In−Ga−Zn−O active layer for enhancing TFT stability. IEEE Trans Electron Devices, 2023, 70(12): 6347 doi: 10.1109/TED.2023.3323444[14] Sheng J Z, Lee H J, Oh S, et al. Flexible and high-performance amorphous indium zinc oxide thin-film transistor using low-temperature atomic layer deposition. ACS Appl Mater Interfaces, 2016, 8(49): 33821 doi: 10.1021/acsami.6b11774[15] Ng H K, Xiang D, Suwardi A, et al. Improving carrier mobility in two-dimensional semiconductors with rippled materials. Nat Electron, 2022, 5: 489 doi: 10.1038/s41928-022-00777-z[16] Li Z, Liu L, Xu J P. Largely enhanced mobility of MoS2 field-effect transistors by optimizing O2−plasma treatment on MoS2. IEEE Trans Electron Devices, 2021, 68(9): 4614[17] Han J K, Park J Y, Kim C K, et al. Electrothermal annealing to enhance the electrical performance of an exfoliated MoS2 field-effect transistor. IEEE Electron Device Lett, 2018, 39(10): 1532 doi: 10.1109/led.2018.2867569[18] Knobloch T, Uzlu B, Illarionov Y Y, et al. Improving stability in two-dimensional transistors with amorphous gate oxides by Fermi-level tuning. Nat Electron, 2022, 5(6): 356 doi: 10.1038/s41928-022-00768-0[19] Hassan M, Abbas G, Li N, et al. Significance of flexible substrates for wearable and implantable devices: Recent advances and perspectives. Adv Mater Technol, 2022, 7(3): 2100773 doi: 10.1002/admt.202100773[20] Zhang C, Li D, Lai P T, et al. An InGaZnO charge-trapping nonvolatile memory with the same structure of a thin-film transistor. IEEE Electron Device Lett, 2022, 43(1): 32 doi: 10.1109/LED.2021.3131715[21] Zhang C, Li D, Huang X. Effects of TiOx interlayer on performance of dual-gate InGaZnO thin-film transistor. 2021 International Conference on IC Design and Technology (ICICDT), 2021: 1 doi: 10.1109/ICICDT51558.2021.9626487[22] Chen Q Z, Shi C Y, Zhao M J, et al. Performance of transparent indium−gallium−zinc oxide thin film transistor prepared by all plasma enhanced atomic layer deposition. IEEE Electron Device Lett, 2023, 44(3): 448 doi: 10.1109/LED.2023.3239379[23] Kim Y S, Lee W B, Oh H J, et al. Remarkable stability improvement with a high-performance PEALD-IZO/IGZO top-gate thin-film transistor via modulating dual-channel effects. Adv Materials Inter, 2022, 9(16): 2200501 doi: 10.1002/admi.202200501[24] Chen Z H, Yang J, Ding X W, et al. High-performance fully thermal ALD-processed IGZO thin film transistors. IEEE Trans Electron Devices, 2024, 71(3): 1963 doi: 10.1109/TED.2024.3359582[25] Wu W R, Huang T R, Yang G G, et al. High-voltage indium-tin-oxide thin-film transistors possessing drift region capped with indium-tin-oxide layer. IEEE Electron Device Lett, 2024, 45(7): 1201 doi: 10.1109/LED.2024.3394888[26] Kim K M, Yang J S, Kim H T, et al. Suppressing undesired channel length-dependent electrical characteristics of fully integrated InGaZnO thin-film transistors via defect control layer. Adv Elect Materials, 2023, 9: 2200986 doi: 10.1002/aelm.202200986[27] Wang W, Li L, Lu C Y, et al. Analysis of the contact resistance in amorphous InGaZnO thin film transistors. Appl Phys Lett, 2015, 107(6): 063504 doi: 10.1063/1.4928626[28] Xu Y, Li Y, Li S L, et al. Precise extraction of charge carrier mobility for organic transistors. Adv Funct Materials, 2020, 30(20): 1904508 doi: 10.1002/adfm.201904508[29] Qu C Z, Hu J S, Liu X, et al. Morphology and mechanical properties of polyimide films: The effects of UV irradiation on microscale surface. Materials, 2017, 10(11): 1329 doi: 10.3390/ma10111329[30] Cho S J, Choi J W, Bae I S, et al. Surface plasma treatment of polyimide film for Cu metallization. Jpn J Appl Phys, 2011, 50(1S1): 01AK02 doi: 10.1143/JJAP.50.01AK02[31] Mohammadian N, Kumar D, Fugikawa-Santos L, et al. Bias and temperature stress effects in IGZO TFTs and the application of step-stress testing to increase reliability test throughput. IEEE Trans Electron Devices, 2024, 71(11): 6756 doi: 10.1109/TED.2024.3462693[32] Yang G W, Park J, Choi S, et al. Total subgap range density of states-based analysis of the effect of oxygen flow rate on the bias stress instabilities in a-IGZO TFTs. IEEE Trans Electron Devices, 2022, 69(1): 166 doi: 10.1109/TED.2021.3130219[33] Zhou X L, Shao Y, Zhang L T, et al. Oxygen interstitial creation in a-IGZO thin-film transistors under positive gate-bias stress. IEEE Electron Device Lett, 2017, 38(9): 1252 doi: 10.1109/LED.2017.2723162[34] Li S, Wang M X, Zhang D L, et al. A unified degradation model of a-InGaZnO TFTs under negative gate bias with or without an illumination. IEEE J Electron Devices Soc, 2019, 7: 1063 doi: 10.1109/JEDS.2019.2946383[35] Han Y Q, Chen Y K, Li M, et al. Abnormal positive shift of threshold voltage in praseodymium-doped InZnO-TFTs under negative bias illumination temperature stress. IEEE Trans Electron Devices, 2024, 71(3): 1951 doi: 10.1109/TED.2024.3359160[36] Wang Y, Tang Y J, Chen Y T, et al. Room-temperature fabrication of flexible oxide TFTs by co-sputtering of IGZO and ITO. Flex Print Electron, 2023, 8(3): 035005 doi: 10.1088/2058-8585/acee93[37] Honjo M, Takeda Y, Aman M, et al. Advanced hybrid process with back contact IGZO-TFT. J Soc Info Display, 2022, 30(5): 471 doi: 10.1002/jsid.1131[38] Hsu Y, Lin Z G, Lu Y H, et al. 16.9-inch flexible AMOLED display with high performance top gate oxide TFT. Symp Digest Tech Papers, 2021, 52(S2): 48 doi: 10.1002/sdtp.15016[39] Münzenrieder N, Petti L, Zysset C, et al. Investigation of gate material ductility enables flexible a-IGZO TFTs bendable to a radius of 1.7 mm. 2013 Proceedings of the European Solid-State Device Research Conference (ESSDERC), 2013: 362 doi: 10.1109/ESSDERC.2013.6818893[40] Zhou J M, Liu N, Zhu L Q, et al. Energy-efficient artificial synapses based on flexible IGZO electric-double-layer transistors. IEEE Electron Device Lett, 2015, 36(2): 198 doi: 10.1109/LED.2014.2381631[41] Liu Y, Zhu H Z, Xing L, et al. Recent advances in inkjet-printing technologies for flexible/wearable electronics. Nanoscale, 2023, 15(13): 6025 doi: 10.1039/D2NR05649F[42] Bhalerao S R, Lupo D, Berger P R. Flexible, solution-processed, indium oxide (In2O3) thin film transistors (TFT) and circuits for Internet-of-things (IoT). Mater Sci Semicond Process, 2022, 139: 106354 doi: 10.1016/j.mssp.2021.106354[43] Xiao P, Dong T, Lan L F, et al. High-mobility flexible thin-film transistors with a low-temperature zirconium-doped indium oxide channel layer. Physica Rapid Research Ltrs, 2016, 10(6): 493 doi: 10.1002/pssr.201600052[44] Kaftanoglu K, Venugopal S M, Marrs M, et al. Stability of IZO and a-Si: H TFTs processed at low temperature (200°C). J Disp Technol, 2011, 7(6): 339 doi: 10.1109/JDT.2011.2107879[45] Choi M, Park Y J, Sharma B K, et al. Flexible active-matrix organic light-emitting diode display enabled by MoS2 thin-film transistor. Sci Adv, 2018, 4(4): eaas8721 doi: 10.1126/sciadv.aas8721[46] Kim J S, Byun J W, Jang J H, et al. A high-reliability carry-free gate driver for flexible displays using a-IGZO TFTs. IEEE Trans Electron Devices, 2018, 65(8): 3269 doi: 10.1109/TED.2018.2843180[47] Cantarella G, Catania F, Corsino D, et al. Unobtrusive thin-film devices and sustainable green electronics. 2023 IEEE International Flexible Electronics Technology Conference (IFETC), 2023: 1 doi: 10.1109/IFETC57334.2023.10254853[48] Bae J, Ali A, Park C, et al. High-performance, coplanar amorphous InGaZnO thin-film transistors by spray pyrolysis on polyimide substrate for low-cost manufacturing of foldable active-matrix organic light emitting diode display. J Soc Info Display, 2023, 31(5): 308 doi: 10.1002/jsid.1209[49] Zahid Husain Q, Corsino D, Catania F, et al. DC and AC performance of InGaZnO thin-film transistors on flexible PEEK substrate. IEEE Trans Electron Devices, 2024, 71(10): 6073 doi: 10.1109/TED.2024.3453220 -
Proportional views



Zuoxu Yu received his bachelor degree in electronic science and technology from Southeast University, Nanjing, China, in 2020. He is working toward a Ph.D. in the School of Integrated Circuit at Southeast University. His current research interests include the metal oxide semiconductor based thin-film transistor and circuit.
Runxiao Shi received his bachelor's degree from Southeast University in 2017 and his master's degree from Waseda University in 2018. He earned his Ph.D. from The Hong Kong University of Science and Technology in 2023. He is currently a faculty member at the School of Integrated Circuits, Southeast University. His research focuses on thin-film transistors and the design of flexible integrated circuits.
Wangran Wu obtained his bachelor degree in 2011 and Ph.D. degree in 2016 from Nanjing University. In 2016, he joined the School of Electronic Science and Engineering, Southeast University. Now he is an associate professor and doctoral supervisor at the School of Integrated Circuit. His research interests cover the design and fabrication of flexible electronic devices, circuits and systems.
DownLoad:







