| Citation: |
Zhengda Dong, Dachuan Li, Pingyuan Yan, ChuanXiang Sheng. PL spectra and PL dynamics of CsPbBr3 quantum dots in solution and film[J]. Journal of Semiconductors, 2026, In Press. doi: 10.1088/1674-4926/25120029
****
Z D Dong, D C Li, P Y Yan, and C X Sheng, PL spectra and PL dynamics of CsPbBr3 quantum dots in solution and film[J]. J. Semicond., 2026, accepted doi: 10.1088/1674-4926/25120029
|
PL spectra and PL dynamics of CsPbBr3 quantum dots in solution and film
DOI: 10.1088/1674-4926/25120029
CSTR: 32376.14.1674-4926.25120029
More Information-
Abstract
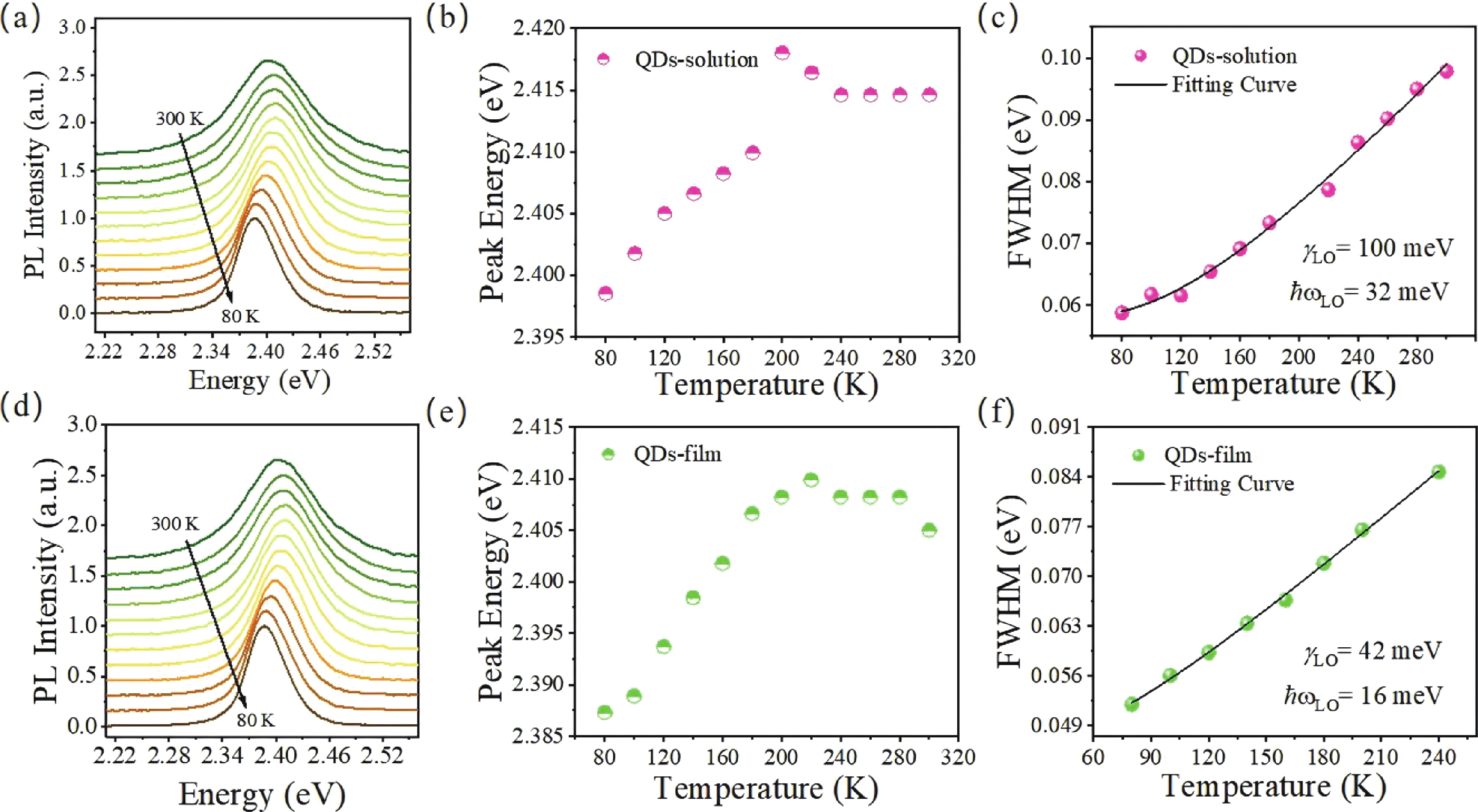
Temperature dependent photoluminescence (PL) and time-resolved PL (TRPL) of CsPbBr3 quantum dots (QDs) in solution and film are investigated. The electron-phonon coupling strength of quantum dots in solution is found two times larger than that of thin films. The averaged phonon energy involved in luminescence is also significantly higher than that of thin films, indicating that ligands’ phonons are involved in optical processes in solution but not in film. TRPL shows that the luminescence lifetime of the solution (22.5 ns) is longer than that of the thin film (5 ns) at room temperature, and both decrease abnormally with decreasing temperature, ascribing to the thermally activated trap states for PL, the further analysis shows that the trap energy levels in the thin film are deeper (~20 meV) compared to ~4 meV in solution. Our work proves that the morphology of organic ligands can regulate electron-phonon interactions and optoelectronic properties in CsPbBr3 QDs, providing fundamental insights into its photophysics.-
Keywords:
- quantum dots,
- luminescence,
- electron-phonon coupling,
- trap states
-
References
[1] Rainò G, Yazdani N, Boehme S C, et al. Ultra-narrow room-temperature emission from single CsPbBr3 perovskite quantum dots. Nat Commun, 2022, 13: 2587 doi: 10.1038/s41467-022-30016-0[2] Liu Z K, Ma W L. Preface to special topic on quantum dot semiconductor optoelectronic materials, devices, and characterization. J Semicond, 2025, 46(4): 040101 doi: 10.1088/1674-4926/25030801[3] Hanifi D A, Bronstein N D, Koscher B A, et al. Redefining near-unity luminescence in quantum dots with photothermal threshold quantum yield. Science, 2019, 363(6432): 1199 doi: 10.1126/science.aat3803[4] Liu X K, Xu W D, Bai S, et al. Metal halide perovskites for light-emitting diodes. Nat Mater, 2021, 20(1): 10 doi: 10.1038/s41563-020-0784-7[5] Stranks S D, Snaith H J. Metal-halide perovskites for photovoltaic and light-emitting devices. Nat Nanotechnol, 2015, 10(5): 391 doi: 10.1038/nnano.2015.90[6] Li H H, Wang Y, Liu Z S, et al. Hybrid-dimensional heterostructure enables efficient near-infrared perovskite quantum dot light-emitting diodes. ACS Nano, 2025, 19(28): 25930 doi: 10.1021/acsnano.5c05939[7] Liu W, Xie H D, Guo X L, et al. Luminescence, stability, and applications of CsPbBr3 quantum dot/polymethyl methacrylate composites prepared by a solvent- and ligand-free ball milling method. Opt Mater, 2023, 136: 113398 doi: 10.1016/j.optmat.2022.113398[8] Liu Z S, Wang Y, Zhao F, et al. Liquid bidentate ligand for full ligand coverage towards efficient near-infrared perovskite quantum dot LEDs. Light Sci Appl, 2025, 14: 35 doi: 10.1038/s41377-024-01704-x[9] Boles M A, Ling D S, Hyeon T, et al. The surface science of nanocrystals. Nat Mater, 2016, 15(2): 141 doi: 10.1038/nmat4526[10] Yuan M J, Liu M X, Sargent E H. Colloidal quantum dot solids for solution-processed solar cells. Nat Energy, 2016, 1: 16016 doi: 10.1038/nenergy.2016.16[11] Wang Y K, Wan H Y, Teale S, et al. Long-range order enabled stability in quantum dot light-emitting diodes. Nature, 2024, 629(8012): 586 doi: 10.1038/s41586-024-07363-7[12] Gu X, Fei W L, Sun B Q, et al. Wide-bandgap and heavy-metal-free quantum dots for blue light-emitting diodes. J Semicond, 2025, 46(4): 041101 doi: 10.1088/1674-4926/24100016[13] Jiang Y Z, Sun C J, Xu J, et al. Synthesis-on-substrate of quantum dot solids. Nature, 2022, 612(7941): 679 doi: 10.1038/s41586-022-05486-3[14] Li S, Yin W X, Zheng W T, et al. Size matters: Quantum confinement-driven dynamics in CsPbI3 quantum dot light-emitting diodes. J Semicond, 2025, 46(4): 042103 doi: 10.1088/1674-4926/24120018[15] Wei K, Xu Z J, Chen R Z, et al. Temperature-dependent excitonic photoluminescence excited by two-photon absorption in perovskite CsPbBr3 quantum dots. Opt Lett, 2016, 41(16): 3821 doi: 10.1364/OL.41.003821[16] Bonn M, Miyata K, Hendry E, et al. Role of dielectric drag in polaron mobility in lead halide perovskites. ACS Energy Lett, 2017, 2(11): 2555 doi: 10.1021/acsenergylett.7b00717[17] Reshchikov M A. Mechanisms of thermal quenching of defect-related luminescence in semiconductors. Phys Status Solidi A, 2021, 218: 2000101 doi: 10.1002/pssa.202000101[18] Li J C, Liu S L, You W W, et al. Temperature-insensitive persistent luminescence in the highly emissive Cs2CdCl4 ruddlesden-popper perovskite for advanced multifunctional applications. Chem Eng J, 2025, 514: 163346 doi: 10.1016/j.cej.2025.163346[19] Mączka M, Stefańska D, Zaręba J K, et al. Temperature-dependent luminescence and second-harmonic generation of perovskite-type manganese and cadmium dicyanamide frameworks templated by tetrapropylammonium cations. J Alloys Compd, 2020, 821: 153464 doi: 10.1016/j.jallcom.2019.153464[20] Handa T, Aharen T, Wakamiya A, et al. Radiative recombination and electron-phonon coupling in lead-free CH3NH3SnI3 perovskite thin films. Phys Rev Materials, 2018, 2(7): 075402 doi: 10.1103/PhysRevMaterials.2.075402[21] Khvichia M, Zeitz D C, Chou K C, et al. Temperature dependence of photoinduced carrier spin relaxation dynamics in CsPbBr3 and MAPbBr3 perovskite quantum dots. J Phys Chem Lett, 2025, 16(23): 5681 doi: 10.1021/acs.jpclett.5c01192[22] Hu L, Zhao W R, Duan W J, et al. Temperature-dependent optical properties of perovskite quantum dots with mixed-A-cations. Micromachines, 2022, 13(3): 457 doi: 10.3390/mi13030457[23] Li X Y, Yu Y L, Hong J Q, et al. Optical temperature sensing of Eu3+-doped oxyhalide glasses containing CsPbBr3 perovskite quantum dots. J Lumin, 2020, 219: 116897 doi: 10.1016/j.jlumin.2019.116897[24] Mei X Y, Wang G L, Qiu J M, et al. Surface stress engineering of CsPbI3 perovskite quantum dots for efficient solar cells. Small, 2025, 21(22): 2500007 doi: 10.1002/smll.202500007[25] Khan Q, Hussain S, Saeed F, et al. Electrically modulated near-field energy transfer between quantum dots and perovskite nanocrystals. Opt Laser Technol, 2025, 185: 112599 doi: 10.1016/j.optlastec.2025.112599[26] Liu J N, Yang X, Xue H P, et al. Surface coupling in Bi2Se3 ultrathin films by screened Coulomb interaction. Nat Commun, 2023, 14: 4424 doi: 10.1038/s41467-023-40035-0[27] Jiang X F, Gu J Z, Zheng S X, et al. Mixed-solvent crystallization expands the chemical space of 2D perovskites and enables phonon-limited exciton transport. J Am Chem Soc, 2025, 147(35): 32287 doi: 10.1021/jacs.5c13393[28] Shahivandi H. Understanding thermal effects on band gap and absorption in MAPbI3 perovskite solar cells. Solid State Sci, 2025, 168: 108054 doi: 10.1016/j.solidstatesciences.2025.108054[29] Poltavtsev S V, Stroganov B V. Experimental investigation of the oscillator strength of the exciton transition in GaAs single quantum wells. Phys Solid State, 2010, 52(9): 1899 doi: 10.1134/S1063783410090180[30] Cho E, Jo A, Kim T G, et al. Exploring the optical characteristics influenced by size and surface defects in AgInS2 quantum dots: A theoretical study with a simple ligand model. Appl Surf Sci, 2025, 686: 162142 doi: 10.1016/j.apsusc.2024.162142[31] Wright A D, Verdi C, Milot R L, et al. Electron–phonon coupling in hybrid lead halide perovskites. Nat Commun, 2016, 7: 11755 doi: 10.1038/ncomms11755[32] Wang Y, Ta V D, Gao Y, et al. Stimulated emission and lasing from CdSe/CdS/ZnS core-multi-shell quantum dots by simultaneous three-photon absorption. Adv Mater, 2014, 26(18): 2954[33] Chen J S, Chábera P, Pascher T, et al. Enhanced size selection in two-photon excitation for CsPbBr3 perovskite nanocrystals. J Phys Chem Lett, 2017, 8(20): 5119 doi: 10.1021/acs.jpclett.7b02178[34] Joly A G, Chen W, McCready D E, et al. Upconversion luminescence of CdTe nanoparticles. Phys Rev B, 2005, 71(16): 165304 doi: 10.1103/PhysRevB.71.165304[35] Reznitsky A, Klochikhin A, Permogorov S. Temperature quenching of PL intensity and mechanisms of carrier recombination in CdTe/ZnTe self-assembled quantum dots. Phys Status Solidi C, 2012, 9(7): 1624 doi: 10.1002/pssc.201100748[36] Basu B B J, Vasantharajan N. Temperature dependence of the luminescence lifetime of a europium complex immobilized in different polymer matrices. J Lumin, 2008, 128(10): 1701 doi: 10.1016/j.jlumin.2008.03.024[37] Zhang D B, Cao X G, Liu C Y, et al. Abnormal temperature dependence of Huang–rhys factor and exciton recombination kinetics in CsPbBr3 perovskite quantum dots. J Phys Chem Lett, 2024, 15(44): 11015 doi: 10.1021/acs.jpclett.4c02300[38] Zhang X Y, Pang G T, Xing G C, et al. Temperature dependent optical characteristics of all-inorganic CsPbBr3 nanocrystals film. Mater Today Phys, 2020, 15: 100259 doi: 10.1016/j.mtphys.2020.100259[39] Yu B Y, Zhang C F, Chen L, et al. Ultrafast dynamics of photoexcited carriers in perovskite semiconductor nanocrystals. Nanophotonics, 2021, 10(8): 1943 doi: 10.1515/nanoph-2020-0681[40] Bohn B J, Tong Y, Gramlich M, et al. Boosting tunable blue luminescence of halide perovskite nanoplatelets through postsynthetic surface trap repair. Nano Lett, 2018, 18(8): 5231 doi: 10.1021/acs.nanolett.8b02190[41] Huang S Q, Li Z C, Wang B, et al. Morphology evolution and degradation of CsPbBr3 nanocrystals under blue light-emitting diode illumination. ACS Appl Mater Interfaces, 2017, 9(8): 7249 doi: 10.1021/acsami.6b14423 -
Supplements
Supplementary_Materials.pdf
-
Proportional views



Zhengda Dong is a Master's student at the State Key Laboratory of Photovoltaic Science and Technology, Department of Optical Science and Engineering, College of Future Information Technology, Fudan University. His research focuses on the photophysical processes in metal halide perovskites, including ultrafast carrier dynamics in low-dimensional and quantum dot structures.
Dachuan Li Da-Chuan Li is a Master's student at the State Key Laboratory of Photovoltaic Science and Technology, Department of Optical Science and Engineering, College of Future Information Technology, Fudan University. His research focuses on the photophysical processes in metal halide perovskites, including the study of photoexcited state dynamics through spectroscopy.
Pingyuan Yan received her Ph.D. degree at the School of Electronic and Optical Engineering, Nanjing University of Science and Technology in 2024. Currently, He is a postdoctoral researcher at School of Microelectronics, Nanjing University of Science and Technology. His research interests mainly focus on 2D perovskite in the optical properties, photoexcited states and photoelectric conversion mechanism.
ChuanXiang Sheng Chuan-Xiang Sheng received the B.E. and M.E. degrees in physics from Fudan University, Shanghai, China, in 1997 and 2000, respectively, and the Ph.D. degree in physics from the University of Utah, Salt Lake City, USA, in 2005. Since 2009, he had been a professor at Nanjing University of Science and Technology, and moved to Fudan University in 2021. His research interests include optical properties and optoelectronic devices based on novel semiconductors and nanocrystalline.
DownLoad:







