J. Semicond. >  Just Accepted

ARTICLES

Controllable synthesis of magnetic CoO nanosheets by chemical vapor deposition

Zidan Peng§, Zengfu Li§, Junkun Zhou, Liang Li, Bowen Yao, Jinchen Zan, Yechen Wang, Hongmei Zhang, Gang Peng and Guang Wang

+ Author Affiliations

 Corresponding author: Hongmei Zhang, zhanghongmei@nudt.edu.cn; Guang Wang, wangguang@nudt.edu.cn

DOI: 10.1088/1674-4926/25120039CSTR: 32376.14.1674-4926.25120039

PDF

Turn off MathJax

Abstract: Two-dimensional (2D) magnetic materials have attracted significant attention owing to their tunable magnetic properties and prospective applications in next-generation spintronic devices. However, their practical utilization is often limited by poor air stability. 2D magnetic metal oxides, which generally exhibit better stability under ambient conditions, represent a promising alternative. In this work, high-quality CoO nanosheets were successfully synthesized via chemical vapor deposition. Structural characterization confirms a well-defined triangular morphology and single-crystalline nature, with the thinnest nanosheets reaching approximately 10.1 nm in thickness. Magnetic measurements reveal significant magnetic anisotropy with an in-plane easy magnetization axis and a transition temperature of approximately 159 K. Our study provides a feasible approach for the controllable synthesis of air-stable 2D magnetic semiconductors, thereby laying a foundation for their potential application in low-power spintronic devices.

Key words: 2D magnetic semiconductorsCoO nanosheetschemical vapor deposition (CVD)magnetic anisotropy



[1]
Huang B, Clark G, Navarro-Moratalla E, et al. Layer-dependent ferromagnetism in a van der Waals crystal down to the monolayer limit. Nature, 2017, 546(7657): 270 doi: 10.1038/nature22391
[2]
Gong C, Li L, Li Z L, et al. Discovery of intrinsic ferromagnetism in two-dimensional van der Waals crystals. Nature, 2017, 546(7657): 265 doi: 10.1038/nature22060
[3]
Kang L X, Ye C, Zhao X X, et al. Phase-controllable growth of ultrathin 2D magnetic FeTe crystals. Nat Commun, 2020, 11: 3729 doi: 10.1038/s41467-020-17253-x
[4]
Li B, Wan Z, Wang C, et al. Van der Waals epitaxial growth of air-stable CrSe2 nanosheets with thickness-tunable magnetic order. Nat Mater, 2021, 20(6): 818 doi: 10.1038/s41563-021-00927-2
[5]
Bonilla M, Kolekar S, Ma Y J, et al. Strong room-temperature ferromagnetism in VSe2 monolayers on van der Waals substrates. Nat Nanotechnol, 2018, 13(4): 289 doi: 10.1038/s41565-018-0063-9
[6]
Hossain M, Qin B, Li B, et al. Synthesis, characterization, properties and applications of two-dimensional magnetic materials. Nano Today, 2022, 42: 101338 doi: 10.1016/j.nantod.2021.101338
[7]
Wang Z, Sapkota D, Taniguchi T, et al. Tunneling spin valves based on Fe3GeTe2/hBN/Fe3GeTe2 van der Waals heterostructures. Nano Lett, 2018, 18(7): 4303 doi: 10.1021/acs.nanolett.8b01278
[8]
Wang Z, Gutiérrez-Lezama I, Ubrig N, et al. Very large tunneling magnetoresistance in layered magnetic semiconductor CrI3. Nat Commun, 2018, 9: 2516 doi: 10.1038/s41467-018-04953-8
[9]
Xue Y Z, Liu H T, Zhang Y, et al. Van der Waals epitaxial growth and high-temperature ferrimagnetism in ultrathin crystalline magnetite (Fe3O4) nanosheets. J Mater Chem C, 2022, 10(18): 7058 doi: 10.1039/D2TC01007K
[10]
Puthirath Balan A, Radhakrishnan S, Woellner C F, et al. Exfoliation of a non-van der Waals material from iron ore hematite. Nat Nanotechnol, 2018, 13(7): 602 doi: 10.1038/s41565-018-0134-y
[11]
Wang Y Z, Wang P, Wang H, et al. Room-temperature magnetoelectric coupling in atomically thin ε-Fe2O3. Adv Mater, 2023, 35(7): 2209465 doi: 10.1002/adma.202209465
[12]
Freitas Cabral A J, Remédios C M R, Gratens X, et al. Effects of microstructure on the magnetic properties of polycrystalline NiMn2O4 spinel oxides. J Magn Magn Mater, 2019, 469: 108 doi: 10.1016/j.jmmm.2018.08.051
[13]
Liu X R, Singh S, Kirby B J, et al. Emergent magnetic state in (111)-oriented quasi-two-dimensional spinel oxides. Nano Lett, 2019, 19(12): 8381 doi: 10.1021/acs.nanolett.9b02159
[14]
Cheng R Q, Yin L, Wen Y, et al. Ultrathin ferrite nanosheets for room-temperature two-dimensional magnetic semiconductors. Nat Commun, 2022, 13: 5241 doi: 10.1038/s41467-022-33017-1
[15]
Dorini T T, Brix F, Chatelier C, et al. Two-dimensional oxide quasicrystal approximants with tunable electronic and magnetic properties. Nanoscale, 2021, 13(24): 10771 doi: 10.1039/D1NR02407H
[16]
Zhou Y, Chen Z F, Wu Z S, et al. Hybrid improper ferroelectricity and magnetoelectric coupling in a two-dimensional perovskite oxide. Phys Rev B, 2021, 103(22): 224409 doi: 10.1103/PhysRevB.103.224409
[17]
Ji D X, Cai S H, Paudel T R, et al. Freestanding crystalline oxide perovskites down to the monolayer limit. Nature, 2019, 570(7759): 87 doi: 10.1038/s41586-019-1255-7
[18]
Kum H S, Lee H, Kim S, et al. Heterogeneous integration of single-crystalline complex-oxide membranes. Nature, 2020, 578(7793): 75 doi: 10.1038/s41586-020-1939-z
[19]
Tang Y J, Smith D J, Zink B L, et al. Finite size effects on the moment and ordering temperature in antiferromagnetic CoO layers. Phys Rev B, 2003, 67(5): 054408 doi: 10.1103/PhysRevB.67.054408
[20]
Fontaíña-Troitiño N, Liébana-Viñas S, Rodriguez-Gonzalez B, et al. Room-temperature ferromagnetism in antiferromagnetic cobalt oxide nanooctahedra. Nano Lett, 2014, 14(2): 640 doi: 10.1021/nl4038533
[21]
Ravindra A V, Behera B C, Padhan P, et al. Tailoring of crystal phase and Néel temperature of cobalt monoxides nanocrystals with synthetic approach conditions. J Appl Phys, 2014, 116: 033912 doi: 10.1063/1.4890512
[22]
Chopra N, Li Y, Kumar K. Cobalt oxide-tungsten oxide nanowire heterostructures: fabrication and characterization. MRS Online Proc Libr, 2014, 1675(1): 191 doi: 10.1557/opl.2014.863
[23]
Li Y, Chopra N. Structural evolution of cobalt oxide–tungsten oxide nanowire heterostructures for photocatalysis. J Catal, 2015, 329: 514 doi: 10.1016/j.jcat.2015.06.015
[24]
Huang J W, Zhang Y, Ding Y. Rationally designed/constructed CoOx/WO3 anode for efficient photoelectrochemical water oxidation. ACS Catal, 2017, 7(3): 1841 doi: 10.1021/acscatal.7b00022
[25]
Jin W Y, Guo X L, Zhang J, et al. Ultrathin carbon coated CoO nanosheet arrays as efficient electrocatalysts for the hydrogen evolution reaction. Catal Sci Technol, 2019, 9(24): 6957 doi: 10.1039/C9CY01645G
[26]
Lin Z Y, Du C, Yan B, et al. Two-dimensional amorphous CoO photocatalyst for efficient overall water splitting with high stability. J Catal, 2019, 372: 299 doi: 10.1016/j.jcat.2019.03.025
[27]
Wang G T, Fan J H, Xie Y, et al. Monodisperse Y-type CoO hierarchical nanostructure/reduced graphene oxide for improved NO2 detection at room temperature with enhanced moisture resistance. Sens Actuat B Chem, 2023, 394: 134391 doi: 10.1016/j.snb.2023.134391
[28]
Liu W F, Zhang Z, Zhang Y N, et al. Interior and exterior decoration of transition metal oxide through Cu0/Cu+ Co-doping strategy for high-performance supercapacitor. Nano Micro Lett, 2021, 13(1): 61 doi: 10.1007/s40820-021-00590-x
[29]
Patra D C, Chakraborty P, Deka N, et al. Electrochemical nitric oxide detection using gold deposited cobalt oxide nanostructures. Chem Phys Lett, 2022, 802: 139795 doi: 10.1016/j.cplett.2022.139795
[30]
Nguyen T B, Huang C P, Doong R A, et al. CoO-3D ordered mesoporous carbon nitride (CoO@mpgCN) composite as peroxymonosulfate activator for the degradation of sulfamethoxazole in water. J Hazard Mater, 2021, 401: 123326 doi: 10.1016/j.jhazmat.2020.123326
[31]
Yu D D, Zhang Y, Yu H Q, et al. Low temperature synthesis of NiO/CoO nanostructures to enhance their low temperature oxygen reduction catalysis. Micron, 2022, 161: 103326 doi: 10.1016/j.micron.2022.103326
[32]
Yi C F, Huo J, Liu Z G. Co single atoms and CoO clusters over nitrogen–doped hollow carbon spheres for synergistic oxidation of aromatic alkanes. Chem Eng J, 2023, 467: 143541 doi: 10.1016/j.cej.2023.143541
[33]
Zhou N, Yang R, Zhai T. Two-dimensional non-layered materials. Mater Today Nano, 2019, 8: 100051 doi: 10.1016/j.mtnano.2019.100051
[34]
Wang Q S, Xu K, Wang Z X, et al. Van der Waals epitaxial ultrathin two-dimensional nonlayered semiconductor for highly efficient flexible optoelectronic devices. Nano Lett, 2015, 15(2): 1183 doi: 10.1021/nl504258m
[35]
Wang Q S, Safdar M, Xu K, et al. Van der Waals epitaxy and photoresponse of hexagonal tellurium nanoplates on flexible mica sheets. ACS Nano, 2014, 8(7): 7497 doi: 10.1021/nn5028104
[36]
Zhou J D, Zhu C, Zhou Y, et al. Composition and phase engineering of metal chalcogenides and phosphorous chalcogenides. Nat Mater, 2023, 22(4): 450 doi: 10.1038/s41563-022-01291-5
[37]
Karthika S, Radhakrishnan T K, Kalaichelvi P. A review of classical and nonclassical nucleation theories. Cryst Growth Des, 2016, 16(11): 6663 doi: 10.1021/acs.cgd.6b00794
[38]
Chen Y X, Liu J X, Zeng M Q, et al. Universal growth of ultra-thin III–V semiconductor single crystals. Nat Commun, 2020, 11: 3979 doi: 10.1038/s41467-020-17693-5
[39]
Chen C, Chen X D, Wu C W, et al. Air-stable 2D Cr5Te8 nanosheets with thickness-tunable ferromagnetism. Adv Mater, 2022, 34(2): 2107512
[40]
He X W, Zhang Y J, Yang X N, et al. Regulation strategies for CVD growth of non-layered 2D materials. Nano Res, 2026, 19(1): 94908214 doi: 10.26599/NR.2025.94908214
[41]
Zhao T G, Duan S J, Dou W Z, et al. Edge-dominated epitaxy of topological insulator Bi2Se3 with ultrabroadband response. ACS Nano, 2025, 19(28): 26055 doi: 10.1021/acsnano.5c06699
[42]
Zhao T G, Guo J X, Li T T, et al. Substrate engineering for wafer-scale two-dimensional material growth: strategies, mechanisms, and perspectives. Chem Soc Rev, 2023, 52(5): 1650 doi: 10.1039/D2CS00657J
[43]
Torelli P, Soares E A, Renaud G, et al. Nano-structuration of CoO film by misfit dislocations. Surf Sci, 2007, 601(13): 2651 doi: 10.1016/j.susc.2006.11.063
[44]
Yang G J, Gao D Q, Shi Z H, et al. Room temperature ferromagnetism in vacuum-annealed CoO nanospheres. J Phys Chem C, 2010, 114(50): 21989 doi: 10.1021/jp106818p
[45]
Biesinger M C, Payne B P, Grosvenor A P, et al. Resolving surface chemical states in XPS analysis of first row transition metals, oxides and hydroxides: Cr, Mn, Fe, Co and Ni. Appl Surf Sci, 2011, 257(7): 2717 doi: 10.1016/j.apsusc.2010.10.051
[46]
Cheng Y K, Xu J, Xiang J, et al. Bipolar magnetic semiconductors emerging in graphene nanoribbons with zigzag edges and internal defects. Phys Rev B, 2024, 110(8): 085141 doi: 10.1103/PhysRevB.110.085141
[47]
Hu W, Wang C, Tan H, et al. Embedding atomic cobalt into graphene lattices to activate room-temperature ferromagnetism. Nat Commun, 2021, 12: 1854 doi: 10.1038/s41467-021-22122-2
[48]
Gao Z S, Xin B J, Chen J B, et al. Above-room-temperature ferromagnetism in copper-doped two-dimensional chromium-based nanosheets. ACS Nano, 2023, 18(1): 703
Fig. 1.  (Color online) Synthesis of CoO nanosheets. (a) Schematic illustration of the CVD setup. (b-d) Structural models of CoO viewed along different crystallographic orientations. (e-f) OM images of CoO nanosheets with varying thicknesses. Scale bars: 10, 30, and 30 μm, respectively.

Fig. 2.  (Color online) Structural and chemical characterization of CoO nanosheets. (a) AFM image of an ultrathin CoO nanosheet; scale bar: 10 μm. (b) X-ray diffraction pattern of CoO nanosheets grown on a mica substrate. (c, d) X-ray photoelectron spectrum of the Co 2p and O 1s core level in as-grown CoO.

Fig. 3.  (Color online) Atomic-resolution structural analysis of CoO nanosheets. (a) Atomic-resolution HAADF-STEM image of a CoO nanosheet, with Co atoms highlighted in blue. Scale bar: 1 nm. (b) Corresponding selected-area electron diffraction pattern. Scale bar: 5 nm1. (c) Energy-dispersive X-ray spectroscopy analysis of the CoO nanosheet. (d) HAADF-STEM image of a triangular CoO nanosheet. Scale bar: 200 nm. (e, f) EDS elemental maps for Co and O, respectively. Scale bars: 200 nm.

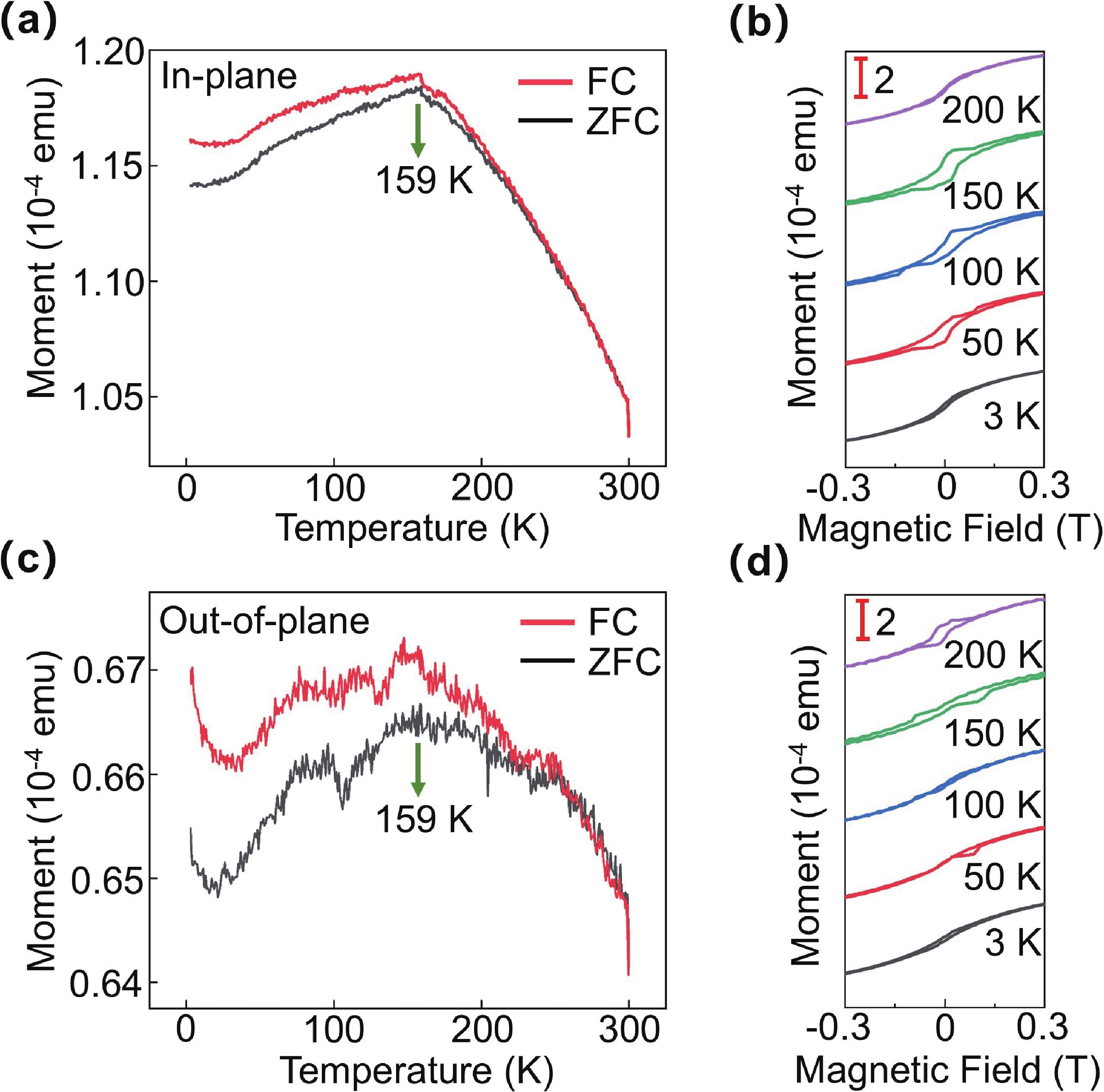
Fig. 4.  (Color online) Magnetic properties of CoO nanosheets on SiO2/Si substrates. (a) Zero-field-cooled and field-cooled magnetization curves measured under an in-plane magnetic field. (b) Magnetic hysteresis loops obtained at different temperatures under an in-plane field. (c) ZFC–FC magnetization curves measured under an out-of-plane magnetic field. (d) Magnetic hysteresis loops acquired at different temperatures under an out-of-plane field.

[1]
Huang B, Clark G, Navarro-Moratalla E, et al. Layer-dependent ferromagnetism in a van der Waals crystal down to the monolayer limit. Nature, 2017, 546(7657): 270 doi: 10.1038/nature22391
[2]
Gong C, Li L, Li Z L, et al. Discovery of intrinsic ferromagnetism in two-dimensional van der Waals crystals. Nature, 2017, 546(7657): 265 doi: 10.1038/nature22060
[3]
Kang L X, Ye C, Zhao X X, et al. Phase-controllable growth of ultrathin 2D magnetic FeTe crystals. Nat Commun, 2020, 11: 3729 doi: 10.1038/s41467-020-17253-x
[4]
Li B, Wan Z, Wang C, et al. Van der Waals epitaxial growth of air-stable CrSe2 nanosheets with thickness-tunable magnetic order. Nat Mater, 2021, 20(6): 818 doi: 10.1038/s41563-021-00927-2
[5]
Bonilla M, Kolekar S, Ma Y J, et al. Strong room-temperature ferromagnetism in VSe2 monolayers on van der Waals substrates. Nat Nanotechnol, 2018, 13(4): 289 doi: 10.1038/s41565-018-0063-9
[6]
Hossain M, Qin B, Li B, et al. Synthesis, characterization, properties and applications of two-dimensional magnetic materials. Nano Today, 2022, 42: 101338 doi: 10.1016/j.nantod.2021.101338
[7]
Wang Z, Sapkota D, Taniguchi T, et al. Tunneling spin valves based on Fe3GeTe2/hBN/Fe3GeTe2 van der Waals heterostructures. Nano Lett, 2018, 18(7): 4303 doi: 10.1021/acs.nanolett.8b01278
[8]
Wang Z, Gutiérrez-Lezama I, Ubrig N, et al. Very large tunneling magnetoresistance in layered magnetic semiconductor CrI3. Nat Commun, 2018, 9: 2516 doi: 10.1038/s41467-018-04953-8
[9]
Xue Y Z, Liu H T, Zhang Y, et al. Van der Waals epitaxial growth and high-temperature ferrimagnetism in ultrathin crystalline magnetite (Fe3O4) nanosheets. J Mater Chem C, 2022, 10(18): 7058 doi: 10.1039/D2TC01007K
[10]
Puthirath Balan A, Radhakrishnan S, Woellner C F, et al. Exfoliation of a non-van der Waals material from iron ore hematite. Nat Nanotechnol, 2018, 13(7): 602 doi: 10.1038/s41565-018-0134-y
[11]
Wang Y Z, Wang P, Wang H, et al. Room-temperature magnetoelectric coupling in atomically thin ε-Fe2O3. Adv Mater, 2023, 35(7): 2209465 doi: 10.1002/adma.202209465
[12]
Freitas Cabral A J, Remédios C M R, Gratens X, et al. Effects of microstructure on the magnetic properties of polycrystalline NiMn2O4 spinel oxides. J Magn Magn Mater, 2019, 469: 108 doi: 10.1016/j.jmmm.2018.08.051
[13]
Liu X R, Singh S, Kirby B J, et al. Emergent magnetic state in (111)-oriented quasi-two-dimensional spinel oxides. Nano Lett, 2019, 19(12): 8381 doi: 10.1021/acs.nanolett.9b02159
[14]
Cheng R Q, Yin L, Wen Y, et al. Ultrathin ferrite nanosheets for room-temperature two-dimensional magnetic semiconductors. Nat Commun, 2022, 13: 5241 doi: 10.1038/s41467-022-33017-1
[15]
Dorini T T, Brix F, Chatelier C, et al. Two-dimensional oxide quasicrystal approximants with tunable electronic and magnetic properties. Nanoscale, 2021, 13(24): 10771 doi: 10.1039/D1NR02407H
[16]
Zhou Y, Chen Z F, Wu Z S, et al. Hybrid improper ferroelectricity and magnetoelectric coupling in a two-dimensional perovskite oxide. Phys Rev B, 2021, 103(22): 224409 doi: 10.1103/PhysRevB.103.224409
[17]
Ji D X, Cai S H, Paudel T R, et al. Freestanding crystalline oxide perovskites down to the monolayer limit. Nature, 2019, 570(7759): 87 doi: 10.1038/s41586-019-1255-7
[18]
Kum H S, Lee H, Kim S, et al. Heterogeneous integration of single-crystalline complex-oxide membranes. Nature, 2020, 578(7793): 75 doi: 10.1038/s41586-020-1939-z
[19]
Tang Y J, Smith D J, Zink B L, et al. Finite size effects on the moment and ordering temperature in antiferromagnetic CoO layers. Phys Rev B, 2003, 67(5): 054408 doi: 10.1103/PhysRevB.67.054408
[20]
Fontaíña-Troitiño N, Liébana-Viñas S, Rodriguez-Gonzalez B, et al. Room-temperature ferromagnetism in antiferromagnetic cobalt oxide nanooctahedra. Nano Lett, 2014, 14(2): 640 doi: 10.1021/nl4038533
[21]
Ravindra A V, Behera B C, Padhan P, et al. Tailoring of crystal phase and Néel temperature of cobalt monoxides nanocrystals with synthetic approach conditions. J Appl Phys, 2014, 116: 033912 doi: 10.1063/1.4890512
[22]
Chopra N, Li Y, Kumar K. Cobalt oxide-tungsten oxide nanowire heterostructures: fabrication and characterization. MRS Online Proc Libr, 2014, 1675(1): 191 doi: 10.1557/opl.2014.863
[23]
Li Y, Chopra N. Structural evolution of cobalt oxide–tungsten oxide nanowire heterostructures for photocatalysis. J Catal, 2015, 329: 514 doi: 10.1016/j.jcat.2015.06.015
[24]
Huang J W, Zhang Y, Ding Y. Rationally designed/constructed CoOx/WO3 anode for efficient photoelectrochemical water oxidation. ACS Catal, 2017, 7(3): 1841 doi: 10.1021/acscatal.7b00022
[25]
Jin W Y, Guo X L, Zhang J, et al. Ultrathin carbon coated CoO nanosheet arrays as efficient electrocatalysts for the hydrogen evolution reaction. Catal Sci Technol, 2019, 9(24): 6957 doi: 10.1039/C9CY01645G
[26]
Lin Z Y, Du C, Yan B, et al. Two-dimensional amorphous CoO photocatalyst for efficient overall water splitting with high stability. J Catal, 2019, 372: 299 doi: 10.1016/j.jcat.2019.03.025
[27]
Wang G T, Fan J H, Xie Y, et al. Monodisperse Y-type CoO hierarchical nanostructure/reduced graphene oxide for improved NO2 detection at room temperature with enhanced moisture resistance. Sens Actuat B Chem, 2023, 394: 134391 doi: 10.1016/j.snb.2023.134391
[28]
Liu W F, Zhang Z, Zhang Y N, et al. Interior and exterior decoration of transition metal oxide through Cu0/Cu+ Co-doping strategy for high-performance supercapacitor. Nano Micro Lett, 2021, 13(1): 61 doi: 10.1007/s40820-021-00590-x
[29]
Patra D C, Chakraborty P, Deka N, et al. Electrochemical nitric oxide detection using gold deposited cobalt oxide nanostructures. Chem Phys Lett, 2022, 802: 139795 doi: 10.1016/j.cplett.2022.139795
[30]
Nguyen T B, Huang C P, Doong R A, et al. CoO-3D ordered mesoporous carbon nitride (CoO@mpgCN) composite as peroxymonosulfate activator for the degradation of sulfamethoxazole in water. J Hazard Mater, 2021, 401: 123326 doi: 10.1016/j.jhazmat.2020.123326
[31]
Yu D D, Zhang Y, Yu H Q, et al. Low temperature synthesis of NiO/CoO nanostructures to enhance their low temperature oxygen reduction catalysis. Micron, 2022, 161: 103326 doi: 10.1016/j.micron.2022.103326
[32]
Yi C F, Huo J, Liu Z G. Co single atoms and CoO clusters over nitrogen–doped hollow carbon spheres for synergistic oxidation of aromatic alkanes. Chem Eng J, 2023, 467: 143541 doi: 10.1016/j.cej.2023.143541
[33]
Zhou N, Yang R, Zhai T. Two-dimensional non-layered materials. Mater Today Nano, 2019, 8: 100051 doi: 10.1016/j.mtnano.2019.100051
[34]
Wang Q S, Xu K, Wang Z X, et al. Van der Waals epitaxial ultrathin two-dimensional nonlayered semiconductor for highly efficient flexible optoelectronic devices. Nano Lett, 2015, 15(2): 1183 doi: 10.1021/nl504258m
[35]
Wang Q S, Safdar M, Xu K, et al. Van der Waals epitaxy and photoresponse of hexagonal tellurium nanoplates on flexible mica sheets. ACS Nano, 2014, 8(7): 7497 doi: 10.1021/nn5028104
[36]
Zhou J D, Zhu C, Zhou Y, et al. Composition and phase engineering of metal chalcogenides and phosphorous chalcogenides. Nat Mater, 2023, 22(4): 450 doi: 10.1038/s41563-022-01291-5
[37]
Karthika S, Radhakrishnan T K, Kalaichelvi P. A review of classical and nonclassical nucleation theories. Cryst Growth Des, 2016, 16(11): 6663 doi: 10.1021/acs.cgd.6b00794
[38]
Chen Y X, Liu J X, Zeng M Q, et al. Universal growth of ultra-thin III–V semiconductor single crystals. Nat Commun, 2020, 11: 3979 doi: 10.1038/s41467-020-17693-5
[39]
Chen C, Chen X D, Wu C W, et al. Air-stable 2D Cr5Te8 nanosheets with thickness-tunable ferromagnetism. Adv Mater, 2022, 34(2): 2107512
[40]
He X W, Zhang Y J, Yang X N, et al. Regulation strategies for CVD growth of non-layered 2D materials. Nano Res, 2026, 19(1): 94908214 doi: 10.26599/NR.2025.94908214
[41]
Zhao T G, Duan S J, Dou W Z, et al. Edge-dominated epitaxy of topological insulator Bi2Se3 with ultrabroadband response. ACS Nano, 2025, 19(28): 26055 doi: 10.1021/acsnano.5c06699
[42]
Zhao T G, Guo J X, Li T T, et al. Substrate engineering for wafer-scale two-dimensional material growth: strategies, mechanisms, and perspectives. Chem Soc Rev, 2023, 52(5): 1650 doi: 10.1039/D2CS00657J
[43]
Torelli P, Soares E A, Renaud G, et al. Nano-structuration of CoO film by misfit dislocations. Surf Sci, 2007, 601(13): 2651 doi: 10.1016/j.susc.2006.11.063
[44]
Yang G J, Gao D Q, Shi Z H, et al. Room temperature ferromagnetism in vacuum-annealed CoO nanospheres. J Phys Chem C, 2010, 114(50): 21989 doi: 10.1021/jp106818p
[45]
Biesinger M C, Payne B P, Grosvenor A P, et al. Resolving surface chemical states in XPS analysis of first row transition metals, oxides and hydroxides: Cr, Mn, Fe, Co and Ni. Appl Surf Sci, 2011, 257(7): 2717 doi: 10.1016/j.apsusc.2010.10.051
[46]
Cheng Y K, Xu J, Xiang J, et al. Bipolar magnetic semiconductors emerging in graphene nanoribbons with zigzag edges and internal defects. Phys Rev B, 2024, 110(8): 085141 doi: 10.1103/PhysRevB.110.085141
[47]
Hu W, Wang C, Tan H, et al. Embedding atomic cobalt into graphene lattices to activate room-temperature ferromagnetism. Nat Commun, 2021, 12: 1854 doi: 10.1038/s41467-021-22122-2
[48]
Gao Z S, Xin B J, Chen J B, et al. Above-room-temperature ferromagnetism in copper-doped two-dimensional chromium-based nanosheets. ACS Nano, 2023, 18(1): 703

SI_20260304.pdf

  • Search

    Advanced Search >>

    GET CITATION

    shu

    Export: BibTex EndNote

    Article Metrics

    Article views: 9 Times PDF downloads: 0 Times Cited by: 0 Times

    History

    Received: 23 December 2025 Revised: 14 February 2025 Online: Accepted Manuscript: 18 March 2026

    Catalog

      Email This Article

      User name:
      Email:*请输入正确邮箱
      Code:*验证码错误
      Zidan Peng, Zengfu Li, Junkun Zhou, Liang Li, Bowen Yao, Jinchen Zan, Yechen Wang, Hongmei Zhang, Gang Peng, Guang Wang. Controllable synthesis of magnetic CoO nanosheets by chemical vapor deposition[J]. Journal of Semiconductors, 2026, In Press. doi: 10.1088/1674-4926/25120039 ****Z D Peng, Z F Li, J K Zhou, L Li, B W Yao, J C Zan, Y C Wang, H M Zhang, G Peng, and G Wang, Controllable synthesis of magnetic CoO nanosheets by chemical vapor deposition[J]. J. Semicond., 2026, accepted doi: 10.1088/1674-4926/25120039
      Citation:
      Zidan Peng, Zengfu Li, Junkun Zhou, Liang Li, Bowen Yao, Jinchen Zan, Yechen Wang, Hongmei Zhang, Gang Peng, Guang Wang. Controllable synthesis of magnetic CoO nanosheets by chemical vapor deposition[J]. Journal of Semiconductors, 2026, In Press. doi: 10.1088/1674-4926/25120039 ****
      Z D Peng, Z F Li, J K Zhou, L Li, B W Yao, J C Zan, Y C Wang, H M Zhang, G Peng, and G Wang, Controllable synthesis of magnetic CoO nanosheets by chemical vapor deposition[J]. J. Semicond., 2026, accepted doi: 10.1088/1674-4926/25120039

      Controllable synthesis of magnetic CoO nanosheets by chemical vapor deposition

      DOI: 10.1088/1674-4926/25120039
      CSTR: 32376.14.1674-4926.25120039
      More Information
      • Zidan Peng got his bachelor’s degree in 2011 from the National University of Defense Technology. He is currently a graduate student at the National University of Defense Technology under the supervision of Prof. Guang Wang. His research focuses on CVD growth and characterization of two-dimensional semiconductors
      • Hongmei Zhang received her doctoral degree in 2023 from Hunan University, China. She is currently an associate professor at the National University of Defense Technology, China. Her research focuses on CVD growth and characterization of two-dimensional semiconductors
      • Guang Wang received his doctoral degree from Tsinghua University, China. He is currently a professor at the National University of Defense Technology, China. His current research interests include semiconductor physics and devices, as well as low-dimensional quantum materials
      • Corresponding author: zhanghongmei@nudt.edu.cnwangguang@nudt.edu.cn
      • Received Date: 2025-12-23
      • Revised Date: 2025-02-14
      • Available Online: 2026-03-18

      Catalog

        /

        DownLoad:  Full-Size Img  PowerPoint
        Return
        Return