| Citation: |
Xiaoping Zhou, Rui Ren, Yanan Guo, Jianchang Yan, Zhicong Li, Yiyun Zhang, Xiaoyan Yi, Junxi Wang, Jinmin Li. Color modulation in GaN-based blue-green dual-wavelength light-emitting diodes[J]. Journal of Semiconductors, 2026, In Press. doi: 10.1088/1674-4926/26030016
****
X P Zhou, R Ren, Y N Guo, J C Yan, Z C Li, Y Y Zhang, X Y Yi, J X Wang, and J M Li, Color modulation in GaN-based blue-green dual-wavelength light-emitting diodes[J]. J. Semicond., 2026, accepted doi: 10.1088/1674-4926/26030016
|
Color modulation in GaN-based blue-green dual-wavelength light-emitting diodes
DOI: 10.1088/1674-4926/26030016
CSTR: 32376.14.1674-4926.26030016
More Information-
Abstract
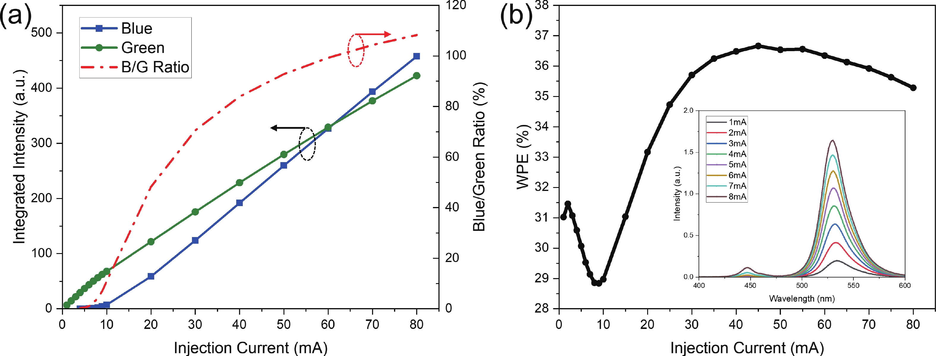
III-nitride semiconductors with continuously tunable bandgaps are promising for white light emission and full-color displays. The mainstream RGB LED integration approach suffers from low long-wavelength efficiency and complex packaging. Herein, we demonstrate a novel single-chip dual-wavelength LED structure, which integrates blue (upper) and green (bottom) multiple quantum wells (MQWs) separated by a GaN intermediate spacer layer. The device exhibits two distinct emission peaks at 446 and 528 nm, with excellent luminescence stability. We investigate the role of the spacer layer and reveal its critical effect on the carrier distribution and radiative recombination behavior. The maximum wall-plug efficiency (WPE) of the device reaches approximately 36.7%, and its abnormal droop curve indicates a transition of the green emission mechanism from electroluminescence (EL) to photoluminescence (PL). By tuning the injection current, the dual-wavelength LED achieves a continuous color transition from green to blue, which corresponds to chromaticity coordinates ranging from (0.2584, 0.7098) to (0.1771, 0.2649) in the CIE 1931 chromaticity diagram. This work provides a feasible and flexible strategy for emission color modulation, and also lays a foundation for the development of high-performance solid-state lighting devices.-
Keywords:
- InGaN,
- light-emitting diode,
- color modulation
-
References
[1] Feneberg M, Leute R A R, Neuschl B, et al. High-excitation and high-resolution photoluminescence spectra of bulk AlN. Phys Rev B, 2010, 82(7): 075208 doi: 10.1103/PhysRevB.82.075208[2] Matsuoka T, Okamoto H, Nakao M, et al. Optical bandgap energy of wurtzite InN. Appl Phys Lett, 2002, 81(7): 1246 doi: 10.1063/1.1499753[3] Zhao X Y, Sun K, Cui S Y, et al. Recent progress in long-wavelength InGaN light-emitting diodes from the perspective of epitaxial structure. Adv Photonics Res, 2023, 4(9): 2300061[4] Jiang L R, Liu J P, Tian A Q, et al. GaN-based green laser diodes. J Semicond, 2016, 37(11): 111001 doi: 10.1088/1674-4926/37/11/111001[5] Liu X Y, Lin R Z, Chen H L, et al. High-bandwidth InGaN self-powered detector arrays toward MIMO visible light communication based on micro-LED arrays. ACS Photonics, 2019, 6(12): 3186 doi: 10.1021/acsphotonics.9b00799[6] He Y X, Li L H, Xiao J Y, et al. Recent progress of indium-bearing group-III nitrides and devices: A review. Opt Quantum Electron, 2024, 56(9): 1533 doi: 10.1007/s11082-024-07459-4[7] Zhang X F, Li Z C, Zhang Y Y, et al. Heterogeneously integrated InGaN-based green microdisk light-emitters on Si (100). Opt Express, 2022, 30(15): 26676 doi: 10.1364/OE.462422[8] Song W R, Zhang X F, Zhou X P, et al. Low-threshold green lasing in heterogeneously integrated InGaN-based micro-rings covered by distributed Bragg reflectors on Si (100). Opt Express, 2024, 32(16): 27431 doi: 10.1364/OE.530118[9] Phillips J M, Coltrin M E, Crawford M H, et al. Research challenges to ultra-efficient inorganic solid-state lighting. Laser Photonics Rev, 2007, 1(4): 307[10] Tsao J Y, Crawford M H, Coltrin M E, et al. Toward smart and ultra-efficient solid-state lighting. Adv Opt Mater, 2014, 2(9): 809[11] Crawford M H. LEDs for solid-state lighting: Performance challenges and recent advances. IEEE J Sel Top Quantum Electron, 2009, 15(4): 1028 doi: 10.1109/JSTQE.2009.2013476[12] Narukawa Y, Ichikawa M, Sanga D, et al. White light emitting diodes with super-high luminous efficacy. J Phys D Appl Phys, 2010, 43(35): 354002 doi: 10.1088/0022-3727/43/35/354002[13] Lv Q J, Liu J L, Mo C L, et al. Realization of highly efficient InGaN green LEDs with sandwich-like multiple quantum well structure: Role of enhanced interwell carrier transport. ACS Photonics, 2019, 6(1): 130 doi: 10.1021/acsphotonics.8b01040[14] Zhao Y B, Kang J J, Li P P, et al. Ultra-highly efficient InGaN green mini-light-emitting diodes with a peak external quantum efficiency of 65% with Al-treatment on the InGaN quantum wells. Appl Phys Express, 2025, 18(8): 082001 doi: 10.35848/1882-0786/adf593[15] Elhajhasan M, Seemann W, Dudde K, et al. Optical and thermal characterization of a group-III nitride semiconductor membrane by microphotoluminescence spectroscopy and Raman thermometry. Phys Rev B, 2023, 108(23): 235313 doi: 10.1103/PhysRevB.108.235313[16] Xing K, Zeng H, Ru Z, et al. InGaN-based red LEDs with 682nm emission and 9.2% EQE enabled by a stress-relief template. J Alloys Compd, 2025, 1038: 182772 doi: 10.1016/j.jallcom.2025.182772[17] Li P P, David A, Li H J, et al. High-temperature electroluminescence propeteries of InGaN red 40 × 40 μm2 micro-light-emitting diodes with a peak external quantum efficiency of 3.2%. Appl Phys Lett, 2021, 119(23): 231101 doi: 10.1063/5.0070275[18] Gessmann T, Schubert E F. High-efficiency AlGaInP light-emitting diodes for solid-state lighting applications. J Appl Phys, 2004, 95(5): 2203 doi: 10.1063/1.1643786[19] Gou F W, Hsiang E L, Tan G J, et al. Angular color shift of micro-LED displays. Opt Express, 2019, 27(12): A746 doi: 10.1364/OE.27.00A746[20] Li D, Liu S F, Qian Z Y, et al. Deep-ultraviolet micro-LEDs exhibiting high output power and high modulation bandwidth simultaneously. Adv Mater, 2022, 34(19): 2109765[21] Liu Z Q, Liu B Y, Ren F, et al. Atomic-scale mechanism of spontaneous polarity inversion in AlN on nonpolar sapphire substrate grown by MOCVD. Small, 2022, 18(16): 2200057 doi: 10.1002/smll.202200057[22] Yin H B, Wang X L, Ran J X, et al. High quality GaN-based LED epitaxial layers grown in a homemade MOCVD system. J Semicond, 2011, 32(3): 033002 doi: 10.1088/1674-4926/32/3/033002[23] Arteev D S, Karpov S Y, Sakharov A V, et al. Emission spectrum control in monolithic blue-cyan dichromatic light-emitting diodes. Semicond Sci Technol, 2020, 35(4): 045017 doi: 10.1088/1361-6641/ab74ef[24] Sheu J K, Chen F B, Wang Y C, et al. Warm-white light-emitting diode with high color rendering index fabricated by combining trichromatic InGaN emitter with single red phosphor. Opt Express, 2015, 23(7): A232 doi: 10.1364/OE.23.00A232[25] Li Y F, Liu C, Zhang Y L, et al. Realizing single chip white light InGaN LED via dual-wavelength multiple quantum wells. Materials, 2022, 15(11): 3998[26] Charash R, Maaskant P P, Lewis L, et al. Carrier distribution in InGaN/GaN tricolor multiple quantum well light emitting diodes. Appl Phys Lett, 2009, 95(15): 151103 doi: 10.1063/1.3244203[27] Zhao Y K, Yun F, Wang S, et al. Modulating dual-wavelength multiple quantum wells in white light emitting diodes to suppress efficiency droop and improve color rendering index. J Appl Phys, 2015, 118(14): 145702 doi: 10.1063/1.4933070[28] Karpov S Y, Cherkashin N A, Lundin W V, et al. Multi-color monolithic III-nitride light-emitting diodes: Factors controlling emission spectra and efficiency. Phys Status Solidi A, 2016, 213(1): 19[29] Fan B J, Zhao X Y, Zhang J Q, et al. Monolithically integrating III-nitride quantum structure for full-spectrum white LED via bandgap engineering heteroepitaxial growth. Laser Photonics Rev, 2023, 17(3): 2200455 doi: 10.1002/lpor.202200455[30] Matsui K, Yamashita K, Kaga M, et al. Carrier injections in nitride-based light emitting diodes including two active regions with Mg-doped intermediate layers. Jpn J Appl Phys, 2013, 52(8S): 08JG02 doi: 10.7567/JJAP.52.08JG02[31] Zhao X Y, Zhou S J. Electroluminescence and temperature-dependent time-resolved photoluminescence of monolithically integrated triple-wavelength InGaN-based LED. Opt Lett, 2023, 48(24): 6492 doi: 10.1364/OL.508143[32] Lu Y, Guo Y N, Liu Z Y, et al. Monolithic integration of deep ultraviolet and visible light-emitting diodes for radiative sterilization application. Appl Phys Lett, 2024, 124(11): 111102 doi: 10.1063/5.0180411[33] Si Z, Wei T B, Zhang N, et al. Improvement of carrier distribution in dual wavelength light-emitting diodes. J Semicond, 2013, 34(5): 054008 doi: 10.1088/1674-4926/34/5/054008[34] Mirhosseini R, Schubert M F, Chhajed S, et al. Improved color rendering and luminous efficacy in phosphor-converted white light-emitting diodes by use of dual-blue emitting active regions. Opt Express, 2009, 17(13): 10806 doi: 10.1364/OE.17.010806[35] Kholopova Y, Khmyrova I, Larkin S, et al. Blue-green InGaN/GaN light-emitting diode with mesh-like top metal electrode. Microelectron Eng, 2017, 174: 80 doi: 10.1016/j.mee.2017.02.014[36] Zhang L, Ding K, Liu N X, et al. Theoretical study of polarization-doped GaN-based light-emitting diodes. Appl Phys Lett, 2011, 98(10): 101110 doi: 10.1063/1.3565173[37] Chang J Y, Kuo Y K. Advantages of blue InGaN light-emitting diodes with composition-graded barriers and electron-blocking layer. Phys Status Solidi A, 2013, 210(6): 1103[38] Verzellesi G, Saguatti D, Meneghini M, et al. Efficiency droop in InGaN/GaN blue light-emitting diodes: Physical mechanisms and remedies. J Appl Phys, 2013, 114(7): 071101 doi: 10.1063/1.4816434[39] Han S H, Lee D Y, Lee S J, et al. Effect of electron blocking layer on efficiency droop in InGaN/GaN multiple quantum well light-emitting diodes. Appl Phys Lett, 2009, 94(23): 231123 doi: 10.1063/1.3153508[40] Hangleiter A. Recombination dynamics in GaInN/GaN quantum wells. Semicond Sci Technol, 2019, 34(7): 073002 doi: 10.1088/1361-6641/ab2788 -
Proportional views



Xiaoping Zhou got his BS from University of Science and Technology Beijing. Now he is a master’s student at University of Chinese Academy of Sciences under the supervision of Prof. Yiyun Zhang. His research focuses on GaN-based LEDs and lasers.
Yiyun Zhang received his BS degree from Xidian University in 2008, M.Sc. degree from University of Chinese Academy of Sciences in 2012, and Ph.D. degree from The University of Hong Kong in 2016. From 2016 to 2019, he was a postdoctoral researcher at the Center for Quantum Devices, Northwestern University, USA. In 2019, he joined the Lighting R & D Center (now the R & D Center for Wide-Bandgap Semiconductors), Institute of Semiconductors, CAS. His current research interests include GaN-based optoelectronic devices and their heterogeneous integration on Si, ultra-wide bandgap semiconductors (Ga2O3, diamond) for optoelectronic & power electronic devices, and semiconductor infrared detectors.
DownLoad:







