| Citation: |
Haozhe Ruan, Yongkang Liu, Jianyu Wang, Linjiang Xie, Yixuan Wang, Mengting Dong, Zhangting Wu, Liang Zheng. Ultra-fast and high-responsivity self-powered vis−NIR photodetector via surface charge transfer doping in MoTe2/ReS2 heterostructures[J]. Journal of Semiconductors, 2026, 47(1): 012701. doi: 10.1088/1674-4926/25060013
****
H Z Ruan, Y K Liu, J Y Wang, L J Xie, Y X Wang, M T Dong, Z T Wu, and L Zheng, Ultra-fast and high-responsivity self-powered vis−NIR photodetector via surface charge transfer doping in MoTe2/ReS2 heterostructures[J]. J. Semicond., 2026, 47(1): 012701 doi: 10.1088/1674-4926/25060013
|
Ultra-fast and high-responsivity self-powered vis−NIR photodetector via surface charge transfer doping in MoTe2/ReS2 heterostructures
DOI: 10.1088/1674-4926/25060013
CSTR: 32376.14.1674-4926.25060013
More Information-
Abstract
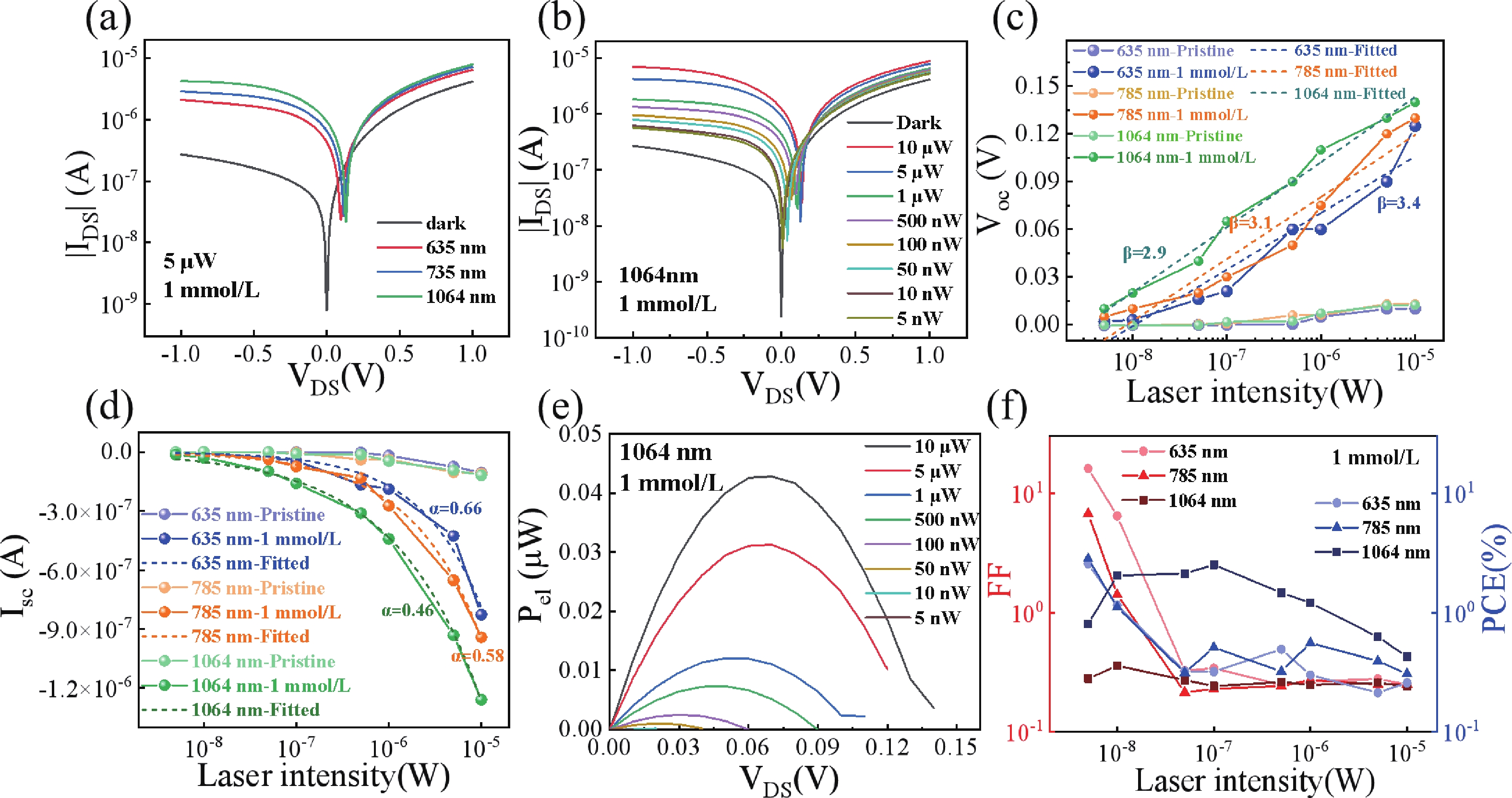
The development of optoelectronic technologies demands photodetectors with miniaturization, broadband operation, high sensitivity, and low power consumption. Although 2D van der Waals (vdW) heterostructures are promising candidates due to their built-in electric fields, ultrafast photocarrier separation, and tunable bandgaps, defect states limit their performance. Therefore, the modulation of the optoelectronic properties in such heterostructures is imperative. Surface charge transfer doping (SCTD) has emerged as a promising strategy for non-destructive modulation of electronic and optoelectronic characteristics in two-dimensional materials. In this work, we demonstrate the construction of high-performance p−i−n vertical heterojunction photodetectors through SCTD of MoTe2/ReS2 heterostructure using p-type F4-TCNQ. Systematic characterization reveals that the interfacial doping process effectively amplifies the built-in electric field, enhancing photogenerated carrier separation efficiency. Compared to the pristine heterojunction device, the doped photodetector exhibits remarkable visible to near-infrared (635−1064 nm) performance. Particularly under 1064 nm illumination at zero bias, the device achieves a responsivity of 2.86 A/W and specific detectivity of 1.41 × 1012 Jones. Notably, the external quantum efficiency reaches an exceptional value of 334% compared to the initial 11.5%, while maintaining ultrafast response characteristics with rise/fall times of 11.6/15.6 μs. This work provides new insights into interface engineering through molecular doping for developing high-performance vdW optoelectronic devices. -
References
[1] Long M S, Wang P, Fang H H, et al. Progress, challenges, and opportunities for 2D material based photodetectors. Adv Funct Materials, 2019, 29(19): 1803807 doi: 10.1002/adfm.201803807[2] Huo N J, Konstantatos G. Recent progress and future prospects of 2D-based photodetectors. Adv Mater, 2018, 30(51): e1801164 doi: 10.1002/adma.201801164[3] Shao K W, Weng Z J, Nan H Y, et al. High-performance, broadband, and self-driven photodetector based on MoTe2 homojunction with asymmetrical contact interfaces. Appl Phys Lett, 2025, 126(9): 091904 doi: 10.1063/5.0254935[4] Duan S J, Zhao T G, et al. Controlled synthesis of Bi2O2Te nanosheets for high-performance broadband photodetectors. ACS Photonics, 2025, 12(6): 3198 doi: 10.1021/acsphotonics.5c00570[5] Wang Z, Tan C H, Peng M, et al. Giant infrared bulk photovoltaic effect in tellurene for broad-spectrum neuromodulation. Light Sci Appl, 2024, 13(1): 277 doi: 10.1038/s41377-024-01640-w[6] Liang S J, Cheng B, Cui X Y, et al. Van der waals heterostructures for high-performance device applications: Challenges and opportunities. Adv Mater, 2020, 32(27): 1903800 doi: 10.1002/adma.201903800[7] Qiao H, Huang Z Y, Ren X H, et al. Self-powered photodetectors based on 2D materials. Adv Opt Mater, 2020, 8: 1900765 doi: 10.1002/adom.201900765[8] Zhao T G, Guo J X, Li T T, et al. Substrate engineering for wafer-scale two-dimensional material growth: Strategies, mechanisms, and perspectives. Chem Soc Rev, 2023, 52(5): 1650 doi: 10.1039/D2CS00657J[9] Nourbakhsh A, Zubair A, Dresselhaus M S, et al. Transport properties of a MoS2/WSe2 heterojunction transistor and its potential for application. Nano Lett, 2016, 16(2): 1359 doi: 10.1021/acs.nanolett.5b04791[10] Lee G, Pearton S J, Ren F, et al. Two-dimensionally layered p-black phosphorus/n-MoS2/p-black phosphorus heterojunctions. ACS Appl Mater Interfaces, 2018, 10(12): 10347 doi: 10.1021/acsami.7b19334[11] Zhao H J, Wang Y F, Tang S Y, et al. Fast and high-responsivity MoS2/MoSe2 heterostructure photodetectors enabled by van der Waals contact interfaces. Appl Phys Lett, 2024, 125(3): 033102 doi: 10.1063/5.0218977[12] Zhao T G, Chen Y, Xu T F, et al. Topological insulator Bi2Se3 heterojunction with a low dark current for midwave infrared photodetection. ACS Photonics, 2024, 11(6): 2450 doi: 10.1021/acsphotonics.4c00347[13] Jiang Y R, Wang R Q, Li X P, et al. Photovoltaic field-effect photodiodes based on double van der waals heterojunctions. ACS Nano, 2021, 15(9): 14295 doi: 10.1021/acsnano.1c02830[14] Xu J P, Luo X G, Lin X, et al. Approaching the robust linearity in dual-floating van der waals photodiode. Adv Funct Materials, 2024, 34(12): 2310811 doi: 10.1002/adfm.202310811[15] Wang J, Liu C L, Zhang L B, et al. Selective enhancement of photoresponse with ferroelectric-controlled BP/In2Se3 vdW heterojunction. Adv Sci, 2023, 10(11): e2205813 doi: 10.1002/advs.202205813[16] Hu W N, Wang H, Dong J G, et al. Chemical dopant-free controlled MoTe2/MoSe2 heterostructure toward a self-driven photodetector and complementary logic circuits. ACS Appl Mater Interfaces, 2023, 15(14): 18182 doi: 10.1021/acsami.2c21785[17] Huo N J, Konstantatos G. Ultrasensitive all-2D MoS2 phototransistors enabled by an out-of-plane MoS2 PN homojunction. Nat Commun, 2017, 8: 572 doi: 10.1038/s41467-017-00722-1[18] Mouri S, Miyauchi Y, Matsuda K. Tunable photoluminescence of monolayer MoS2 via chemical doping. Nano Lett, 2013, 13(12): 5944 doi: 10.1021/nl403036h[19] Jo S H, Kang D H, Shim J, et al. A high-performance WSe2/h-BN photodetector using a triphenylphosphine (PPh3)-based n-doping technique. Adv Mater, 2016, 28(24): 4824 doi: 10.1002/adma.201600032[20] Jo S H, Park H Y, Kang D H, et al. Photodetectors: Broad detection range rhenium diselenide photodetector enhanced by (3-aminopropyl)triethoxysilane and triphenylphosphine treatment (adv. mater. 31/2016). Adv Mater, 2016, 28(31): 6518 doi: 10.1002/adma.201670212[21] Liu F C, Zheng S J, He X X, et al. Highly sensitive detection of polarized light using anisotropic 2D ReS2. Adv Funct Materials, 2016, 26(8): 1169 doi: 10.1002/adfm.201504546[22] Yamamoto M, Wang S T, Ni M Y, et al. Strong enhancement of Raman scattering from a bulk-inactive vibrational mode in few-layer MoTe2. ACS Nano, 2014, 8(4): 3895 doi: 10.1021/nn5007607[23] Kim J H, Bergren M R, Park J C, et al. Carrier multiplication in van der Waals layered transition metal dichalcogenides. Nat Commun, 2019, 10(1): 5488 doi: 10.1038/s41467-019-13325-9[24] Li Y Z, Pan J Y, Yan C X, et al. Efficient carrier multiplication in self-powered near-ultraviolet γ-InSe/graphene heterostructure photodetector with external quantum efficiency exceeding 161. Nano Lett, 2024, 24(24): 7252 doi: 10.1021/acs.nanolett.4c01238[25] Ma P, Flöry N, Salamin Y, et al. Fast MoTe2 waveguide photodetector with high sensitivity at telecommunication wavelengths. ACS Photonics, 2018, 5(5): 1846 doi: 10.1021/acsphotonics.8b00068[26] Zhao D Y, Chen Y, Jiang W, et al. Gate-tunable photodiodes based on mixed-dimensional Te/MoTe2 van der waals heterojunctions. Adv Elect Materials, 2021, 7(5): 2001066 doi: 10.1002/aelm.202001066[27] Chen Y, Wang X D, Wu G J, et al. High-performance photovoltaic detector based on MoTe2/MoS2 van der waals heterostructure. Small, 2018, 14(9): 1703293 doi: 10.1002/smll.201703293[28] Chen J, Shan Y, Wang Q, et al. P-type laser-doped WSe2/MoTe2 van der Waals heterostructure photodetector. Nanotechnology, 2020, 31(29): 295201 doi: 10.1088/1361-6528/ab87cd[29] Luo H, Wang B L, Wang E Z, et al. High-responsivity photovoltaic photodetectors based on MoTe2/MoSe2 van der waals heterojunctions. Crystals, 2019, 9(6): 315 doi: 10.3390/cryst9060315[30] Varghese A, Saha D, Thakar K, et al. Near-direct bandgap WSe2/ReS2 type-II pn heterojunction for enhanced ultrafast photodetection and high-performance photovoltaics. Nano Lett, 2020, 20(3): 1707 doi: 10.1021/acs.nanolett.9b04879[31] Lezama I G, Ubaldini A, Longobardi M, et al. Surface transport and band gap structure of exfoliated 2H-MoTe2 crystals. 2D Mater, 2014, 1(2): 021002 doi: 10.1088/2053-1583/1/2/021002 -
Supplements
Supplementary_Materials.pdf
-
Proportional views



Haozhe Ruan received his bachelor’s degree in 2024 from Hangzhou Dianzi University. Now he is a graduate student at Hangzhou Dianzi University under the supervision of Prof. Zhangting Wu. His research focuses on two-dimensional vertical heterojunction photodetectors.
Zhangting Wu, Associate Professor at the School of Electronics and Information Engineering, Hangzhou Dianzi University (HDU), specializes in electrical/optoelectronic properties of 2D materials and heterostructures. She earned her Ph.D. from Southeast University (2017), joined HDU in 2018, and was a Visiting Scholar at Zhejiang University (2024−2025). Supported by grants from the National Natural Science Foundation of China (NSFC) and Zhejiang Provincial Natural Science Foundation, she has published multiple first/corresponding-author papers in journals including ACS Nano, Nano Research, ACS Appl. Mater. Interfaces, Chem. Soc. Rev., and Nanophotonics.
Liang Zheng, Professor and PhD Supervisor at Hangzhou Dianzi University (HDU), held successive roles as Department Head (Electronic Science & Technology, 2013−2019), Deputy Director (Advanced Technology Institute, 2019−2023), and currently as Deputy Director of Personnel Office (since 2023). He secured projects including a National Key R&D sub-project, NSFC grant, ZBFZB key initiative, two Zhejiang NSF grants, two public welfare projects, and a Young Talent Program; co-directed two defense projects (GF Pre-research, JWKJW Innovation Zone); authored >60 SCI papers. His research spans field-induced electron emission, power device packaging/thermal management, sensor fault diagnosis, and EMI suppression.
DownLoad:







