| Citation: |
Rui Zhao, Haizhong Weng, Qing Wan. Optimal design of heterogeneously integrated silicon nitride-lithium niobate modulator[J]. Journal of Semiconductors, 2026, In Press. doi: 10.1088/1674-4926/25120032
****
R Zhao, H Z Weng, and Q Wan, Optimal design of heterogeneously integrated silicon nitride-lithium niobate modulator[J]. J. Semicond., 2026, 47(6): 062401 doi: 10.1088/1674-4926/25120032
|
Optimal design of heterogeneously integrated silicon nitride-lithium niobate modulator
DOI: 10.1088/1674-4926/25120032
CSTR: 32376.14.1674-4926.25120032
More Information-
Abstract
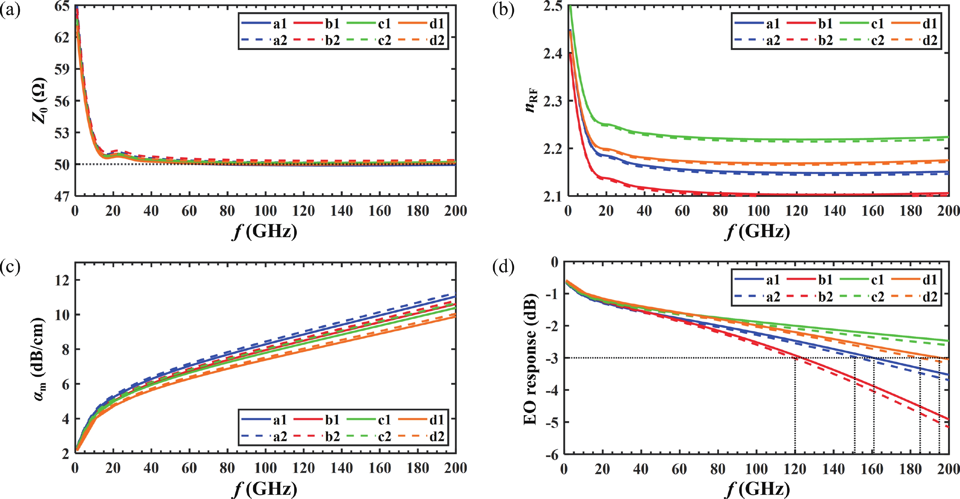
Heterogeneously integrated lithium niobate (LN) electro-optic modulators have great potential for high-speed applications, but challenges remain in optimizing performance, particularly in terms of modulation efficiency, bandwidth, and the trade-offs. This work presents an optimized design for a silicon-nitride (Si3N4)-loaded modulator on a thin-film lithium niobate (TFLN) platform, consisting of 300 nm-thick LN film and 300 nm-thick Si3N4 optical waveguide. By systematically optimizing the dielectric layer thickness, electrode parameters, and achieving velocity and impedance matching, we demonstrate a modulator with a bandwidth exceeding 200 GHz. Our collaborative optimization scheme highlights the critical role of reducing the silicon oxide box layer thickness for velocity matching. We show that multiple structural configurations can achieve bandwidths greater than 120 GHz with Vπ·L< 4 V·cm, providing feasibility in low-loss design and fabrication. These findings offer valuable design guidelines for high-performance electro-optic modulators suitable for data communications. -
References
[1] Wang C, Zhang M, Chen X, et al. Integrated lithium niobate electro-optic modulators operating at CMOS-compatible voltages. Nature, 2018, 562(7725): 101 doi: 10.1038/s41586-018-0551-y[2] Desiatov B, Shams-Ansari A, Zhang M, et al. Ultra-low-loss integrated visible photonics using thin-film lithium niobate. Optica, 2019, 6(3): 380 doi: 10.1364/OPTICA.6.000380[3] Luke K, Kharel P, Reimer C, et al. Wafer-scale low-loss lithium niobate photonic integrated circuits. Opt Express, 2020, 28(17): 24452 doi: 10.1364/OE.401959[4] He M B, Xu M Y, Ren Y X, et al. High-performance hybrid silicon and lithium niobate Mach–Zehnder modulators for 100 Gbit s−1 and beyond. Nat Photonics, 2019, 13(5): 359 doi: 10.1038/s41566-019-0378-6[5] Weigel P O, Zhao J, Fang K, et al. Bonded thin film lithium niobate modulator on a silicon photonics platform exceeding 100 GHz 3-dB electrical modulation bandwidth. Opt Express, 2018, 26(18): 23728 doi: 10.1364/OE.26.023728[6] Valdez F, Mere V, Wang X X, et al. 110 GHz, 110 mW hybrid silicon-lithium niobate Mach-Zehnder modulator. Sci Rep, 2022, 12: 18611 doi: 10.1038/s41598-022-23403-6[7] Tan Y, Niu S P, Billet M, et al. Micro-transfer printed thin film lithium niobate (TFLN)-on-silicon ring modulator. ACS Photonics, 2024, 11(5): 1920 doi: 10.1021/acsphotonics.3c01869[8] Jin S L, Xu L T, Zhang H H, et al. LiNbO3 thin-film modulators using silicon nitride surface ridge waveguides. IEEE Photonics Technol Lett, 2016, 28(7): 736 doi: 10.1109/LPT.2015.2507136[9] Ahmed A N R, Shi S Y, Mercante A, et al. High-efficiency lithium niobate modulator for K band operation. APL Photonics, 2020, 5(9): 091302 doi: 10.1063/5.0020040[10] Zhang P, Huang H J, Jiang Y H, et al. High-speed electro-optic modulator based on silicon nitride loaded lithium niobate on an insulator platform. Opt Lett, 2021, 46(23): 5986 doi: 10.1364/OL.446222[11] Qi Y F, Yue G C, Hao T, et al. Strong-confinement low-index-rib-loaded waveguide structure for etchless thin-film integrated photonics. Opto Electron Adv, 2025, 8(9): 250056 doi: 10.29026/oea.2025.250056[12] Valdez F, Mere V, Mookherjea S. 100 GHz bandwidth, 1 volt integrated electro-optic Mach–Zehnder modulator at near-IR wavelengths. Optica, 2023, 10(5): 578 doi: 10.1364/OPTICA.484549[13] Rahman A, Valdez F, Mere V, et al. High-performance hybrid lithium niobate electro-optic modulators integrated with low-loss silicon nitride waveguides on a wafer-scale silicon photonics platform. arXiv, 2025: 2504.00311 doi: https://arxiv.org/abs/2504.00311[14] Shen J, Zhang Y, Zhang L, et al. Highly efficient slow-light Mach–Zehnder modulator achieving 0.21 V∙cm efficiency with bandwidth surpassing 110 GHz (laser photonics rev. 19(8)/2025). Laser Photonics Rev, 2025, 19(8): 2570031 doi: 10.1002/lpor.202570031[15] Ben Braham C, Belarouci A, Alonso-Ramos C, et al. Silicon-rich silicon nitride on lithium niobate thin film modulators with 100 GHz electro-optical bandwidth in the C-band. 2025 IEEE Silicon Photonics Conference (SiPhotonics), 2025: 1[16] Li Z Y, Chen Y, Zhang J M, et al. Hybrid silicon nitride/lithium niobate electro-optical modulator with wide optical bandwidth and high RF bandwidth based on ion-cut wafer-level bonding technology. 2025: Th1E. 1[17] Snigirev V, Riedhauser A, Lihachev G, et al. Ultrafast tunable lasers using lithium niobate integrated photonics. Nature, 2023, 615(7952): 411 doi: 10.1038/s41586-023-05724-2[18] Wu Y L, Shao S, Zhang H F, et al. Combining lithium-niobate and silicon-nitride integrated photonics in ultrafast tunable, low-noise lasers. Laser Photonics Rev, 2025: e02207[19] Ahmed A N R, Nelan S, Shi S Y, et al. Subvolt electro-optical modulator on thin-film lithium niobate and silicon nitride hybrid platform. Opt Lett, 2020, 45(5): 1112 doi: 10.1364/OL.381892[20] Nelan S P, Mercante A, Shi S Y, et al. Integrated lithium niobate intensity modulator on a silicon handle with slow-wave electrodes. IEEE Photonics Technol Lett, 2022, 34(18): 981 doi: 10.1109/LPT.2022.3197085[21] Badri S H, Kotlyar M V, Das R, et al. Compact modulators on silicon nitride waveguide platform via micro-transfer printing of thin-film lithium niobate. Sci Rep, 2025, 15: 11681 doi: 10.1038/s41598-025-95397-w[22] Chang L, Pfeiffer M H P, Volet N, et al. Heterogeneous integration of lithium niobate and silicon nitride waveguides for wafer-scale photonic integrated circuits on silicon. Opt Lett, 2017, 42(4): 803 doi: 10.1364/OL.42.000803[23] Churaev M, Wang R N, Riedhauser A, et al. A heterogeneously integrated lithium niobate-on-silicon nitride photonic platform. 49th Eur Conf Opt Commun ECOC 2023, 2023, 2023: 1539[24] Cai J C, Kotz A, Larocque H, et al. Heterogeneously integrated lithium tantalate-on-silicon nitride modulators for high-speed communications. arXiv, 2025: 2508.06265 doi: https://arxiv.org/abs/2508.06265[25] Weigel P O, Valdez F, Zhao J, et al. Design of high-bandwidth, low-voltage and low-loss hybrid lithium niobate electro-optic modulators. J Phys Photonics, 2021, 3(1): 012001 doi: 10.1088/2515-7647/abc17e[26] Han X, Jiang H, He J, et al. Breaking dense integration limits: Inverse-designed lithium niobate multimode photonic circuits. Nat Commun, 2026, 17: 1162 doi: 10.21203/rs.3.rs-7481144/v1[27] Xie Y Z, Li J Q, Zhang Y F, et al. Soliton frequency comb generation in CMOS-compatible silicon nitride microresonators. Photon Res, 2022, 10(5): 1290 doi: 10.1364/PRJ.454816 -
Proportional views



Rui Zhao received the Master's degree from Beihang University in 2024. In June 2024, she joined the Yongjiang Laboratory. Her research interests include Lithium Niobate opto-electronic devices and heterogeneous integration.
Haizhong Weng received the Ph.D. degree from the Institute of Semiconductors, Chinese Academy of Sciences, in 2018. Then he joined the Semiconductor Photonics Group at Trinity College Dublin as a research fellow. In January 2025, he joined the Yongjiang Laboratory. His research interests include Lithium Niobate opto-electronic devices, nonlinear photonics, microresonator optical frequency combs, and heterogeneous integration.
Qing Wan received the Ph.D. degree from the Shanghai Institute of Microsystem and Information Technology, Chinese Academy of Sciences, in 2004. He has been a Professor at Nanjing University since 2013. Now he is the director of the Research Center for Heterogeneous Integration of Functional Materials and Devices, Yongjiang Laboratory. His research interests include neuromorphic transistors, oxide semiconductor devices, wafer bonding technique, large-size wafer grinding technique, opto-electronic, and MEMS devices.
DownLoad:







