| Citation: |
Yinghao Chen, Genhao Liang, Wenjun Liu, Zhengguang Fang, Yachao Zhang, Jun Zhang, Kai Wang, Lishan Zhao. GaN RF HEMT on bulk single crystal AlN substrate with no buffer layer[J]. Journal of Semiconductors, 2026, In Press. doi: 10.1088/1674-4926/25120046
****
Y H Chen, G H Liang, W J Liu, Z G Fang, Y C Zhang, J Zhang, K Wang, and L S Zhao, GaN RF HEMT on bulk single crystal AlN substrate with no buffer layer[J]. J. Semicond., 2026, accepted doi: 10.1088/1674-4926/25120046
|
GaN RF HEMT on bulk single crystal AlN substrate with no buffer layer
DOI: 10.1088/1674-4926/25120046
CSTR: 32376.14.1674-4926.25120046
More Information-
Abstract
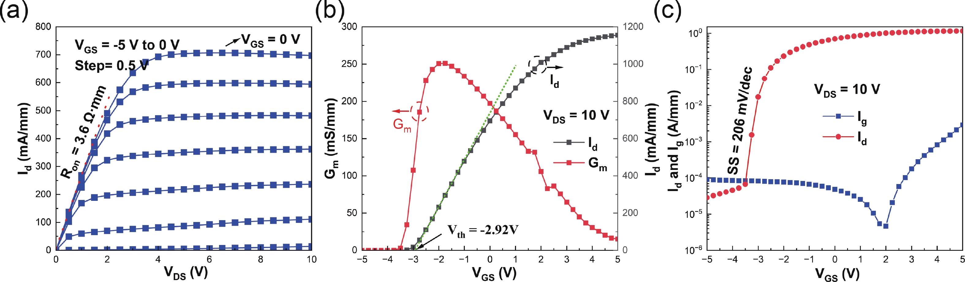
In this letter we report the morphological, electrical and thermal transport properties of a high electron mobility transistor (HEMT) style epitaxial wafer, where an approximately 2000 nm thick GaN layer has been directly deposited on a bulk single crystal AlN (BCS AlN) substrate with no buffer layer in between, and also the experimental results of DC and RF properties of a HEMT device based on such a wafer. The buffer-free HEMT style sample achieved very smooth surface morphology and ultra-low microscopic roughness down to Ra = 0.172 nm over an area of 1 μm × 1 μm in AFM measurements. Contact electrical transport measurements with Van der Pauw geometry showed sheet carrier concentration of 7.3 × 1012 cm−2, Hall mobility of 2220 cm2/(V·s) and sheet resistance of 386 Ω/sq, resulting from the charge carriers of the two dimensional electron gas at the AlGaN/GaN heterojunction. The measured maximum trans-conductance Gm of the fabricated HEMT device was 250 mS/mm at a gate bias voltage of −1.8 V. With a relatively long gate length of 500 nm and a gate-to-drain distance of 4.7 μm, the fT and fmax, derived from S-parameters measurements, are 25.9 and 54 GHz, respectively. Large-signal RF measurement exhibited a high linear power gain (Gp) of 25.2 dB and a peak output power (Pout) density of 7.2 W/mm@1.5 GHz, associated with a power-added efficiency (PAE) of 40.9%. Comparing with the structure with a 500 nm thick AlGaN buffer, the total thermal resistance of the structure in our device decreased by 44%. This work confirms the technical feasibility of fabricating GaN HEMT devices on BCS AlN substrates without any additional buffer layer, and the excellent electric and thermal transport properties of the simplified wafer structure indicate a bright future of BCS AlN-based GaN HEMT devices in ultra-high-frequency and high-power-density nitride electronics.-
Keywords:
- GaN,
- HEMT,
- wide band-gap semiconductor,
- single-crystal AlN,
- thermal resistance.
-
References
[1] Chaudhuri R. Integrated Electronics on Aluminum Nitride: Materials and Devices. Cham: Springer International Publishing, 2022[2] Ohki T, Yamada A, Minoura Y, et al. An over 20-W/mm S-band InAlGaN/GaN HEMT with SiC/diamond-bonded heat spreader. IEEE Electron Device Lett, 2019, 40(2): 287 doi: 10.1109/LED.2018.2884918[3] Kikkawa T. Highly reliable 250 W GaN high electron mobility transistor power amplifier. Jpn J Appl Phys, 2005, 44(7R): 4896 doi: 10.1143/JJAP.44.4896[4] Kikkawa T, Makiyama K, Ohki T, et al. High performance and high reliability AlGaN/GaN HEMTs. Phys Status Solidi A, 2009, 206(6): 1135 doi: 10.1002/pssa.200880983[5] Hörberg M, Kuylenstierna D. Low phase noise power-efficient MMIC GaN-HEMT oscillator at 15 GHz based on a quasi-lumped on-chip resonator. 2015 IEEE MTT-S International Microwave Symposium, 2015: 1[6] Liu H, Zhu X, Boon C C, et al. Design of ultra-low phase noise and high power integrated oscillator in GaN-on-SiC HEMT technology. IEEE Microw Wireless Compon Lett, 2014, 24(2): 120 doi: 10.1109/LMWC.2013.2290222[7] Hickman A, Chaudhuri R, Li L, et al. First RF power operation of AlN/GaN/AlN HEMTs with >3 A/mm and 3 W/mm at 10 GHz. IEEE J Electron Devices Soc, 2021, 9: 121 doi: 10.1109/JEDS.2020.3042050[8] Zhang C Y, Hu X L. Bandwidth optimization for GaN HEMT terahertz detectors using the advanced SPICE model. Microelectron J, 2025, 158: 106600 doi: 10.1016/j.mejo.2025.106600[9] Jang S L, Huang C Y, Yang T C, et al. GaN HEMT oscillators with buffers. Micromachines, 2025, 16(8): 869 doi: 10.3390/mi16080869[10] Alam M T, Mukhopadhyay S, Haque M M, et al. 3 kV monolithic bidirectional GaN HEMT on sapphire. Appl Phys Express, 2025, 18(1): 016501 doi: 10.35848/1882-0786/ad9b6a[11] Baca-Arroyo R. Effects of switching on the 2-DEG channel in commercial E-mode GaN-on-Si HEMT. Micromachines, 2025, 16(10): 1173 doi: 10.3390/mi16101173[12] Yan X, Zhang J Y, Lv G S, et al. Design and miniaturization of a 3.1–5.5-GHz fully distributed efficient power amplifier MMIC in GaN-on-SiC HEMT technology. IEEE Trans Circuits Syst I, 2025, 72(11): 6858 doi: 10.1109/tcsi.2025.3560540[13] He L, Li L A, Zheng Y, et al. The influence of Al composition in AlGaN back barrier layer on leakage current and dynamic RON characteristics of AlGaN/GaN HEMTs. Phys Status Solidi A, 2017, 214(8): 1600824 doi: 10.1002/pssa.201600824[14] Malmros A, Gamarra P, Thorsell M, et al. Impact of channel thickness on the large-signal performance in InAlGaN/AlN/GaN HEMTs with an AlGaN back barrier. IEEE Trans Electron Devices, 2019, 66(1): 364 doi: 10.1109/TED.2018.2881319[15] Kaun S W, Wong M H, Dasgupta S, et al. Effects of threading dislocation density on the gate leakage of AlGaN/GaN heterostructures for high electron mobility transistors. Appl Phys Express, 2011, 4(2): 024101 doi: 10.1143/APEX.4.024101[16] Li H, Hanus R, Polanco C A, et al. GaN thermal transport limited by the interplay of dislocations and size effects. Phys Rev B, 2020, 102: 014313 doi: 10.1103/PhysRevB.102.014313[17] Termentzidis K, Isaiev M, Salnikova A, et al. Impact of screw and edge dislocations on the thermal conductivity of individual nanowires and bulk GaN: A molecular dynamics study. Phys Chem Chem Phys, 2018, 20(7): 5159 doi: 10.1039/C7CP07821H[18] Ťapajna M, Kaun S W, Wong M H, et al. Influence of threading dislocation density on early degradation in AlGaN/GaN high electron mobility transistors. Appl Phys Lett, 2011, 99(22): 223501 doi: 10.1063/1.3663573[19] Weng Y C, Hsiao M Y, Lin C H, et al. Effect of high-pressure GaN nucleation layer on the performance of AlGaN/GaN HEMTs on Si substrate. Materials, 2023, 16(9): 3376 doi: 10.3390/ma16093376[20] Li X D, Wang J B, Zhang J C, et al. 1700 V high-performance GaN HEMTs on 6-inch sapphire with 1.5 μm thin buffer. IEEE Electron Device Lett, 2024, 45(1): 84 doi: 10.1109/LED.2023.3335393[21] Wu D Y, Hsieh C Y, Huang Y X, et al. Evaluation of p-GaN-gate all-GaN cascode HEMT on SiC substrate: DC characteristics and switching performance. IEEE J Electron Devices Soc, 2025, 13: 642 doi: 10.1109/JEDS.2025.3582342[22] Hickman A, Chaudhuri R, Bader S J, et al. High breakdown voltage in RF AlN/GaN/AlN quantum well HEMTs. IEEE Electron Device Lett, 2019, 40(8): 1293 doi: 10.1109/LED.2019.2923085[23] Kim E, Chen Y H, Encomendero J, et al. AlN/GaN/AlN HEMTs on bulk AlN substrates with high drain current density > 2.8 A/mm and average breakdown field > 2 MV/cm. 2024 Device Research Conference (DRC). College Park, MD, USA. IEEE, 2024: 1[24] Ozaki S, Yaita J, Yamada A, et al. First demonstration of X-band AlGaN/GaN high electron mobility transistors using free-standing AlN substrate over 15 W mm–1 output power density. Appl Phys Express, 2021, 14(4): 041004 doi: 10.35848/1882-0786/abec90[25] Kotani J, Yaita J, Homma K, et al. 24.4 W/mm X-band GaN HEMTs on AlN substrates with the LPCVD-grown high-breakdown-field SiNx layer. IEEE J Electron Devices Soc, 2023, 11: 101 doi: 10.1109/JEDS.2023.3234235[26] Wang J B, Li X D, Cheng Z B, et al. Suppressing the leakage of GaN HEMTs on single-crystalline AlN templates by buffer optimization. IEEE Trans Electron Devices, 2024, 71(11): 6609 doi: 10.1109/TED.2024.3466841[27] Song S Z, Chen T, Jiang P Q. Comprehensive thermal property measurement of semiconductor heterostructures using the square-pulsed source (SPS) method. J Appl Phys, 2025, 137(5): 055101 doi: 10.1063/5.0244681[28] Mitterhuber L, Hammer R, Dengg T, et al. Thermal characterization and modelling of AlGaN-GaN multilayer structures for HEMT applications. Energies, 2020, 13(9): 2363 doi: 10.3390/en13092363[29] Norman L R, Abdallah Z, Pomeroy J W, et al. Impact of AlGaN back barrier on the thermal resistance of RF HEMTs. IEEE Electron Device Lett, 2025, 46(7): 1047 doi: 10.1109/LED.2025.3572287 -
Supplements
supplementary_material.pdf
-
Proportional views
§Yinghao Chen and Genhao Liang contributed equally to this work and should be considered as co-first authors



Yinghao Chen is pursuing a Ph.D. degree with the College of Advanced Interdisciplinary Studies, National University of Defense Technology. His research focuses on wide-bandgap semiconductor and device electro-thermal co-simulation.
Genhao Liang received the Ph.D. degree from University of Science and Technology of China in 2024. He now is post-doctor of National University of Defense Technology. His research focuses on epitaxial growth and device fabrication of wide-bandgap semiconductors.
Yachao Zhang received the B.S. and Ph.D. degrees in electronic science and technology from Xidian University, in 2012 and 2017, respectively. He has been working at Xidian University since 2017, where he is professor of School of Microelectronics. His current research interest includes the simulation, modeling, fabrication, and characterization of III-V electronic materials and devices.
Lishan Zhao received his B.Sc.degree in Opto-electric Engineering from the National University of Defense Technology, Changsha, China, in 2009, and the Ph.D.degree in Condensed Matter Physics from the University of St Andrews, St Andrews, U.K., in 2016. He has been working at the National University of Defense Technology since 2016, where he is now an Associate Scientist at the College of Advanced Interdisciplinary Studies. His main research interest lies in wide and ultra-wide band-gap semiconductors, microwaves, power electronics and condensed matter physics.
DownLoad:







