| Citation: |
V. Ya. Aleshkin, A. A. Dubinov, V. V. Rumyantsev. Impact ionization in narrow band gap CdHgTe quantum well with “resonant” band structure[J]. Journal of Semiconductors, 2026, In Press. doi: 10.1088/1674-4926/26010032
****
V. Ya. Aleshkin, A. A. Dubinov, and V. V. Rumyantsev, Impact ionization in narrow band gap CdHgTe quantum well with “resonant” band structure[J]. J. Semicond., 2026, accepted doi: 10.1088/1674-4926/26010032
|
Impact ionization in narrow band gap CdHgTe quantum well with “resonant” band structure
DOI: 10.1088/1674-4926/26010032
CSTR: 32376.14.1674-4926.26010032
More Information-
Abstract
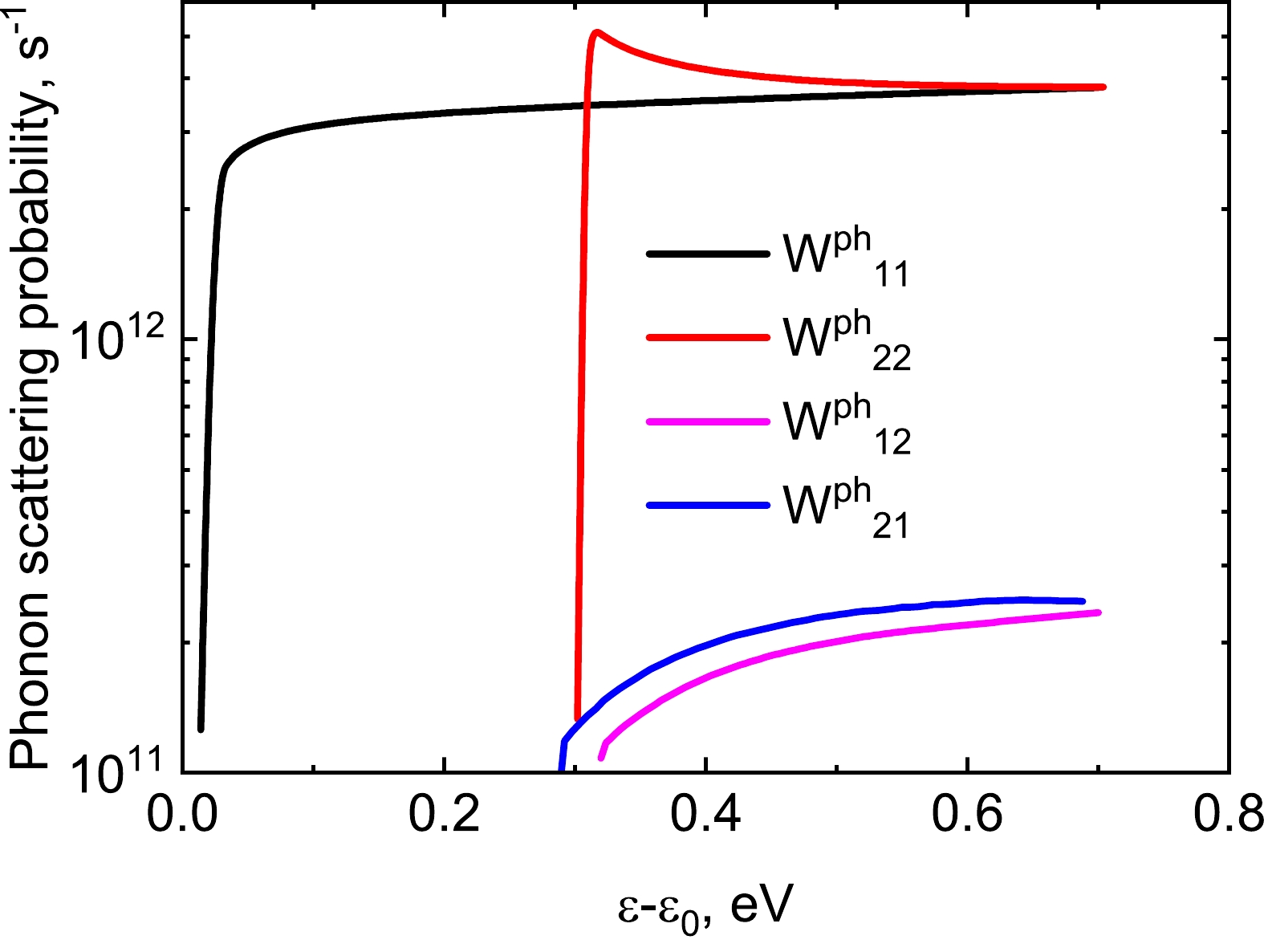
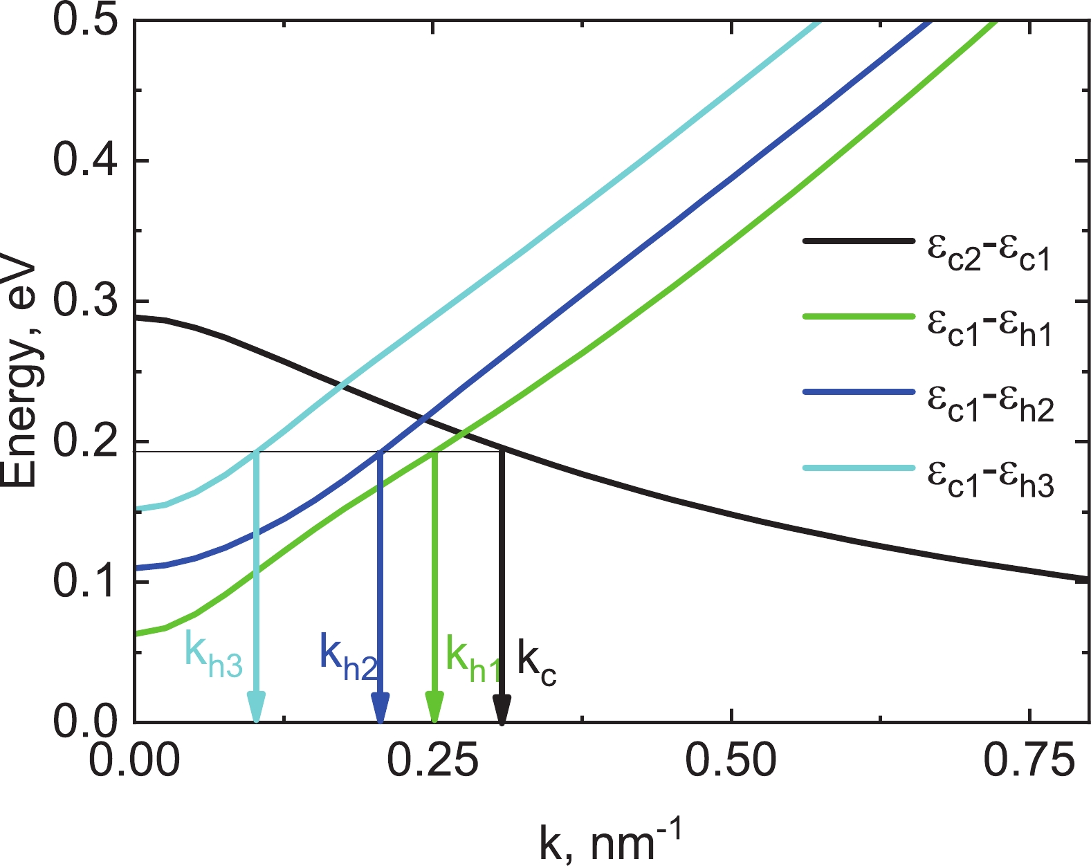
Impact ionization probabilities were calculated in a CdHgTe quantum well, where the distance between electron subbands is close to the band gap energy. This band structure enables impact ionization with small momentum transfer for electrons in the second subband. The study demonstrates that such processes increase the impact ionization probability by approximately two orders of magnitude compared to the impact ionization probability for electrons in the first subband, for which transitions with small momentum changes are impossible. The probability of single impact ionization during the electron energy loss due to optical phonon emission is estimated. Experimental methods for detecting impact ionization in this structure are discussed.-
Keywords:
- narrow band quantum well,
- impact ionization
-
References
[1] Sze S M, Ng K K. Physics of Semiconductor Devices. New York: John Wiley and Sons Inc., 2006[2] Yuan Y, Tossoun B, Huang Z, et al. Avalanche photodiodes on silicon photonics. J Semicond, 2022, 43(2): 021301 doi: 10.1088/1674-4926/43/2/021301[3] Nofriandi A, Hamdi, Ratnawulan, et al. Ultra-sensitive light detection technologies based on single-photon detectors: A review. Sens Technol, 2024, 2(1): 2404268 doi: 10.1080/28361466.2024.2404268[4] Tempel S, Winslow M, Kodati S H, et al. A comparative study of impact ionization and avalanche multiplication in InAs, HgCdTe, and InAlAs/InAsSb superlattice. Appl Phys Lett, 2024, 124(13): 131105 doi: 10.1063/5.0189416[5] Shen C, Zhang J, Yang L, et al. Study on crystal quality of materials in Zone I of APD P-I-N HgCdTe. J Infrared Millim. Waves, 2024, 43: 174 doi: 10.11972/j.issn.1001-9014.2024.02.005[6] Li Q, Xie R, Wang F, et al. SRH suppressed P-G-I design for very long-wavelength infrared HgCdTe photodiodes. Opt Express, 2022, 30(10): 16509 doi: 10.1364/OE.458419[7] Dong S, Li N, Chen S, et al. Impact ionization in quantum well infrared photodetectors with different number of periods. J Appl Phys, 2012, 111(3): 034504 doi: 10.1063/1.3681284[8] Tao X, Jin X, Gao S, et al. Engineering of impact ionization characteristics in GaAs/GaAsBi multiple quantum well avalanche photodiodes. ACS Photonics, 2024, 11(11): 4846 doi: 10.1021/acsphotonics.4c01343[9] Landsberg P T, Nussbaumer H, Willeke G. Band-band impact ionization and solar cell efficiency. J Appl Phys, 1993, 74(2): 1451 doi: 10.1063/1.354886[10] Dmitriev A P, Mikhailova M P, Yassievich I N. Impact ionization in AIIIBV semiconductors in high electric fields. Phys Status Solidi B, 1987, 140(1): 9 doi: 10.1002/pssb.2221400102[11] Hubmann S, Budkin G V, Urban M, et al. Impact ionization induced by terahertz radiation in HgTe quantum wells of critical thickness. J Infrared Millim Terahertz Waves, 2020, 41(10): 1155 doi: 10.1007/s10762-020-00690-6[12] Morozov S V, Rumyantsev V V, Zholudev M S, et al. Coherent emission in the vicinity of 10 THz due to auger-suppressed recombination of Dirac fermions in HgCdTe quantum wells. ACS Photonics, 2021, 8(12): 3526 doi: 10.1021/acsphotonics.1c01111[13] Rumyantsev V V, Dubinov A A, Utochkin V V, et al. Stimulated emission in 24–31 μm range and «Reststrahlen» waveguide in HgCdTe structures grown on GaAs. Appl Phys Lett, 2022, 121(18): 182103 doi: 10.1063/5.0128783[14] Rumyantsev V V, Mazhukina K A, Utochkin V V, et al. Optically pumped stimulated emission in HgCdTe-based quantum wells: Toward continuous wave lasing in very long-wavelength infrared range. Appl Phys Lett, 2024, 124(16): 161111 doi: 10.1063/5.0186292[15] Sotnichuk M K, Ikonnikov A V, Khokhlov D R, et al. Features of persistent photoconductivity in CdHgTe-based single quantum well heterostructures. J Semicond, 2025, 46(4): 042702 doi: 10.1088/1674-4926/24090023[16] Razova A A, Rumyantsev V V, Mazhukina K A, et al. Microdisk HgCdTe lasers operating at 22–25 μm under optical pumping. Appl Phys Lett, 2025, 126(12): 121102 doi: 10.1063/5.0253661[17] Hildebrand O, Kuebart W, Pilkuhn M H. Resonant enhancement of impact in Ga1-xA1xSb. Appl Phys Lett, 1980, 37(9): 801 doi: 10.1063/1.92086[18] Hildebrand O, Kuebart W, Benz K, et al. Ga1-xAlxSb avalanche photodiodes: Resonant impact ionization with very high ratio of ionization coefficients. IEEE J Quantum Electron, 1981, 17(2): 284 doi: 10.1109/JQE.1981.1071068[19] Mikhailova M P, Smirnova N N, Slohodchkov S V. Carrier multiplication in InAs and InGaAs p-n junctions and their ionization coefficients. Sov Phys Semicond, 1976, 10: 509[20] Zhingarev M Z, Korol’kov V I, Mikhailova M P, et al. Avalanche multiplication and coefficients of impact ionization in p-n homojunctions and heterojunctions made of GaSb and its solid solutions. Sov Phys Semicond, 1980, 14: 802[21] Zhinagarev M Z, Korol’kov V I, Mikhailova M P, et al. Dependence of the electron and hole impact-ionization coefficients on the orientation and composition in solid solutions. Sov Tech Phys Lett, 1981, 7: 637[22] Stillman G E, Robbins V M, Tabatabaie N. III-V compound semiconductor devices: Optical detectors. IEEE Trans Electron Devices, 1984, 31(11): 1643 doi: 10.1109/T-ED.1984.21765[23] Mikhailova M P, Ivanov E V, Danilov L V, et al. Radiative recombination and impact ionization in semiconductor nanostructures (a review). Semiconductors, 2020, 54(12): 1527 doi: 10.1134/S1063782620120210[24] Abakumov V N, Perel V I, Yassievich I N. Nonradiative Recombination in Semiconductors. Amsterdam: Elsevier, 1991 https://shop.elsevier.com/books/nonradiative-recombination-in-semiconductors/abakumov/978-0-444-88854-9[25] Haug A, Kerkhoff D, Lochmann W. Calculation of auger coefficients for III–V semiconductors with emphasis on GaSb. Phys Status Solidi B, 1978, 89(2): 357 doi: 10.1002/pssb.2220890204[26] Takeshima M. Auger recombination in InAs, GaSb, InP, and GaAs. J Appl Phys, 1972, 43(10): 4114 doi: 10.1063/1.1660882[27] Benz G, Conradt R. Auger recombination in GaAs and GaSb. Phys Rev B, 1977, 16(2): 843 doi: 10.1103/PhysRevB.16.843[28] Gelmont B L, Sokolova Z N, Yassievich I N. Auger recombination in direct-gap p-type semiconductors. Sov Phys Semiconductors, 1982, 16(4): 382[29] Rytova N S. Coulomb interaction of electrons in a thin film. Doklady Akademii Nauk SSSR, 1965, 163(5): 1118[30] Keldysh L V. Coulomb interaction in thin semiconductor and semimetal films. JETP Lett, 1979, 29: 658 doi: http://jetpletters.ru/ps/1458/article_22207.shtml[31] Willatzen M, Lew Yan Voon L C. The k p Method: Electronic Properties of Semiconductors. Berlin, Heidelberg: Springer, 2009 doi: https://link.springer.com/book/10.1007/978-3-540-92872-0[32] Polkovnikov A S, Zegrya G G. Auger recombination in semiconductor quantum wells. Phys Rev B, 1998, 58(7): 4039 doi: 10.1103/PhysRevB.58.4039[33] Rumyantsev V V, Razova A A, Bovkun L S, et al. Optical studies and transmission electron microscopy of HgCdTe quantum well heterostructures for very long wavelength lasers. Nanomaterials, 2021, 11(7): 1855 doi: 10.3390/nano11071855[34] Zholudev M, Teppe F, Orlita M, et al. Magnetospectroscopy of two-dimensional HgTe-based topological insulators around the critical thickness. Phys Rev B, 2012, 86(20): 205420 doi: 10.1103/PhysRevB.86.205420[35] Afanasiev A N, Greshnov A A, Zegrya G G. Competition between isotropic and strongly anisotropic terms in the impact ionization rate of narrow- and middle-gap cubic semiconductors. Semiconductors, 2024, 58: 572 doi: https://journals.ioffe.ru/articles/59957[36] Huang K, Zhu B F. Dielectric continuum model and Fröhlich interaction in superlattices. Phys Rev B, 1988, 38(18): 13377 doi: 10.1103/PhysRevB.38.13377[37] Yu P, Cardona M. Fundamentals of semiconductors. In: Physics and Material Properties. Fourth edition. Heidelberg: Springer 2010[38] Zheng R S, Matsuura M. Electron–optical-phonon interaction in quantum wells consisting of mixed crystals. Phys Rev B, 1999, 60(7): 4937 doi: 10.1103/PhysRevB.60.4937[39] Talwar D N, Vandevyver M. Vibrational properties of HgCdTe. J Appl Phys, 1984, 56(6): 1601 doi: 10.1063/1.334144 -
Supplements
Appendix.pdf
-
Proportional views



V. Ya. Aleshkin Vladimir Aleshkin got his PhD in Lobachevsky state University of Nizhny Novgorod in 1986. Since 1991 he was senior research fellow in Institute for Physics of Microstructure Russian Academy of Sciences (IPM RAS). In 2002, he defended his dissertation for the degree of Doctor of Physical and Mathematical Sciences in IPM RAS. Now he is chief researcher of IPM RAS. His scientific interests include optical and electrical properties of semiconductor nanostructures, semiconductor lasers and detectors.
A. A. Dubinov Alexander Dubinov got his MS degree in 2002 at Lobachevsky University of Nizhny Novgorod and PhD degree in 2005 at the Institute for Physics of Microstructures of RAS, Nizhny Novgorod, Russia. Now he is a senior researcher in the Institute for Physics of Microstructures of RAS. His research interests include semiconductor lasers, waveguides and new optical materials.
V. V. Rumyantsev Vladimir Rumyantsev got his MSc from Lobachevky State University in 2005 and PhD degree at the Institute for Physics of Microstructures of RAS. Now he is a lab head at the Institute for Physics of Microstructure. His research interests include semiconductor light sources in mid-infrared and terahertz ranges, photoconductivity and carrier lifetimes in narrow gap semiconductors.
DownLoad:







